Citation: XIE Wen-jie, WANG Huan, QIN Yu-cai, ZHAI Peng, SONG Li-juan. Determination of mass transfer behavior of typical products of MTO (methanol to olefins) reactions over HZSM-5 zeolite[J]. Journal of Fuel Chemistry and Technology, ;2020, 48(6): 713-722. shu

Determination of mass transfer behavior of typical products of MTO (methanol to olefins) reactions over HZSM-5 zeolite

  • Corresponding author: QIN Yu-cai, qycgryx@163.com SONG Li-juan, lsong56@263.net
  • Received Date: 13 February 2020
    Revised Date: 31 March 2020

    Fund Project: Scientific Research Project of Education Department of Liaoning Province L2019035the National Natural Science Foundation of China U1662135China National Petroleum Corporation KYWX-18-011the National Natural Science Foundation of China 21902068The project was supported by the National Natural Science Foundation of China(21902068, U1662135), Scientific Research Project of Education Department of Liaoning Province(L2019035) and China National Petroleum Corporation(KYWX-18-011)

Figures(9)

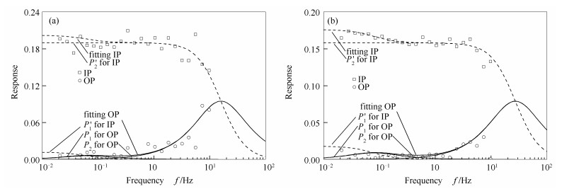
  • Methanol conversion to olefins (MTO) catalyzed by zeolite catalysts is a typical diffusion dominated reaction process. In this paper, the diffusion behavior of several typical product molecules (ethylene/ethane, propylene/propane, benzene) on a HZSM-5 zeolite was systematically studied by using Frequency Response method. The results show that the mass transfer regularity of the product molecules have been successfully determined by the Frequency Response method. It is confirmed that the diffusion rates of C2 and C3 hydrocarbon molecules within the HZSM -5 micropores are similar, but the effects of the surface resistance are different. So, the C2 molecules can freely go in and out of the channels of the HZSM-5 zeolite, while the diffusion of C3 molecules is significantly affected by the channel diffusion limitation. In addition, the diffusion rate of benzene molecules is observably lower than that of C2 and C3 molecules, and the resistant effects of benzene molecules caused by the zeolite crystal surface are not serious. The conclusions obtained in this study can be used to explain the product selectivity of MTO reaction over HZSM-5 zeolites and the coking mechanism of the catalyst, and provide the mass transfer theoretical guidance for the preparation of the MTO catalysts with excellent performance.
  • 加载中
    1. [1]

      CHANG C D. Hydrocarbons from methanol[J]. Catal Rev, 1983,25(1):1-118. doi: 10.1080/01614948308078874

    2. [2]

      CHANG C D. Methanol conversion to light olefins[J]. Catal Rev, 1984,26(3/4):323-345.  

    3. [3]

      SUN Q, XIE Z K, YU J. The state-of-the-art synthetic strategies for SAPO-34 zeolite catalysts in methanol-to-olefin conversion[J]. Natl Sci Rev, 2018,5(4):542-558. doi: 10.1093/nsr/nwx103

    4. [4]

      DAHL I M, KOLBOE S. On the reaction mechanism for propene formation in the MTO reaction over SAPO-34[J]. Catal Lett, 1993,20(3/4):329-336.  

    5. [5]

      LI J, WEI Y, LIU G, QI Y, TIAN P, LI B, HE Y, LIU Z. Comparative study of MTO conversion over SAPO-34, H-ZSM-5 and H-ZSM-22:Correlating catalytic performance and reaction mechanism to zeolite topology[J]. Catal Today, 2011,171(1):221-228. doi: 10.1016/j.cattod.2011.02.027

    6. [6]

      WANG Sen, CHEN Yan-yan, WEI Zhi-hong, QIN Zhang-feng, LI Jun-fen, DONG Mei, FAN Wei-bin, WANG Jian-guo. Recent research progresses in the effect of framework structure and acidity of zeolites on their catalytic performance in methanol to olefins (MTO)[J]. J Fuel Chem Technol, 2015,43(10):1202-1214. doi: 10.3969/j.issn.0253-2409.2015.10.008 

    7. [7]

      BJØRGEN M, SVELLE S, JOENSEN F, NERLOV J, BONINO F, PALUMBO L, BORDIGA S, OLSBYE U. Conversion of methanol to hydrocarbons over zeolite H-ZSM-5:On the origin of the olefinic species[J]. J Catal, 2007,249(2):195-207.  

