Citation:
Feng Xiaojuan, Wei Xinxin, Shi Yanglong, Ma Jinyu, Liang Zhiqi, Zhang Yinglong. Preparation of Three-Dimensional NiO/CoMoO4 Nanowires/Nanosheets Composite Materials and Their Supercapacitor Properties[J]. Chemistry,
;2019, 82(1): 51-55, 50.
-
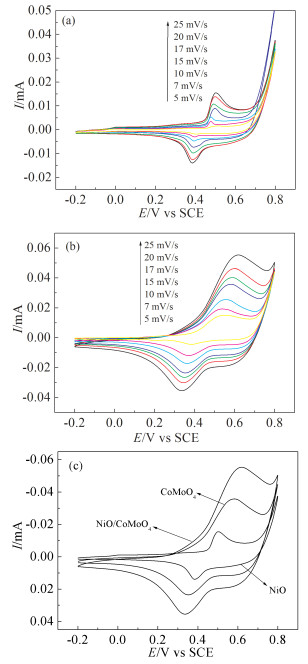
Three-dimensional NiO/CoMoO4 composite electrode materials were successfully prepared by two-step hydrothermal and high temperature annealing. The structure, surface morphology and electrochemical performance were characterized using X-ray diffraction, scanning electron microscopy, transmission electron microscopy and electrochemical method. The results showed that NiO/CoMoO4 composite materials owned typical nanowires/nanosheet structure, which were different from needle-like morphology of NiO. The structure provided more active sites for the active substance, compared with pure NiO. The specific capacitance of the composites could reach 2253 F/g at the current density of 0.3 A/g, which was higher than that of pure NiO. It displayed good cycling stability with 92% capacitance retention after 2000 cycles due to the synergistic effect between NiO and CoMoO4.
-
-
-
[1]
Q Wang, J Yan, Z Fan. Energ Environ Sci., 2016, 9(3):729~762.
-
[2]
Y Yang, Y Liang, Y Zhang et al. New J. Chem., 2015, 39(5):4035~4040.
-
[3]
D P Cai, H Huang, D D Wang et al. ACS Appl. Mater. Interf., 2014, 6:15905~15912.
-
[4]
Y T Chu, S L Xiong, B S Li et al. Chem. Electro. Chem., 2016, 3:1~8.
-
[5]
W Wei, X Cui, W Chen et al. Chem. Soc. Rev., 2011, 40:1697~1721.
-
[6]
L Dong, Y Chu, W Sun. Chem. Eur. J., 2008, 14(16):5064~5072.
-
[7]
J L Lv, W L Guo, T X Liang. J. Electroanal. Chem., 2016, 783:250~257.
-
[8]
D P Cai, D D Wang, B Liu et al. ACS Appl. Mater. Interf., 2014, 6:5050~5055.
-
[9]
X H Wang, H Y Xia, J Gao et al. J. Mater. Chem., 2016, 4:18181~18187.
-
[10]
S Baskarab, D Meyricka, K Selvan et al. Chem Eng J., 2014, 253, 502~507.
-
[11]
H Chen, J Jiang, Y Zhao, L Zhang. J. Mater. Chem. A, 2015, 3:428~437.
-
[12]
X D Zhang, J L Xiao, X Y Zhang et al. Electrochim. Acta, 2016, 91:758~766.
- [13]
-
[14]
Y Zhang, Z Hu, Y Yang et al. J. Mater. Chem. A, 2015, 3(29):15057~15067.
-
[15]
D Ghosh, C K Das. ACS Appl. Mater. Interf., 2015, 7:1122~1131.
-
[16]
C Guan, J Liu, C Cheng et al. Energy Environ. Sci., 2011, 4:4496~4499.
-
[17]
D Cai, B Liu, D Wang et al. Electrochim. Acta, 2014, 115:358~363.
-
[1]
-
-
-
[1]
Haoyu Sun , Dun Li , Yuanyuan Min , Yingying Wang , Yanyun Ma , Yiqun Zheng , Hongwen Huang . Hierarchical Palladium-Copper-Silver Porous Nanoflowers as Efficient Electrocatalysts for CO2 Reduction to C2+ Products. Acta Physico-Chimica Sinica, 2024, 40(6): 2307007-0. doi: 10.3866/PKU.WHXB202307007
-
[2]
Shuting Zhuang , Lida Zhao . Teaching through Research: A Comprehensive Experiment on Carbon Quantum Dots from Microplastic Waste. University Chemistry, 2025, 40(10): 217-224. doi: 10.12461/PKU.DXHX202412010
-
[3]
Haoying ZHAI , Lanzong WEN , Wenjie LIAO , Qin LI , Wenjun ZHOU , Kun CAO . Metal-organic framework-derived sulfur-doped iron-cobalt tannate nanorods for efficient oxygen evolution reaction performance. Chinese Journal of Inorganic Chemistry, 2025, 41(5): 1037-1048. doi: 10.11862/CJIC.20240320
-
[4]
Yijing GU , Huan PANG , Rongmei ZHU . Applications of nickel-based metal-organic framework compounds in supercapacitors. Chinese Journal of Inorganic Chemistry, 2025, 41(10): 2029-2038. doi: 10.11862/CJIC.20250186
-
[5]
Qingqing SHEN , Xiangbowen DU , Kaicheng QIAN , Zhikang JIN , Zheng FANG , Tong WEI , Renhong LI . Self-supporting Cu/α-FeOOH/foam nickel composite catalyst for efficient hydrogen production by coupling methanol oxidation and water electrolysis. Chinese Journal of Inorganic Chemistry, 2024, 40(10): 1953-1964. doi: 10.11862/CJIC.20240028
-
[6]
Meiran Li , Yingjie Song , Xin Wan , Yang Li , Yiqi Luo , Yeheng He , Bowen Xia , Hua Zhou , Mingfei Shao . Nickel-Vanadium Layered Double Hydroxides for Efficient and Scalable Electrooxidation of 5-Hydroxymethylfurfural Coupled with Hydrogen Generation. Acta Physico-Chimica Sinica, 2024, 40(9): 2306007-0. doi: 10.3866/PKU.WHXB202306007
