Citation: Santos M. C. L., Nandenha J., Ayoub J. M. S., Assumpção M. H. M. T., Neto A. O.. Methanol oxidation in acidic and alkaline electrolytes using PtRuIn/C electrocatalysts prepared by borohydride reduction process[J]. Journal of Fuel Chemistry and Technology, ;2018, 46(12): 1462-1471. shu

Methanol oxidation in acidic and alkaline electrolytes using PtRuIn/C electrocatalysts prepared by borohydride reduction process

  • Corresponding author: Neto A. O., aolivei@ipen.br
  • Received Date: 23 August 2018
    Revised Date: 11 October 2018

Figures(8)

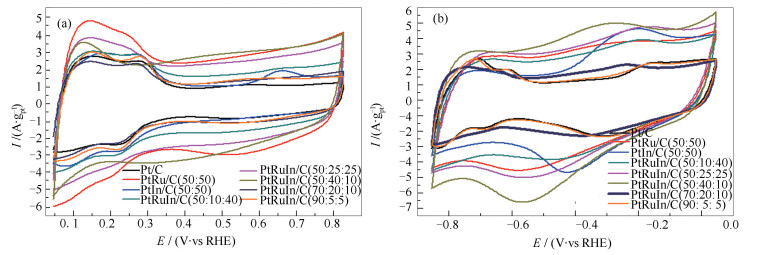
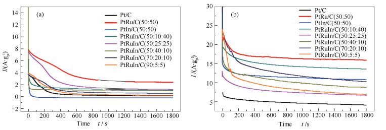
  • PtRuIn/C electrocatalysts (20% metal loading by weight) were prepared by sodium borohydride reduction process using H2PtCl6·6H2O, RuCl3·xH2O and InCl3·xH2O as metal sources, borohydride as reducing agent and Carbon Vulcan XC72 as support. The synthetized PtRuIn/C electrocatalysts were characterized by X-ray diffraction (XRD), energy dispersive analysis (EDX), transmission electron microscopy(TEM), cyclic voltammetry (CV), chronoamperommetry (CA) and polarization curves in alkaline and acidic electrolytes (single cell experiments). The XRD patterns show Pt peaks are attributed to the face-centered cubic (fcc) structure, and a shift of Pt (fcc) peaks indicates that Ru or In is incorporated into Pt lattice. TEM micrographs show metal nanoparticles with an average nanoparticle size between 2.7 and 3.5 nm. Methanol oxidation in acidic and alkaline electrolytes was investigated at room temperature, by CV and CA. PtRu/C (50:50) shows the highest activity among all electrocatalysts in study considering methanol oxidation for acidic and alkaline electrolyte. Polarization curves at 80℃ show PtRuIn/C (50:25:25) with superior performance for methanol oxidation, when compared to Pt/C, PtIn/C and PtRu/C for both electrolytes. The best performance obtained by PtRuIn/C (50:25:25) in real conditions could be associated with the increased kinetics reaction and/or with the occurrence simultaneously of the bifunctional mechanism and electronic effect resulting from the presence of Pt alloy.
  • 加载中
    1. [1]

      GERALDES A N, DA SILVA D F, DA SILVA J C M, DE SA O A, SPINACE E V, NETO A O, DOS SANTOS M C. Palladium and palladium-tin supported on multi wall carbon nanotubes or carbon for alkaline direct ethanol fuel cell[J]. J Power Sources, 2015,275(2):189-199.  

    2. [2]

      BROUZGOU A, SONG S Q, TSIAKARAS P. Low and non-platinum electrocatalysts for PEMFCs:Current status, challenges and prospects[J]. Appl Catal B:Environ, 2012,127(1):371-388.  

    3. [3]

      SHEN S Y, ZHAO T S, XU J B, LI S Y. Synthesis of PdNi catalysts for the oxidation of ethanol in alkaline direct ethanol fuel cells[J]. J Power Sources, 2010,195(4):1001-1006. doi: 10.1016/j.jpowsour.2009.08.079

    4. [4]

      SANTOS M C L, DUTRA R M, RIBEIRO V A, SPINACÉ E V, NETO A O. Preparation of PtRu/C electrocatalysts by borohydride reduction for methanol oxidation in acidic and alkaline medium[J]. Int J Electrochem Sci, 2017,12(5):3549-3560.

    5. [5]

      VEIZAGA N S, PAGANIN V A, ROCHA T A, SCELZA O A, DE MIGUEL S R, GONZALEZ E R. Development of PtGe and PtIn anodic catalysts supported on carbonaceous materials for DMFC[J]. Int J Hydrogen Energy, 2014,39(16):8728-8737. doi: 10.1016/j.ijhydene.2013.12.041

    6. [6]

      IWASITA T. Handbook of Fuel Cells (Vol. 2)[M]. Chichester UK:Wiley, 2003.

    7. [7]

      MULLER J, FRANK G, COLBOW K, WILKINSON D. Handbook of Fuel Cells (Vol. 4)[M]. Chichester UK:Wiley, 2003.

    8. [8]

      NETO A O, BRANDALISE M, DIAS R R, AYOUB J M S, SILVA A C, PENTEADO J C, LINARDI M, SPINACé E V. The performance of Pt nanoparticles supported on Sb2O5SnO2, on carbon and on physical mixtures of Sb2O5.SnO2 and carbon for ethanol electro-oxidation[J]. Int J Hydrogen Energy, 2010,35(17):9177-9181. doi: 10.1016/j.ijhydene.2010.06.028

    9. [9]

      ARICÒ A S, SRINIVASAN S, ANTONUCCI V. DMFCs:From fundamental aspects to technology development[J]. Fuel Cells, 2001,1(2):133-161. doi: 10.1002/(ISSN)1615-6854

    10. [10]

      SANTOS M L C, OTTONI C A, DE SOUZA R F B, DA SILVA S G, ASSUMPÇÃO M H M T, SPINACé E V, NETO A O. Methanol oxidation in alkaline medium using PtIn/C electrocatalysts[J]. Electrocatal, 2016,7(6):445-450. doi: 10.1007/s12678-016-0324-z

    11. [11]

      FRELINK T, VISSCHER W, VANVEEN J A R. The effect of Sn on Pt/C catalysts for the methanol electro-oxidation[J]. Electrochim Acta, 1994,39(11/12):1871-1875.  

    12. [12]

      FRELINK T, VISSCHER W, COX A P, VANVEEN J A R. Ellipsometry and dems study of the electrooxidation of methanol at Pt and Ru-and Sn-promoted Pt[J]. Electrochim Acta, 1995,40(10):1537-1543. doi: 10.1016/0013-4686(95)00034-C

    13. [13]

      GURAU B, VISWANATHAN R, LIU R X, LAFRENZ T J, LEY K L, SMOTKIN E S, REDDINGTON E, SAPIENZA A, CHAN B C, MALLOUK T S, SARANGAPANI S. Structural and electrochemical characterization of binary, ternary, and quaternary platinum alloy catalysts for methanol electro-oxidation[J]. J Phys Chem B, 1998,102(49):9997-10003. doi: 10.1021/jp982887f

    14. [14]

      XIE J, ZHANG Q, GU L, XU S, WANG P, LIU J, DING Y, YAO Y F, NAN C, ZHAO M, YOU Y, ZOU Z. Ruthenium-platinum core-shell nanocatalysts with substantially enhanced activity and durability towards methanol oxidation[J]. Nano Energy, 2016,21(3):247-257.  

    15. [15]

      HUANG L, ZHANG X, WANG Q, HAN Y, FANG Y, DONG S. Shape-control of Pt-Ru nanocrystals:Tuning surface structure for enhanced electrocatalytic methanol oxidation[J]. J Am Chem Soc, 2018,140(3):1142-1147. doi: 10.1021/jacs.7b12353

    16. [16]

      DEMIRCI U B. Theoretical means for searching bimetallic alloys as anode electrocatalysts for direct liquid-feed fuel cells[J]. J Power Sources, 2007,173(1):11-18. doi: 10.1016/j.jpowsour.2007.04.069

    17. [17]

      ZHU M, SUN G, YAN S, LI H, XIN Q. Preparation, structural characterization, and activity for ethanol oxidation of carbon-supported PtSnIn catalyst[J]. Energy Fuels, 2009,23(1):403-407. doi: 10.1021/ef800726b

    18. [18]

      SANTASALO-AARNIO A, TUOMI S, JALKANEN K, KONTTURI K, KALLIO T. The correlation of electrochemical and fuel cell results for alcohol oxidation in acidic and alkaline media[J]. Electrochim Acta, 2013,87(1):730-738.  

