Citation: Chen Xin, Yuan Yanglei, Zhang Yuanyuan, Wang Hongmei, Zhang Li, Chen Qing. A Highly Sensitive and Selective Probe Based on Coumarin for Fluorescent and Colorimetric Detection of Pd2+ in Pure Water[J]. Chemistry, ;2020, 83(5): 442-447. shu

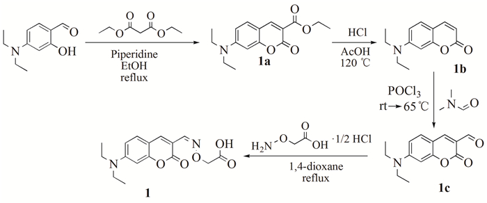
A Highly Sensitive and Selective Probe Based on Coumarin for Fluorescent and Colorimetric Detection of Pd2+ in Pure Water

  • Corresponding author: Wang Hongmei, whmd@cau.edu.cn
  • Received Date: 16 January 2020
    Accepted Date: 17 February 2020

Figures(11)

Metrics
  • PDF Downloads(11)
  • Abstract views(991)
  • HTML views(175)

通讯作者: 陈斌, bchen63@163.com
  • 1. 

    沈阳化工大学材料科学与工程学院 沈阳 110142

  1. 本站搜索
  2. 百度学术搜索
  3. 万方数据库搜索
  4. CNKI搜索
Address:Zhongguancun North First Street 2,100190 Beijing, PR China Tel: +86-010-82449177-888
Powered By info@rhhz.net

/

DownLoad:  Full-Size Img  PowerPoint
Return