Citation: GUO Ai-jun, ZHENG Wen-lin, JIAO Shou-hui, CHEN Kun, LIU He, WANG Zong-xian, WANG Zi-hao. Study on olefin distribution of catalytic cracking slurry[J]. Journal of Fuel Chemistry and Technology, ;2018, 46(4): 413-418. shu

Study on olefin distribution of catalytic cracking slurry

  • Corresponding author: GUO Ai-jun, ajguo@upc.edu.cn
  • Received Date: 19 December 2017
    Revised Date: 1 February 2018

    Fund Project: the National Natural Science Foundation of China 21776313The project was supported by the National Natural Science Foundation of China (21776313), the Provincial Key Research and Development Plan of Shandong (2017GGX70108) and the State Key Laboratory of Heavy Oil Processing (SLKZZ-2017011)the State Key Laboratory of Heavy Oil Processing SLKZZ-2017011the Provincial Key Research and Development Plan of Shandong 2017GGX70108

Figures(6)

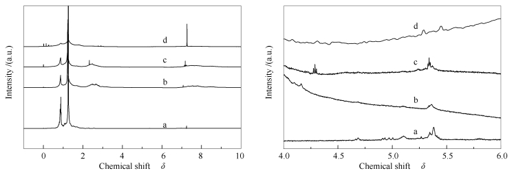
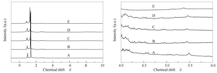
  • The content of conjugated olefins (double bonds) and olefins (double bonds) in four fractions and five fractions of a FCC slurry was determined by the diene number and bromine number analysis method. UV and 1H-NMR were used to characterize and determine the type and content of olefins in the four fractions and five fractions. The results confirm that the olefin (double bond) and conjugated olefin (double bond) exist in FCC slurry, the contents of olefin (double bond) and conjugated olefin (double bond) are as high as 21% and 6%, the content of conjugated olefin (double bond) in the four components increased in turn, the content of conjugated olefin (double bond) in the five fractions was about 5%, and the content of olefin (double bond) in four components and five fractions all showed a trend of decreasing first and then increasing. At the same time, there are also differences in the content of normal alpha-olefins and internal olefins between different components and different fractions.
  • 加载中
    1. [1]

      WEI Zhong-xun, ZHAO Bo, GUO Ai-jun, WANG Zong-xian. Development of electro-static separation for purification of FCC slurry[J]. Pet Refin Eng, 2013,43(3):14-17.  

    2. [2]

      MA Wen-bin. Impact of compositions and properties of FCC slurry on downstream processing in delayed coking unit[J]. Pet Refin Eng, 2014,44(1):7-11.  

    3. [3]

      XU Zhi-ming, ZHANG Li, ZHAO Suo-qi, WANG Ren-an. Separation and chemical utilization of FCC decanted oil[J]. Pet Process Petrochem, 2001,32(9):17-21.  

    4. [4]

      GUO Jiao-he, FENG Ming-ge, QU Tao, FU Li, WU Pei-zun, YANG Ze-yu, CHEN Bao-lian. A method for the treatment of catalytic cracking slurry, CN: 1302841[P]. 2001-07-11.

    5. [5]

      CHEN Jun-wu. Catalytic Cracking Process and Engineering[M]. Beijing:China Petrochemical Press, 2005, 141-181, 400-490.

    6. [6]

      LIANG Wen-jie, QUE Guo-he, LIU Chen-guang, YANG Qiu-shui. Petrochemistry[M]. Dongying:China University of Petroleum Press, 2009, 283-475.

    7. [7]

      BAI Xue, LIU Ze-long. Characterization of alkene types and distributions in FCC diesel and coker diesel fuel[J]. Pet Process Petrochem, 2011,42(11):76-80. doi: 10.3969/j.issn.1005-2399.2011.11.017

    8. [8]

      NIU Lu-na, LIU Ze-long, ZHOU Jian, CAI Xin-heng, TIAN Song-bai. Identification and characterization of olefins in diesel by using comprehensive two-dimensional gas chromatography coupled with time-of-flight mass pectrometry[J]. Acta Pet Sin(Pet Process Sect), 2014,30(5):851-860.  

