Citation: LIU Dong-mei, WANG Hai-yan, KONG Fei-fei, MAO Yan-hong, WANG Kun. Physical and chemical properties of micro-mesoporous catalysts with tetrapropylammonium hydroxide treatment and their performance in thiophene alkylation[J]. Journal of Fuel Chemistry and Technology, ;2016, 44(11): 1370-1379. shu

Physical and chemical properties of micro-mesoporous catalysts with tetrapropylammonium hydroxide treatment and their performance in thiophene alkylation

  • Corresponding author: LIU Dong-mei, ldmwain1234@126.com
  • Received Date: 21 March 2016
    Revised Date: 11 July 2016

    Fund Project: the National Natural Science Foundation of Liaoning 201202126

Figures(5)

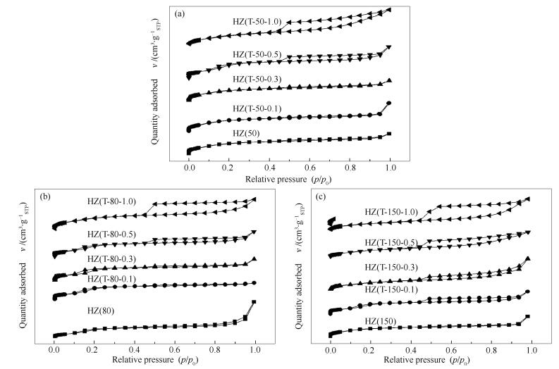
  • HZSM-5 zeolites with different molar ratios of SiO2/Al2O3 were treated by different concentrations of tetrapropylammonium hydroxide (TPAOH) solution. HZSM-5 zeolites with micro-meso pores were synthesized. The results show that the treatment of HZSM-5 zeolite with different molar ratios of SiO2/Al2O3 by different concentrations of TPAOH could cause desilication. The pore diameter of mesopores increases with the increase of TPAOH concentration and SiO2/Al2O3 molar ratios. Meanwhile, the acidic properties were adjusted. HZSM-5 zeolites were treated by different concentrations of TPAOH solution, whose SiO2/Al2O3 molar ratios are 50, 80 and 150. HZSM-5 with SiO2/Al2O3 molar ratio of 50 is obviously better than others in the content of relative acid, L-acid, B-acid and the strength of weak acid. HZSM-5 (SiO2/Al2O3 molar ratios is 50) by the treatment of TPAOH in different contents is most preferable for thiophene alkylation.
  • 加载中
    1. [1]

      BABICH I V, MOULIJIN J A. Science and technology of novel processes for deep desulfurization of oil refinery streams:A review[J]. Fuel, 2003,82(6):607-631. doi: 10.1016/S0016-2361(02)00324-1

    2. [2]

      SHANG Qi, TANG Da-gang. Control harmful substances of vehicle gasoline to reduce motor vehicle emissions[J]. Res Environ Sci, 2000,13(1):32-35.  

    3. [3]

      ZHOU L. Production of low sulfur gasoline:US, 6623627[P]. 2003-11-23.

    4. [4]

      YIN C, XIA D. A study of the distribution of sulfur compounds in gasoline produced in China. Part 3. Identification of individual sulfides and thiophenes[J]. Fuel, 2004,83(4):433-441.  

    5. [5]

      CORMA A, MARTINEZ C. On the mechanism of sulfur removal during catalytic cracking[J]. Appl Catal A:Gen, 2001,208(1):135-152.  

    6. [6]

      LIU Ji-hua, ZHAO Le-ping, FANG Xiang-chen, SONG Yong-yi. The development of selective hydrogenation desulfurization technology in FCC gasoline and its industrial application[J]. Pet Refin Eng, 2007,37(7):1-3.  

    7. [7]

      CHANG Zhen-yong. Alkylation removal technology of thiophene sulfur in gasoline[J]. Pet Refin Eng, 2002,32(5):44-46.  