    8. [8]

      BLEKEN F L, CHAVAN S, OLSBYE U, BOLTZ M, OCAMPO F, LOUIS B. Conversion of methanol into light olefins over ZSM-5 zeolite:Strategy to enhance propene selectivity[J]. Appl Catal A:Gen, 2012,447:178-185.  

    9. [9]

      ZHANG Li-wei, ZHANG Huai-ke, CHEN Zhi-qiang, LIU Su-yao, REN Jie. Effect of framework Al siting on catalytic performance in methanol to aromatics over ZSM-5 zeolites[J]. J Fuel Chem Technol, 2019,47(12):1468-1475. doi: 10.3969/j.issn.0253-2409.2019.12.007 

    10. [10]

      FIROOZI M, BAGHALHA M, ASADI M. The effect of micro and nano particle sizes of H-ZSM-5 on the selectivity of MTP reaction[J]. Catal Commun, 2009,10(12):1582-1585. doi: 10.1016/j.catcom.2009.04.021

    11. [11]

      ZHANG Yun-peng, LI Ming-gang, XING En-hui, LUO Yi-bin, SHU Xing-tian. Methanol to propylene reaction performance and trapped carbonaceous species over zeolites with different topologies[J]. J Fuel Chem Technol, 2018,46(9):1101-1112. doi: 10.3969/j.issn.0253-2409.2018.09.009 

    12. [12]

      NIU X, GAO J, WANG K, MIAO Q, DONG M, WANG G, FAN W, QIN Z, WANG J. Influence of crystal size on the catalytic performance of H-ZSM-5 and Zn/H-ZSM-5 in the conversion of methanol to aromatics[J]. Fuel Process Technol, 2017,157:99-107. doi: 10.1016/j.fuproc.2016.12.006

    13. [13]

      LI J, LIU M, LI S, GUO X, SONG C. Influence of diffusion and acid properties on methane and propane selectivity in methanol-to-olefins reaction[J]. Ind Eng Chem Res, 2019,58(5):1896-1905.  

    14. [14]

      SHANG Y, WANG W, ZHAI Y, SONG Y, ZHAO X, MA T, WEI J, GONG Y. Seed-fused ZSM-5 nanosheet as a superior MTP catalyst:Synergy of micro/mesopore and inter/external acidity[J]. Microporous Mesoporous Mater, 2019,276:173-182. doi: 10.1016/j.micromeso.2018.09.038

    15. [15]

      XING A, ZHANG N, YUAN D, LIU H, SANG Y, MIAO P, SUN Q, LUO M. Relationship between acidity, defective sites, and diffusion properties of nanosheet ZSM-5 and its catalytic performance in the methanol to propylene reaction[J]. Ind Eng Chem Res, 2019,58(28):12506-12515. doi: 10.1021/acs.iecr.9b00325

    16. [16]

      HAMBALI H U, JALIL A A, TRIWAHYONO S, JAMIAN S F, FATAH N A A, ABDULRASHEED A A, SIANG T J. Unique structure of fibrous ZSM-5 catalyst expedited prolonged hydrogen atom restoration for selective production of propylene from methanol[J]. Int J Hydrogen Energy, 2019.

    17. [17]

      LOSCH P, PINAR A B, WILLINGER M G, SOUKUP K, CHAVAN S, VINCENT B, PALE P, LOUIS B. H-ZSM-5 zeolite model crystals:Structure-diffusion-activity relationship in methanol-to-olefins catalysis[J]. J Catal, 2017,345:11-23. doi: 10.1016/j.jcat.2016.11.005

    18. [18]

      GAO M, LI H, YANG M, ZHOU J, YUAN X, TIAN P, YE M, LIU Z. A modeling study on reaction and diffusion in MTO process over SAPO-34 zeolites[J]. Chem Eng J, 2019,377119668. doi: 10.1016/j.cej.2018.08.054

    19. [19]

      CARO J, BÜLOW M, SCHIRMER W, KÄRGER J, HEINK W, PFEIFER H, ŽDANOV S P. Microdynamics of methane, ethane and propane in ZSM-5 type zeolites[J]. J Chem Soc, Faraday Trans, 1985,81(10):2541-2550. doi: 10.1039/f19858102541

    20. [20]

      VAN-DEN-BEGIN N, REES L V C, CARO J, BVLOW M, HUNGER M, KÄRGER J. Diffusion of ethane in silicalite-1 by frequency response, sorption uptake and nuclear magnetic resonance techniques[J]. J Chem Soc, Faraday Trans, 1989,85(6):1501-1509. doi: 10.1039/f19898501501

    21. [21]

      NOWAK A K, DEN OUDEN C J J, PICKETT S D, SMIT B, CHEETHAM A K, POST M F M, THOMAS J M. Mobility of adsorbed species in zeolites:Methane, ethane, and propane diffusivities[J]. J Phys Chem, 1991,95(2):848-854. doi: 10.1021/j100155a067

    22. [22]

      JOBIC H, BÉE M, KEARLEY G J. Dynamics of ethane and propane in zeolite ZSM-5 studied by quasi-elastic neutron scattering[J]. Zeolites, 1992,12(2):146-151. doi: 10.1016/0144-2449(92)90075-Z

    23. [23]

      SONG L, REES L V C. Frequency response diffusion of propane in silicalite-1[J]. Microporous Mater, 1996,6(5/6):363-374.  

    24. [24]

      SONG L, REES L V C. Diffusion of propane in theta-1 and silicalite-1 zeolites[J]. Microporous Mesoporous Mater, 2000,41(1/3):193-200.  

    25. [25]

      QIN Yu-cai, GAO Xiong-hou, PEI Ting-ting, ZHENG Lan-ge, WANG Lin, MO Zhou-sheng, SONG Li-juan. Adsorption and catalytic conversion of thiophene on Y-type zeolites modified with rare-earth metal ions[J]. J Fuel Chem Technol, 2013,41(7):889-896. doi: 10.3969/j.issn.0253-2409.2013.07.017 

    26. [26]

      JIA Wei-ming, QIN Yu-cai, ZHANG Le, MO Zhou-sheng, SONG Li-juan, SUN Zhao-lin. Study on accessibility and catalytic activity of Y zeolite modified by Ce-species[J]. Pet Process Petrochem, 2017,48(6):14-19. doi: 10.3969/j.issn.1005-2399.2017.06.005

    27. [27]

      SONG L, REES L V C. Adsorption and diffusion of cyclic hydrocarbon in MFI-type zeolites studied by gravimetric and frequency-response techniques[J]. Microporous Mesoporous Mater, 2000,35:301-314.  

    28. [28]

      REES L V C, SONG L. Frequency response method for the characterisation of microporous solids[J]. Membrane Sci Technol, 2000,6(3):139-186.  

    29. [29]

      YASUDA Y, SAEKI M. Kinetic details of a gas-surface system by the frequency response method[J]. J Phys Chem, 1978,82(1):74-80. doi: 10.1021/j100490a019

    30. [30]

      REES L V C, SONG L. Recent Advances in Gas Separation by Microporous Ceramic Membranes[M]. Amsterdam:Membrane Science and Technology, Elsevier, 2000, 39-186.

    31. [31]

      SONG L, SUN Z L, REES L V C. 19-O-02-Studies of adsorption, diffusion and molecular simulation of cyclic hydrocarbons in MFI zeolites[J]. Stud Surf Sci Catal, 2001,135153.  

    32. [32]

      YASUDA Y, SUZUKI Y, FUKADA H. Kinetic details of a gas/porous adsorbent system by the frequency response method[J]. J Phys Chem, 1991,95(6):2486-2492. doi: 10.1021/j100159a070

    33. [33]

      YASUDA Y. Detection of surface resistance in a gas/porous-adsorbent system by frequency response method[J]. Bull Chem Soc Jpn, 1991,64(3):954-961. doi: 10.1246/bcsj.64.954

    34. [34]

      YASUDA Y. Frequency-response method for investigation of gas-surface dynamic phenomena[J]. Heterogen Chem Rev, 1994,1(2):103-124.

    35. [35]

      SHEN D, REES L V C. Frequency response study of single-file diffusion in theta-1[J]. J Chem Soc, Faraday Trans, 1994,90(19)3017. doi: 10.1039/ft9949003017

    36. [36]

      CAI D, WANG N, CHEN X, MA Y, HOU Y, LI X, ZHANG C, CHEN Z, SONG W, ARSLAN M T, LI Y, WANG Y, QIAN W, WEI F. Highly selective conversion of methanol to propylene:Design of an MFI zeolite with selective blockage of (010) surfaces[J]. Nanoscale, 2019,11(17):8096-8101. doi: 10.1039/C8NR10371B

    37. [37]

      ZHANG W, CHN J, XU S, CHU Y, WEI Y, ZHI Y, HUANG J, ZHENG A, WU X, MENG X, XIAO F, DENG F, LIU Z. Methanol to olefins reaction over cavity-type zeolite:Cavity controls the critical intermediates and product selectivity[J]. ACS Catal, 2018,8(12):10950-10963. doi: 10.1021/acscatal.8b02164

  • 加载中
    1. [1]

      Zizheng LUWanyi SUQin SHIHonghui PANChuanqi ZHAOChengfeng HUANGJinguo PENG . Surface state behavior of W doped BiVO4 photoanode for ciprofloxacin degradation. Chinese Journal of Inorganic Chemistry, 2024, 40(3): 591-600. doi: 10.11862/CJIC.20230225

    2. [2]

      Yangrui XuYewei RenXinlin LiuHongping LiZiyang Lu . NH2-UIO-66 Based Hydrophobic Porous Liquid with High Mass Transfer and Affinity Surface for Enhancing CO2 Photoreduction. Acta Physico-Chimica Sinica, 2024, 40(11): 2403032-0. doi: 10.3866/PKU.WHXB202403032

    3. [3]

      Xiaojing TianZhichun HuangQingsong ZhangXu WangNing YangNanping Deng . PNIPAm Thermo-Responsive Nanofibers Mats: Morphological Stability and Response Behavior under Cross-Linking. Acta Physico-Chimica Sinica, 2024, 40(4): 2304037-0. doi: 10.3866/PKU.WHXB202304037

    4. [4]

      Feng Han Fuxian Wan Ying Li Congcong Zhang Yuanhong Zhang Chengxia Miao . Comprehensive Organic Chemistry Experiment: Phosphotungstic Acid-Catalyzed Direct Conversion of Triphenylmethanol for the Synthesis of Oxime Ethers. University Chemistry, 2025, 40(3): 342-348. doi: 10.12461/PKU.DXHX202405181

    5. [5]

      Xingyang LITianju LIUYang GAODandan ZHANGYong ZHOUMeng PAN . A superior methanol-to-propylene catalyst: Construction via synergistic regulation of pore structure and acidic property of high-silica ZSM-5 zeolite. Chinese Journal of Inorganic Chemistry, 2024, 40(7): 1279-1289. doi: 10.11862/CJIC.20240026

    6. [6]

      Tengyue ZHANGJingjing FENGZili LIANGJia′nan DAIJing MA . Optimization of C-doped BiVO4 performance for tetracycline degradation using response surface methodology-assisted orthogonal experiments. Chinese Journal of Inorganic Chemistry, 2025, 41(12): 2561-2574. doi: 10.11862/CJIC.20250104

    7. [7]

      Xinting XIONGZhiqiang XIONGPanlei XIAOXuliang NIEXiuying SONGXiuguang YI . Synthesis, crystal structures, Hirshfeld surface analysis, and antifungal activity of two complexes Na(Ⅰ)/Cd(Ⅱ) assembled by 5-bromo-2-hydroxybenzoic acid ligands. Chinese Journal of Inorganic Chemistry, 2024, 40(9): 1661-1670. doi: 10.11862/CJIC.20240145

    8. [8]

      Fang Niu Rong Li Qiaolan Zhang . Analysis of Gas-Solid Adsorption Behavior in Resistive Gas Sensing Process. University Chemistry, 2024, 39(8): 142-148. doi: 10.3866/PKU.DXHX202311102

    9. [9]

      Lingbang QiuJiangmin JiangLibo WangLang BaiFei ZhouGaoyu ZhouQuanchao ZhuangYanhua CuiIn Situ Electrochemical Impedance Spectroscopy Monitoring of the High-Temperature Double-Discharge Mechanism of Nb12WO33 Cathode Material for Long-Life Thermal Batteries. Acta Physico-Chimica Sinica, 2025, 41(5): 100040-0. doi: 10.1016/j.actphy.2024.100040

    10. [10]

      Xuyu WANGXinran XIEDengke CAO . Photoreaction characteristics and luminescence modulation in phosphine-anthracene-based Au(Ⅰ) and Ir(Ⅲ) complexes. Chinese Journal of Inorganic Chemistry, 2025, 41(8): 1513-1522. doi: 10.11862/CJIC.20250113

    11. [11]

      Kai CHENFengshun WUShun XIAOJinbao ZHANGLihua ZHU . PtRu/nitrogen-doped carbon for electrocatalytic methanol oxidation and hydrogen evolution by water electrolysis. Chinese Journal of Inorganic Chemistry, 2024, 40(7): 1357-1367. doi: 10.11862/CJIC.20230350

    12. [12]

      Yongmei Liu Lisen Sun Zhen Huang Tao Tu . Curriculum-Based Ideological and Political Design for the Experiment of Methanol Oxidation to Formaldehyde Catalyzed by Electrolytic Silver. University Chemistry, 2024, 39(2): 67-71. doi: 10.3866/PKU.DXHX202308020

    13. [13]

      Ling Liu Haibin Wang Genrong Qiang . Curriculum Ideological and Political Design for the Comprehensive Preparation Experiment of Ethyl Benzoate Synthesized from Benzyl Alcohol. University Chemistry, 2024, 39(2): 94-98. doi: 10.3866/PKU.DXHX202304080

    14. [14]

      Wanmin Cheng Juan Du Peiwen Liu Yiyun Jiang Hong Jiang . Photoinitiated Grignard Reagent Synthesis and Experimental Improvement in Triphenylmethanol Preparation. University Chemistry, 2024, 39(5): 238-242. doi: 10.3866/PKU.DXHX202311066

    15. [15]

      Ruiqin FengYe FanYun FangYongmei Xia . Strategy for Regulating Surface Protrusion of Gold Nanoflowers and Their Surface-Enhanced Raman Scattering. Acta Physico-Chimica Sinica, 2024, 40(4): 2304020-0. doi: 10.3866/PKU.WHXB202304020

    16. [16]

      Vanita VanitaRoland SchochPascal PuphalHasan YilmazMatthias BauerOliver Clemens . Structural and electrochemical behaviour of bilayer manganite LaSr2Mn2O6.96 cathode for all-solid-state fluoride ion batteries. Acta Physico-Chimica Sinica, 2026, 42(3): 100181-0. doi: 10.1016/j.actphy.2025.100181

    17. [17]

      Qingqing SHENXiangbowen DUKaicheng QIANZhikang JINZheng FANGTong WEIRenhong LI . Self-supporting Cu/α-FeOOH/foam nickel composite catalyst for efficient hydrogen production by coupling methanol oxidation and water electrolysis. Chinese Journal of Inorganic Chemistry, 2024, 40(10): 1953-1964. doi: 10.11862/CJIC.20240028

    18. [18]

      Xue LiuLipeng WangLuling LiKai WangWenju LiuBiao HuDaofan CaoFenghao JiangJunguo LiKe Liu . Research on Cu-Based and Pt-Based Catalysts for Hydrogen Production through Methanol Steam Reforming. Acta Physico-Chimica Sinica, 2025, 41(5): 100049-0. doi: 10.1016/j.actphy.2025.100049

    19. [19]

      Feifei YangWei ZhouChaoran YangTianyu ZhangYanqiang Huang . Enhanced Methanol Selectivity in CO2 Hydrogenation by Decoration of K on MoS2 Catalyst. Acta Physico-Chimica Sinica, 2024, 40(7): 2308017-0. doi: 10.3866/PKU.WHXB202308017

    20. [20]

      Yutong Liu Xuemin Jing . Research Progress on the Catalytic Conversion of Methane in the Context of the “Dual Carbon” Goals. University Chemistry, 2025, 40(10): 101-113. doi: 10.12461/PKU.DXHX202412018

Metrics
  • PDF Downloads(6)
  • Abstract views(639)
  • HTML views(66)

通讯作者: 陈斌, bchen63@163.com
  • 1. 

    沈阳化工大学材料科学与工程学院 沈阳 110142

  1. 本站搜索
  2. 百度学术搜索
  3. 万方数据库搜索
  4. CNKI搜索
Address:Zhongguancun North First Street 2,100190 Beijing, PR China Tel: +86-010-82449177-888
Powered By info@rhhz.net

/

DownLoad:  Full-Size Img  PowerPoint
Return