    19. [19]

      HOU H, WANG S, JIN Q W, JIANG L, SUN L, JIANG G. KOH modified Nafion112 membrane for high performance alkaline direct ethanol fuel cell[J]. Int J Hydrogen Energy, 2011,36(8):5104-5109. doi: 10.1016/j.ijhydene.2010.12.093

    20. [20]

      FONTES E H, DA SILVA S G, SPINACE E V, NETO A O, DE SOUZA R F B. In situ ATR-FTIR studies of ethanol electro-oxidation in alkaline medium on PtRh/C electrocatalyst prepared by an alcohol reduction process[J]. Electrocatal, 2016,7(4):297-304. doi: 10.1007/s12678-016-0308-z

    21. [21]

      ROYCHOWDHURY C, MATSUMOTO F, ZELDOVICH V B, WARREN S C, MUTOLO P F, BALLESTEROS M J, WIESNER J, ABRUÑA H D, DISALVO F J. Synthesis, characterization, and electrocatalytic activity of PtBi and PtPb nanoparticles prepared by borohydride reduction in methanol[J]. Chem Mater, 2006,18(14):3365-3372. doi: 10.1021/cm060480e

    22. [22]

      DA SILVA S G, SILVA J C M, BUZZO G S, DE SOUZA R F B, SPINACé E V, NETO A O, ASSUMPÇÃO M H M T. Electrochemical and fuel cell evaluation of PtAu/C electrocatalysts for ethanol electro-oxidation in alkaline media[J]. Int J Hydrogen Energy, 2014,39(19):10121-10127. doi: 10.1016/j.ijhydene.2014.04.169

  • 加载中
    1. [1]

      Yiming Jin Mingming Pan Wei Luo . Ir/Ni-N-C electrocatalyst with promoted CO-tolerance towards alkaline hydrogen oxidation reaction. Chinese Journal of Structural Chemistry, 2026, 45(1): 100760-100760. doi: 10.1016/j.cjsc.2025.100760

    2. [2]

      Qin ChengMing HuangQingqing YeBangwei DengFan Dong . Indium-based electrocatalysts for CO2 reduction to C1 products. Chinese Chemical Letters, 2024, 35(6): 109112-. doi: 10.1016/j.cclet.2023.109112

    3. [3]

      Jiajun WangGuolin YiShengling GuoJianing WangShujuan LiKe XuWeiyi WangShulai Lei . Computational design of bimetallic TM2@g-C9N4 electrocatalysts for enhanced CO reduction toward C2 products. Chinese Chemical Letters, 2024, 35(7): 109050-. doi: 10.1016/j.cclet.2023.109050

    4. [4]

      Wenjing Dai Lan Luo Zhen Yin . Interface reconstruction of hybrid oxide electrocatalysts for seawater oxidation. Chinese Journal of Structural Chemistry, 2025, 44(3): 100442-100442. doi: 10.1016/j.cjsc.2024.100442

    5. [5]

      Xinyi Hu Riguang Zhang Zhao Jiang . Depositing the PtNi nanoparticles on niobium oxide to enhance the activity and CO-tolerance for alkaline methanol electrooxidation. Chinese Journal of Structural Chemistry, 2023, 42(11): 100157-100157. doi: 10.1016/j.cjsc.2023.100157

    6. [6]

      Xinyu You Xin Zhang Shican Jiang Yiru Ye Lin Gu Hexun Zhou Pandong Ma Jamal Ftouni Abhishek Dutta Chowdhury . Efficacy of Ca/ZSM-5 zeolites derived from precipitated calcium carbonate in the methanol-to-olefin process. Chinese Journal of Structural Chemistry, 2024, 43(4): 100265-100265. doi: 10.1016/j.cjsc.2024.100265

    7. [7]

      Liang Ma Zhou Li Zhiqiang Jiang Xiaofeng Wu Shixin Chang Sónia A. C. Carabineiro Kangle Lv . Effect of precursors on the structure and photocatalytic performance of g-C3N4 for NO oxidation and CO2 reduction. Chinese Journal of Structural Chemistry, 2024, 43(11): 100416-100416. doi: 10.1016/j.cjsc.2024.100416

    8. [8]

      Guoliang GaoGuangzhen ZhaoGuang ZhuBowen SunZixu SunShunli LiYa-Qian Lan . Recent advancements in noble-metal electrocatalysts for alkaline hydrogen evolution reaction. Chinese Chemical Letters, 2025, 36(1): 109557-. doi: 10.1016/j.cclet.2024.109557

    9. [9]

      Fenglin WangChengwei KuangZhicheng ZhengDan WuHao WanGen ChenNing ZhangXiaohe LiuRenzhi Ma . Noble metal clusters substitution in porous Ni substrate renders high mass-specific activities toward oxygen evolution reaction and methanol oxidation reaction. Chinese Chemical Letters, 2025, 36(6): 109989-. doi: 10.1016/j.cclet.2024.109989

    10. [10]

      Zonglin LiShihua ZouZining WangGeorgeta PostoleLiang HuHongying Zhao . Machine learning in electrochemical oxidation process: A mini-review. Chinese Chemical Letters, 2025, 36(8): 110526-. doi: 10.1016/j.cclet.2024.110526

    11. [11]

      Zhou Li Mengxue Yu Shixin Chang Zhibin Huang Zhenmin Cheng Weibin Zhang Sónia A. C. Carabineiro Zhigao Xu Kangle Lv . Enhancing the photocatalytic activity of crystalline g-C3N4 towards NO oxidation and CO2 reduction through K+-doping and cyano defect engineering. Chinese Journal of Structural Chemistry, 2026, 45(1): 100698-100698. doi: 10.1016/j.cjsc.2025.100698

    12. [12]

      Qiyan WuRuixin ZhouZhangyi YaoTanyuan WangQing Li . Effective approaches for enhancing the stability of ruthenium-based electrocatalysts towards acidic oxygen evolution reaction. Chinese Chemical Letters, 2024, 35(10): 109416-. doi: 10.1016/j.cclet.2023.109416

    13. [13]

      Yuanzhe Lu Yuanqin Zhu Linfeng Zhong Dingshan Yu . Long-lifespan aqueous alkaline and acidic batteries enabled by redox conjugated covalent organic polymer anodes. Chinese Journal of Structural Chemistry, 2024, 43(3): 100249-100249. doi: 10.1016/j.cjsc.2024.100249

    14. [14]

      Qing LiYumei FengYingjie YuYazhou ChenYuhua XieFang LuoZehui Yang . Engineering eg filling of RuO2 enables a robust and stable acidic water oxidation. Chinese Chemical Letters, 2025, 36(3): 110612-. doi: 10.1016/j.cclet.2024.110612

    15. [15]

      Wenxiang ZhuKui YinMengjie MaQintao SunFan LiaoHui HuangJinxin ChenKun FengHao YangJun ZhongTao ChengMingwang ShaoYang LiuZhenhui Kang . Carbon-dots-facilitated oxygen migration in heterophase iridium oxide for enhanced acidic water oxidation. Chinese Chemical Letters, 2026, 37(4): 110749-. doi: 10.1016/j.cclet.2024.110749

    16. [16]

      Sajid MahmoodHaiyan WangFang ChenYijun ZhongYong Hu . Recent progress and prospects of electrolytes for electrocatalytic nitrogen reduction toward ammonia. Chinese Chemical Letters, 2024, 35(4): 108550-. doi: 10.1016/j.cclet.2023.108550

    17. [17]

      Ping Wang Tianbao Zhang Zhenxing Li . Reconstruction mechanism of Cu surface in CO2 reduction process. Chinese Journal of Structural Chemistry, 2024, 43(8): 100328-100328. doi: 10.1016/j.cjsc.2024.100328

    18. [18]

      Guo YangKai LiHanshi QuJianbing ZhuChunyu RuMeiling XiaoWei XingChangpeng Liu . Tailoring OH* adsorption strength on Ni/NbOx for boosting alkaline hydrogen oxidation reaction via oxygen vacancy. Chinese Chemical Letters, 2025, 36(7): 110150-. doi: 10.1016/j.cclet.2024.110150

    19. [19]

      Jian PengYue JiangShuangyu WuYanran ChengJingyu LiangYixin WangZhuo LiSijie Lin . A nonradical oxidation process initiated by Ti-peroxo complex showed high specificity toward the degradation of tetracycline antibiotics. Chinese Chemical Letters, 2024, 35(5): 108903-. doi: 10.1016/j.cclet.2023.108903

    20. [20]

      Ping WangTing WangMing XuZe GaoHongyu LiBowen LiYuqi WangChaoqun QuMing Feng . Keplerate polyoxomolybdate nanoball mediated controllable preparation of metal-doped molybdenum disulfide for electrocatalytic hydrogen evolution in acidic and alkaline media. Chinese Chemical Letters, 2024, 35(7): 108930-. doi: 10.1016/j.cclet.2023.108930

Metrics
  • PDF Downloads(9)
  • Abstract views(1118)
  • HTML views(112)

通讯作者: 陈斌, bchen63@163.com
  • 1. 

    沈阳化工大学材料科学与工程学院 沈阳 110142

  1. 本站搜索
  2. 百度学术搜索
  3. 万方数据库搜索
  4. CNKI搜索
Address:Zhongguancun North First Street 2,100190 Beijing, PR China Tel: +86-010-82449177-888
Powered By info@rhhz.net

/

DownLoad:  Full-Size Img  PowerPoint
Return