-
[7]
Yuting Bai , Cenqi Yan , Zhen Li , Jiaqiang Qin , Pei Cheng . Preparation of High-Strength Polyimide Porous Films with Thermally Closed Pore Property by In Situ Pore Formation Method. Acta Physico-Chimica Sinica, 2024, 40(9): 2306010-0. doi: 10.3866/PKU.WHXB202306010
-
[8]
Qiangqiang SUN , Pengcheng ZHAO , Ruoyu WU , Baoyue CAO . Multistage microporous bifunctional catalyst constructed by P-doped nickel-based sulfide ultra-thin nanosheets for energy-efficient hydrogen production from water electrolysis. Chinese Journal of Inorganic Chemistry, 2024, 40(6): 1151-1161. doi: 10.11862/CJIC.20230454
-
[9]
Yan LIU , Jiaxin GUO , Song YANG , Shixian XU , Yanyan YANG , Zhongliang YU , Xiaogang HAO . Exclusionary recovery of phosphate anions with low concentration from wastewater using a CoNi-layered double hydroxide/graphene electronically controlled separation film. Chinese Journal of Inorganic Chemistry, 2024, 40(9): 1775-1783. doi: 10.11862/CJIC.20240043
-
[10]
Zhaomei LIU , Wenshi ZHONG , Jiaxin LI , Gengshen HU . Preparation of nitrogen-doped porous carbons with ultra-high surface areas for high-performance supercapacitors. Chinese Journal of Inorganic Chemistry, 2024, 40(4): 677-685. doi: 10.11862/CJIC.20230404
-
[11]
Jin CHANG . Supercapacitor performance and first-principles calculation study of Co-doping Ni(OH)2. Chinese Journal of Inorganic Chemistry, 2024, 40(9): 1697-1707. doi: 10.11862/CJIC.20240108
-
[12]
Yanhui XUE , Shaofei CHAO , Man XU , Qiong WU , Fufa WU , Sufyan Javed Muhammad . Construction of high energy density hexagonal hole MXene aqueous supercapacitor by vacancy defect control strategy. Chinese Journal of Inorganic Chemistry, 2024, 40(9): 1640-1652. doi: 10.11862/CJIC.20240183
-
[13]
Guanghui SUI , Yanyan CHENG . Application of rice husk-based activated carbon-loaded MgO composite for symmetric supercapacitors. Chinese Journal of Inorganic Chemistry, 2025, 41(3): 521-530. doi: 10.11862/CJIC.20240221
-
[14]
Huayan Liu , Yifei Chen , Mengzhao Yang , Jiajun Gu . Strategies for enhancing capacity and rate performance of two-dimensional material-based supercapacitors. Acta Physico-Chimica Sinica, 2025, 41(6): 100063-0. doi: 10.1016/j.actphy.2025.100063
-
[15]
Huimin Liu , Kezhi Li , Xin Zhang , Xuemin Yin , Qiangang Fu , Hejun Li . SiC Nanomaterials and Their Derived Carbons for High-Performance Supercapacitors. Acta Physico-Chimica Sinica, 2024, 40(2): 2304026-0. doi: 10.3866/PKU.WHXB202304026
-
[16]
Guang Huang , Lei Li , Dingyi Zhang , Xingze Wang , Yugai Huang , Wenhui Liang , Zhifen Guo , Wenmei Jiao . Cobalt’s Valor, Nickel’s Foe: A Comprehensive Chemical Experiment Utilizing a Cobalt-based Imidazolate Framework for Nickel Ion Removal. University Chemistry, 2024, 39(8): 174-183. doi: 10.3866/PKU.DXHX202311051
-
[17]
Xueyu Lin , Ruiqi Wang , Wujie Dong , Fuqiang Huang . Rational Design of Bimetallic Oxide Anodes for Superior Li+ Storage. Acta Physico-Chimica Sinica, 2025, 41(3): 100021-0. doi: 10.3866/PKU.WHXB202311005
-
[18]
Zehao Zhang , Zheng Wang , Haibo Li . Preparation of 2D V2O3@Pourous Carbon Nanosheets Derived from V2CFx MXene for Capacitive Desalination. Acta Physico-Chimica Sinica, 2024, 40(8): 2308020-0. doi: 10.3866/PKU.WHXB202308020
-
[19]
Yingtong FAN , Yujin YAO , Shouhao WAN , Yihang SHEN , Xiang GAO , Cuie ZHAO . Construction of copper tetrakis(4-carboxyphenyl)porphyrin/silver nanowire composite electrode for flexible and transparent supercapacitors. Chinese Journal of Inorganic Chemistry, 2025, 41(7): 1309-1317. doi: 10.11862/CJIC.20250043
-
[20]
Zhuo WANG , Junshan ZHANG , Shaoyan YANG , Lingyan ZHOU , Yedi LI , Yuanpei LAN . Preparation and photocatalytic performance of CeO2-reduced graphene oxide by thermal decomposition. Chinese Journal of Inorganic Chemistry, 2024, 40(9): 1708-1718. doi: 10.11862/CJIC.20240067
-
[1]
Metrics
- PDF Downloads(5)
- Abstract views(998)
- HTML views(392)
Login In
DownLoad: