Citation: ZHANG Qian-yu, XU Zhi-ming, ZHAO Suo-qi. Separation and characterization of C5-asphaltene from low temperature coal tar[J]. Journal of Fuel Chemistry and Technology, ;2016, 44(11): 1318-1325. shu

Separation and characterization of C5-asphaltene from low temperature coal tar

  • Corresponding author: XU Zhi-ming, scf@cup.edu.cn
  • Received Date: 8 July 2016
    Revised Date: 1 September 2016

Figures(8)

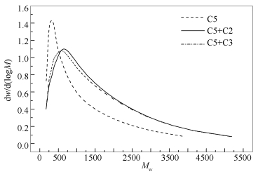
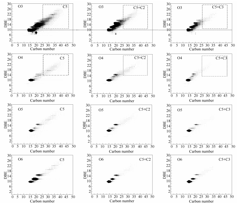
  • The asphaltene was obtained from the low temperature coal tar heavy fraction by solvent precipitation with three kinds of solvents; n-pentane, n-pentane with 5% ethanol and n-pentane with 5% isopropanol. The properties such as structure parameters and hetero atom distribution were analyzed by 1H-NMR, 13C-NMR, FT-ICR MS, elemental analysis and average molecular weight determination (GPC). Some possible average molecular structures containing hetero atoms were constructed and discussed. The results show that after adding polar solvent, the yield of C5-asphaltene is significantly reduced, while the aromaticity and average molecule weight are enhanced. The average molecular structure of the C5-asphaltene exhibits shorter side-chains and higher condensation degree. Though the type of heteroatom compounds in the asphaltene is barely changed by the addition of polar solvents, the relative abundance of O3-O6 class species is increased. Meanwhile, some O1-O2 class species with low condensation degree are transferred into maltene, indicating that the mixed solvent has a larger solubility with these compounds.
  • 加载中
    1. [1]

      WU Le-le, DENG Wen-an, LI Chuan, ZHANG Ying-hong, WANG Xiao-jie. Properties of coal tar heavy fraction and its relevance to coking in hydrocracking[J]. J Fuel Chem Technol, 2014,42(8):938-944.  

    2. [2]

      SUN Yu-dong, YANG Chao-he, HAN Zhong-xiang. Influence of asphaltene content on yield and properties of hydrotreated residue[J]. J Fuel Chem Technol, 2012,40(5):545-549.  

    3. [3]

      KERSHAW J R, BLACK K J T. Structure characterization of coal-tar and petroleum pitches[J]. Energy Fuels, 1993,7(3):420-425. doi: 10.1021/ef00039a014

    4. [4]

      PEI Xian-feng. Separation and characterization of low temperature coal tar asphaltene and resin[J]. Clean Coal Technol, 2011,17(4):43-45.  

    5. [5]

      SUN Zhi-hui, LI Wen-hong, MA Hai-xia, LI Dong, TIAN Pan-pan, NIU Meng-long. Separation and characterization of middle and low temperature coal tar heavy fraction[J]. J China Coal Soc, 2015,40(9):2187-2192.  

    6. [6]

      HOU Cui-li, QIN Zhi-hong, CHEN De-ren, CHEN Juan, ZHANG Li-ying, LI Bao-min. Analysis of extracts from solvent extraction of group components to Tongting coal[J]. Clean Coal Technol, 2010,16(1):94-98.  

    7. [7]

      XIE Ke-chang. Coal Structure and Its Reactivity[M]. Beijing:Science Press, 2002.

    8. [8]

      GU Xiao-hui. Study on the structure characteristics from the Shenhua coal direct liquefaction residue[D]. Beijing:China Coal Research Institute, 2005.

    9. [9]

      ZHU Yong-hong, HUANG Jiang-liu, DAN Yong, WANG Lei, LI Wen-hong, LI Dong. Analysis and characterization of medium low temperature coal tar asphaltene[J]. Acta Pet Sin (Pet Process Sect), 2016,32(2):334-342.  

    10. [10]

      RODGERS R P, HENDRICKSON C L, EMMETT M R, MARSHALL A G, GREANEY M, QIAN K. Molecular characterization of petroporphyrins in crude oil by electrospray ionization fourier transform ion cyclotron resonance mass spectrometry[J]. Can J Chem, 2001,79(5/6):546-551.  

    11. [11]

      WU Z, JERNSTROM S, HUGHEY C A, RODGERS R P, MARSHALL A G. Resolution of 10000 compositionally distinct components in polar coal extracts by negative-ion electrospray ionization Fourier transform ion cyclotron resonance mass spectrometry[J]. Energy Fuels, 2003,17(4):946-953. doi: 10.1021/ef030026m

    12. [12]

      SHI Q, YAN Y, WU X, LI S, CHUNG K, ZHAO S, XU C. Identification of dihydroxy aromatic compounds in a low-temperature pyrolysis coal tar by gas chromatography-mass spectrometry (GC-MS) and fourier transform ion cyclotron resonance mass spectrometry (FT-ICR MS)[J]. Energy Fuels, 2010,24(10):5533-5538. doi: 10.1021/ef1007352

    13. [13]

      LONG Hai-yang. Composition of low temperature coal tar[D]. Beijing:University of Petroleum, 2012.

    14. [14]

      LÜ Jun, GAO Li-juan, ZHU Ya-ming, ZHAO Xue-fei, WANG Zhi-yu. Compositions and structure characterizations of medium and low temperature coal tar pitch[J]. Mater Rev, 2016,30(4):127-131.  

  • 加载中
    1. [1]

      Chi Li Jichao Wan Qiyu Long Hui Lv Ying XiongN-Heterocyclic Carbene (NHC)-Catalyzed Amidation of Aldehydes with Nitroso Compounds. University Chemistry, 2024, 39(5): 388-395. doi: 10.3866/PKU.DXHX202312016

    2. [2]

      Wenliang Wang Weina Wang Sufan Wang Tian Sheng Tao Zhou Nan Wei . “Schrödinger Equation – Approximate Models – Core Concepts – Simple Applications”: Constructing a Logical Framework and Knowledge Graph of Atom and Molecule Structures. University Chemistry, 2024, 39(8): 338-343. doi: 10.3866/PKU.DXHX202312084

    3. [3]

      Xiaodong Chen Yumin Zhang . An Improved Simulated Annealing Algorithm for Predicting the Molecular Formulas of Organic Compounds. University Chemistry, 2025, 40(9): 19-24. doi: 10.12461/PKU.DXHX202408095

    4. [4]

      Hao Wu Zhen Liu Dachang Bai1H NMR Spectrum of Amide Compounds. University Chemistry, 2024, 39(3): 231-238. doi: 10.3866/PKU.DXHX202309020

    5. [5]

      Qianlang Wang Jijun Sun Qian Chen Quanqin Zhao Baojuan Xi . The Appeal of Organophosphorus Compounds: Clearing Their Name. University Chemistry, 2025, 40(4): 299-306. doi: 10.12461/PKU.DXHX202405205

    6. [6]

      Ying Xiong Guangao Yu Lin Wu Qingwen Liu Houjin Li Shuanglian Cai Zhanxiang Liu Xingwen Sun Yuan Zheng Jie Han Xin Du Chengshan Yuan Qihan Zhang Jianrong Zhang Shuyong Zhang . Basic Operations and Specification Suggestions for Determination of Physical Constants of Organic Compounds. University Chemistry, 2025, 40(5): 106-121. doi: 10.12461/PKU.DXHX202503079

    7. [7]

      Yongjian Zhang Fangling Gao Hong Yan Keyin Ye . Electrochemical Transformation of Organosulfur Compounds. University Chemistry, 2025, 40(5): 311-317. doi: 10.12461/PKU.DXHX202407035

    8. [8]

      Nan Xiao Fang Sun . 二芳基硫醚化合物的构建及应用. University Chemistry, 2025, 40(6): 360-363. doi: 10.12461/PKU.DXHX202407099

    9. [9]

      Yerong Chen Bingbin Yang Xinglei He Yuqi Lin Keyin Ye . Enzyme-Directed Evolution Enables Bioconversion of Organosilicon Compounds. University Chemistry, 2025, 40(10): 121-129. doi: 10.12461/PKU.DXHX202411054

    10. [10]

      Qiwen Chen Baolei Wang . Research Progress on One-Electron σ-Bond of Organic Compounds. University Chemistry, 2025, 40(11): 191-198. doi: 10.12461/PKU.DXHX202412136

    11. [11]

      Geyang Song Dong Xue Gang Li . Recent Advances in Transition Metal-Catalyzed Synthesis of Anilines from Aryl Halides. University Chemistry, 2024, 39(2): 321-329. doi: 10.3866/PKU.DXHX202308030

    12. [12]

      Jiaming Xu Yu Xiang Weisheng Lin Zhiwei Miao . Research Progress in the Synthesis of Cyclic Organic Compounds Using Bimetallic Relay Catalytic Strategies. University Chemistry, 2024, 39(3): 239-257. doi: 10.3866/PKU.DXHX202309093

    13. [13]

      Aidang Lu Yunting Liu Yanjun Jiang . Comprehensive Organic Chemistry Experiment: Synthesis and Characterization of Triazolopyrimidine Compounds. University Chemistry, 2024, 39(8): 241-246. doi: 10.3866/PKU.DXHX202401029

    14. [14]

      Xilin Zhao Xingyu Tu Zongxuan Li Rui Dong Bo Jiang Zhiwei Miao . Research Progress in Enantioselective Synthesis of Axial Chiral Compounds. University Chemistry, 2024, 39(11): 158-173. doi: 10.12461/PKU.DXHX202403106

    15. [15]

      Hanxue LIUShijie LIMeng RENXuling XUEHongke LIU . Design and antitumor properties of dehydroabietic acid functionalized cyclometalated iridium(Ⅲ) complex. Chinese Journal of Inorganic Chemistry, 2025, 41(8): 1483-1494. doi: 10.11862/CJIC.20250031

    16. [16]

      Yijing GUHuan PANGRongmei ZHU . Applications of nickel-based metal-organic framework compounds in supercapacitors. Chinese Journal of Inorganic Chemistry, 2025, 41(10): 2029-2038. doi: 10.11862/CJIC.20250186

    17. [17]

      Qi Zhang Ziyu Liu Hongxia Tan Jun Tong Dazhen Xu . Research Progress on Direct Synthesis of β-Hydroxy Sulfones via Difunctionalization of Olefins. University Chemistry, 2025, 40(11): 199-209. doi: 10.12461/PKU.DXHX202412064

    18. [18]

      Yuan Chun Yongmei Liu Fuping Tian Hong Yuan Shu'e Song Wanchun Zhu Yunchao Li Zhongyun Wu Xiaokui Wang Yunshan Bai Li Wang Jianrong Zhang Shuyong Zhang . Suggestions on Operating Specifications of Physical Chemistry Experiment: Measurement of Colloidal and Surface Chemical Properties, Molecular Structure and Properties. University Chemistry, 2025, 40(5): 178-188. doi: 10.12461/PKU.DXHX202503053

    19. [19]

      Xiaofeng ZhuBingbing XiaoJiaxin SuShuai WangQingran ZhangJun Wang . Transition Metal Oxides/Chalcogenides for Electrochemical Oxygen Reduction into Hydrogen Peroxides. Acta Physico-Chimica Sinica, 2024, 40(12): 2407005-0. doi: 10.3866/PKU.WHXB202407005

    20. [20]

      Zhiqiang XINGJinling LIUMingmin SULei ZHANGLijun YANG . CoNi dual-single-atom catalyst for electrocatalytic H2O2 production and in situ electro-Fenton degradation of pollutants. Chinese Journal of Inorganic Chemistry, 2025, 41(12): 2479-2490. doi: 10.11862/CJIC.20250181

Metrics
  • PDF Downloads(1)
  • Abstract views(1185)
  • HTML views(205)

通讯作者: 陈斌, bchen63@163.com
  • 1. 

    沈阳化工大学材料科学与工程学院 沈阳 110142

  1. 本站搜索
  2. 百度学术搜索
  3. 万方数据库搜索
  4. CNKI搜索
Address:Zhongguancun North First Street 2,100190 Beijing, PR China Tel: +86-010-82449177-888
Powered By info@rhhz.net

/

DownLoad:  Full-Size Img  PowerPoint
Return