    8. [8]

      XU Ya-rong, SHEN Ben-xian, XU Xin-liang, ZHU Qing-cai. The quantum chemistry of reaction mechanism on the thiophene sulfide alkylation in FCC gasoline[J]. J Petrochem (Petrochem Pro), 2011,27(5):806-811.  

    9. [9]

      XU Ya-rong, SHEN Ben-xian, XU Xin-liang, ZHAO Ji-gang, LIU Gang. Study on the catalytic performance of sulfur alkylation in FCC gasoline over solid mixed acid[J]. J East Sci Technol Univ (Nat Sci Ed), 2010,36(5):633-638.  

    10. [10]

      SHI Rong-hui, PAN Rong, WU Li-hong, ZHANG Ran-ran. Advances in the research on the thiophene alkylation over solid acid catalysts[J]. Mod Chem Ind, 2014,34(9):32-35.  

    11. [11]

      HE Ying-ping, LIU Min, DAI Cheng-yi, XU Shu-tao, WEI Ying-xu, LIU Zhong-min, GUO Xin-wen. The modification of nano HZSM-5 molecular sieve by TPAOH and its catalytic performance on methanol to gasoline[J]. Chin J Catal, 2013,34(6):1148-1154. doi: 10.1016/S1872-2067(12)60579-8

    12. [12]

      ZHAO Li-xia, LI Gang, JIN Chang-zi, WANG Yun, WANG Xiang-sheng. The catalytic oxidation over TS-1 modified by TPAOH to remove 2-methyl thiophene[J]. Acta Pet Sin (Pet Process Sect), 2007,23(4):95-99.  

    13. [13]

      ZUO Yi, LIU Min, JIANG Hai-ying, GUO Xin-wen. The catalysis oxidation of 1-butylene over TS-1 by the treatment of TPAOH[J]. Acta Pet Sin (Pet Process Sect), 2015,31(3):611-616.  

    14. [14]

      AHMADPOUR J, TAGHIZADEH M. Selective production of propylene from methanol over high-silica mesoporous ZSM-5 zeolites treated with NaOH and NaOH/tetrapropylammonium hydroxide[J]. Comptes Rendus Chimie, 2015,18(8):834-847. doi: 10.1016/j.crci.2015.05.002

    15. [15]

      JAVIER P-R, VERBOCKEND D, BONILLA A, ABELLO S. Zeolite catalysts with tunable hierarchy factor by pore-growth moderators[J]. Adv Funct Mater, 2009,19(24):3972-3979. doi: 10.1002/(ISSN)1616-3028

    16. [16]

      HE Ying-ping. Study on performance methanol to gasoline over modified HZSM-5 molecular sieve catalyst[D]. Dalian:Dalian Technology of University, 2013.

    17. [17]

      LIU Dong-mei, ZHAI Yu-chun, MA Jian, WANG Hai-yan. Study on the prepartion of HZSM-5 with different alkali treatments and the performance of thiophene alkylation[J]. J Fuel Chem Technol, 2015,43(4):462-469.  

    18. [18]

      XU Di-ou. Preparation and properties of multi stage porous nano molecular catalyst[D]. Changchun:Jilin University, 2011.

    19. [19]

      GROEN J C, PEFFER L A A, JACOB A, JAVIER P R. On the introduction of intracrystalline mesoporosity in zeolites upon desilieation in alkaline medium[J]. Micropous Mescopous Mater, 2004,69(1/2):29-34.

    20. [20]

      ZHANG Yan-yu. Study on catalytic performance of methanol synthesis fuel oil over multi stage porous HZSM-5 catalyst[D]. Taiyuan:Taiyuan Technology of University, 2011.

    21. [21]

      GROEN J C, JANSEN J C, MOULIJN J A, PEREZ-RAMIZER J. Optimal aluminum-assisted mesoporosity development in MFI zeolites by desilination[J]. Cheminform, 2004,35(45):13062-13065.

    22. [22]

      TAO Y, KANOH H, KANEKO K. Developments and structures of mesopores in alkaline-treated ZSM-5 zeolites[J]. Adsorption, 2006,12(5/6):309-316.

    23. [23]

      MAO Jing-bo, LIU Min, LI Peng, LIU Yang, GUO Xin-wen. The characterization and catalytic performance of micro TS-1 modified by TPAOH[J]. J Fuel Chem Technol, 2008,36(4):484-488.  

    24. [24]

      HUANG Xian-liang. Study on the modification of TS-1 by two crystallization method and the catalytic cyclohexanone ammoxidation reaction[D]. Xiangtan:Xiangtan University, 2008.

    25. [25]

      LI Sha, LI Yu-ping, DI Chun-yu, ZHANG Peng-fei, PAN Rui-yu, DOU Tao. Study on the modification of ZSM-5 by the treatment of TPAOH/NaOH mixed alkali system and its catalytic performance[J]. J Fuel Chem Technol, 2012,40(5):583-588.  

    26. [26]

      OGURA M, SHINOMIVA S Y, TATENO J, NARA Y, NOMURA M. Alkali-treatment technique-new method for modification of structure and acid-catalytic properties of ZSM-5 zeolites[J]. Appl Catal A:Gen, 2001,219(1/2):33-43.

    27. [27]

      MILBURN D R, DAVIS B H. Comparision of surface areas caculated from nitrogen adsorption and mercury porosimetry[C]//A Collection of Papers On Engineering Aspects of Fabrication of Ceramics Ceramic Engineering & Science Proceedings, 2008, 32(40):130-134.

    28. [28]

      ZENG Zhao-kui. Shape Selective Catalyst[M]. Beijing:Sinopec press, 1994, 1-87.

    29. [29]

      XIAO He, GAO Jun-hua, HU Jin-xian, ZHANG Bin, LIU Ping, ZHANG Kan. Study on the reaction of methanol to durene over HZSM-5 molecular sieve with acid and alkali modification[J]. J Fuel Chem Technol, 2013,41(1):102-109.  

    30. [30]

      FATHI S, SOHRABIM , FALAMAKI C. Improvement of HZSM-5 performance by alkaline treatments:Comparative catalytic study in the MTG reaction[J]. Fuel, 2014,116(1):529-537.

    31. [31]

      NIE Ning, SHEN Jian. Study on the performance of thiophene alkylation over USY molecular sieve[J]. Petrochem Technol Appl, 2013,31(2):110-114.  

    32. [32]

      TANG Jin-lian, XU You-hao, XU Li, WANG Xie-qing. The reaction mechanism of heptylene and H2S and the generation mechanism of thiophene compounds over the acidic catalyst[J]. Acta Pet Sin (Pet Process Sect), 2008,24(3):243-250.

    33. [33]

      XU Xin, LUO Guo-hua, QI Hai-bo, TONG Jin-min. AlCl3-sulfonic acid resin catalyes alkylation sulfur transform reaction between isobutene and thiophene[J]. Chin J Process Eng, 2006,6(2):181-184.

    34. [34]

      ZHANG Ze-kai, LIU Sheng-lin, WANG Qing-xia, XU Long-ya. The thiophene alkylation desulfurization on the H β catalyst[J]. Petro Chem Ind, 2005,35(Suppl):681-683.

    35. [35]

      LIU Sheng-lin, GUO Xiao-ye, ZHANG Ze-kai, XIE Su-juan, DAI Hong-yi, XU Long-ya. Effect of mesoporous MCM-22 molecular sieve on gasoline alkylation desulfurization[J]. Acta Pet Sin (Pet Process Sect), 2008(Z):88-91.

    36. [36]

      ZHAO Yu-zhi, LI Yong-hong, LI Lan-fang, ZHANG Li-ping. Study on alkylation desulfurization of FCC gasoline over USY molecular sieve catalyst[J]. J Mol Catal, 2008,22(1):17-21.

    37. [37]

      BI Jian-guo. Progress in the production technology of alkylation oil[J]. Prog Chem, 2007,26(7):934-939.

    38. [38]

      WANG Rong, LI Yong-hong, ZHANG Li-ping, YANG Chang-sheng, XIA Shu-qian. The activity and stability of alkylation desulfurization in FCC gasoline by solid phosphoric acid[J]. Chem React Eng Technol, 2008,24(1):40-44.

  • 加载中
    1. [1]

      Zhilian Liu Wengui Wang Hongxiao Yang Yu Cui Shoufeng Wang . Ideological and Political Education Design for the Synthesis of Irinotecan Drug Intermediate 7-Ethyl Camptothecin. University Chemistry, 2024, 39(2): 89-93. doi: 10.3866/PKU.DXHX202306012

    2. [2]

      Shiyan Cheng Yonghong Ruan Lei Gong Yumei Lin . Research Advances in Friedel-Crafts Alkylation Reaction. University Chemistry, 2024, 39(10): 408-415. doi: 10.12461/PKU.DXHX202403024

    3. [3]

      Xuefei Zhao Xuhong Hu Zhenhua Jia . 理论与计算化学在傅-克烷基化反应教学中的应用. University Chemistry, 2025, 40(8): 360-367. doi: 10.12461/PKU.DXHX202410008

    4. [4]

      Xinyu You Xin Zhang Shican Jiang Yiru Ye Lin Gu Hexun Zhou Pandong Ma Jamal Ftouni Abhishek Dutta Chowdhury . Efficacy of Ca/ZSM-5 zeolites derived from precipitated calcium carbonate in the methanol-to-olefin process. Chinese Journal of Structural Chemistry, 2024, 43(4): 100265-100265. doi: 10.1016/j.cjsc.2024.100265

    5. [5]

      Xingyang LITianju LIUYang GAODandan ZHANGYong ZHOUMeng PAN . A superior methanol-to-propylene catalyst: Construction via synergistic regulation of pore structure and acidic property of high-silica ZSM-5 zeolite. Chinese Journal of Inorganic Chemistry, 2024, 40(7): 1279-1289. doi: 10.11862/CJIC.20240026

    6. [6]

      Shanyuan BiJin ZhangDengchao PengDanhong ChengJianping ZhangLupeng HanDengsong Zhang . Improved N2 selectivity for low-temperature NOx reduction over etched ZSM-5 supported MnCe oxide catalysts. Chinese Chemical Letters, 2025, 36(5): 110295-. doi: 10.1016/j.cclet.2024.110295

    7. [7]

      Bing LIUHuang ZHANGHongliang HANChangwen HUYinglei ZHANG . Visible light degradation of methylene blue from water by triangle Au@TiO2 mesoporous catalyst. Chinese Journal of Inorganic Chemistry, 2024, 40(5): 941-952. doi: 10.11862/CJIC.20230398

    8. [8]

      Yuanpei ZHANGJiahong WANGJinming HUANGZhi HU . Preparation of magnetic mesoporous carbon loaded nano zero-valent iron for removal of Cr(Ⅲ) organic complexes from high-salt wastewater. Chinese Journal of Inorganic Chemistry, 2024, 40(9): 1731-1742. doi: 10.11862/CJIC.20240077

    9. [9]

      Zehao ZhangZheng WangHaibo Li . Preparation of 2D V2O3@Pourous Carbon Nanosheets Derived from V2CFx MXene for Capacitive Desalination. Acta Physico-Chimica Sinica, 2024, 40(8): 2308020-0. doi: 10.3866/PKU.WHXB202308020

    10. [10]

      Ruifeng CHENChao XUJianting JIANGTianshe YANG . Gold nanorod/zinc oxide/mesoporous silica nanoplatform: A triple-modal platform for synergistic anticancer therapy. Chinese Journal of Inorganic Chemistry, 2025, 41(11): 2272-2282. doi: 10.11862/CJIC.20250117

    11. [11]

      Zimo Shen Tongwei Zhang Zhiyi Zhu Zonghao Gong Qing Feng Jinyi Yang Zhen Li Min Liu Wei Qi . From Alkaloid to Anticancer Agent: The Transformative Journey of Camptothecin. University Chemistry, 2025, 40(10): 161-165. doi: 10.12461/PKU.DXHX202411027

    12. [12]

      Jing Wang Pingping Li Yuehui Wang Yifan Xiu Bingqian Zhang Shuwen Wang Hongtao Gao . Treatment and Discharge Evaluation of Phosphorus-Containing Wastewater. University Chemistry, 2024, 39(5): 52-62. doi: 10.3866/PKU.DXHX202309097

    13. [13]

      Changjun YouChunchun WangMingjie CaiYanping LiuBaikang ZhuShijie Li . Improved Photo-Carrier Transfer by an Internal Electric Field in BiOBr/N-rich C3N5 3D/2D S-Scheme Heterojunction for Efficiently Photocatalytic Micropollutant Removal. Acta Physico-Chimica Sinica, 2024, 40(11): 2407014-0. doi: 10.3866/PKU.WHXB202407014

    14. [14]

      Zhaohu Li Weidong Wang Yuhao Liu Mingzhe Han Lingling Wei Huan Jiao . Research on the Safety Management and Disposal of Chemical Laboratory Waste. University Chemistry, 2024, 39(10): 128-136. doi: 10.3866/PKU.DXHX202312090

    15. [15]

      Zehua Zhao Xiaoyan An Jinrong Xu Ling Yang Hao Zhao Zhongyun Wu . Independent Development and Application of Calorimetric Experiment Data Acquisition and Processing Software. University Chemistry, 2025, 40(11): 402-408. doi: 10.12461/PKU.DXHX202505045

    16. [16]

      Xiaoyang Li Xiaowei Huang Yimeng Zhang Huan Liu Shao Jin Junpeng Zhuang . Comprehensive Chemical Experiments on the Synthesis of 1,3-Dibromo-5,5-Dimethylhydantoin and Its Application as a Brominating Reagent. University Chemistry, 2025, 40(7): 286-293. doi: 10.12461/PKU.DXHX202408035

    17. [17]

      Lisen Sun Yongmei Hao Zhen Huang Yongmei Liu . Experimental Teaching Design for Viscosity Measurement Serves the Optimization of Operating Conditions for Kitchen Waste Treatment Equipment. University Chemistry, 2024, 39(2): 52-56. doi: 10.3866/PKU.DXHX202307063

    18. [18]

      Kun Xu Xinxin Song Zhilei Yin Jian Yang Qisheng Song . Comprehensive Experimental Design of Preferential Orientation of Zinc Metal by Heat Treatment for Enhanced Electrochemical Performance. University Chemistry, 2024, 39(4): 192-197. doi: 10.3866/PKU.DXHX202309050

    19. [19]

      Yuting BaiCenqi YanZhen LiJiaqiang QinPei Cheng . Preparation of High-Strength Polyimide Porous Films with Thermally Closed Pore Property by In Situ Pore Formation Method. Acta Physico-Chimica Sinica, 2024, 40(9): 2306010-0. doi: 10.3866/PKU.WHXB202306010

    20. [20]

      Xuanzhu Huo Yixi Liu Qiyu Wu Zhiqiang Dong Chanzi Ruan Yanping Ren . Integrated Experiment of “Electrolytic Preparation of Cu2O and Gasometric Determination of Avogadro’s Constant: Implementation, Results, and Discussion: A Micro-Experiment Recommended for Freshmen in Higher Education at Various Levels Across the Nation. University Chemistry, 2024, 39(3): 302-307. doi: 10.3866/PKU.DXHX202308095

Metrics
  • PDF Downloads(0)
  • Abstract views(824)
  • HTML views(89)

通讯作者: 陈斌, bchen63@163.com
  • 1. 

    沈阳化工大学材料科学与工程学院 沈阳 110142

  1. 本站搜索
  2. 百度学术搜索
  3. 万方数据库搜索
  4. CNKI搜索
Address:Zhongguancun North First Street 2,100190 Beijing, PR China Tel: +86-010-82449177-888
Powered By info@rhhz.net

/

DownLoad:  Full-Size Img  PowerPoint
Return