    9. [9]

      NIU Lu-na, LIU Ze-long, ZHOU Jian, CAI Xin-heng, TIAN Song-bai. Composition and distribution characteristics of olefin fractions in different FCC diesels[J]. Acta Pet Sin(Pet Process Sect), 2015,31(5):1097-1102.  

    10. [10]

      LIN Xiu-li, LU Chun-yan, MA Hui-Tong, XIE Ying, LIANG Zhao-lin. Development trend of comprehensive utilization of FCC slurry[J]. J Guangdong Ins Pet Chem Eng, 2011,21(3):8-11.  

    11. [11]

      GRAY M R, MCCAFFREY W C. Role of chain reactions and olefin formation in cracking, hydroconversion, and coking of petroleum and bitumen fractions[J]. Energy Fuels, 2002,16(3):756-766. doi: 10.1021/ef010243s

    12. [12]

      GOLDANIGA A, FARAVELLI T, RANZI E. The kinetic modeling of soot precursors in a butadiene flame[J]. Combus Flame, 2000,122(3):350-358. doi: 10.1016/S0010-2180(00)00138-3

    13. [13]

      LU M, MULHOLLAND J A. Aromatic hydrocarbon growth from indene[J]. Chemosphere, 2001,42(5):625-633.  

    14. [14]

      LIANG Wen-jie. The Chemistry of Heavy Oil[M]. Qingdao:China University of Petroleum Press, 2000.

    15. [15]

      BANSAL V, SARPAL A S, KAPUR G S, SHARMA V K. Estimation of bromine number of petroleum distillates by NMR spectroscopy[J]. Energy Fuels, 2000,14(5):1028-1031. doi: 10.1021/ef000028w

    16. [16]

      YUAN Cun-guang, ZHU You-zhen, TIAN Jing, TANG Yi-hong. Modern Instrument Analysis[M]. Beijing:Chemical Industry Press, 2012.

    17. [17]

      QI Bang-feng, CAO Zu-bin, CHEN Li-ren, ZHANG Hui-cheng, WANG Li-jun, QUE Guo-he. Study on structure of resins and asphaltenes with U.V. absorption spectrum[J]. J Petrochem Univ, 2001,14(3):14-17.  

    18. [18]

      BARRE L, ESPINAT D, ROSENBERG E, SCARSELLA M. Colloidal structure of heavy crudes and asphaltene solutions[J]. Oil Gas Sci, 1997,52(2):161-175.  

  • 加载中
    1. [1]

      Jinkang Jin Yidian Sheng Ping Lu Zhan Lu . Introducing a Website for Learning Nuclear Magnetic Resonance (NMR) Spectrum Analysis. University Chemistry, 2024, 39(11): 388-396. doi: 10.12461/PKU.DXHX202403054

    2. [2]

      Xudong Liu Huili Fan Junping Xiao Min Yang Yan Li . Teaching Approaches to the AE + AN Mechanism of Electrophilic Addition Reactions between Olefins and Inorganic Acids in Organic Chemistry. University Chemistry, 2025, 40(7): 367-372. doi: 10.12461/PKU.DXHX202409041

    3. [3]

      Zhuoming Liang Ming Chen Zhiwen Zheng Kai Chen . Multidimensional Studies on Ketone-Enol Tautomerism of 1,3-Diketones By 1H NMR. University Chemistry, 2024, 39(7): 361-367. doi: 10.3866/PKU.DXHX202311029

    4. [4]

      Hao Wu Zhen Liu Dachang Bai1H NMR Spectrum of Amide Compounds. University Chemistry, 2024, 39(3): 231-238. doi: 10.3866/PKU.DXHX202309020

    5. [5]

      Haiyang Jin Yonghai Hui Yongfei Zhang Lijun Gao Yun Wang . Application and Exploration of Nuclear Magnetic Resonance Spectrometer in Undergraduate Basic Laboratory Teaching. University Chemistry, 2025, 40(3): 245-250. doi: 10.12461/PKU.DXHX202406022

    6. [6]

      Haolin ZhanQiyuan FangJiawei LiuXiaoqi ShiXinyu ChenYuqing HuangZhong Chen . Noise Reduction of Nuclear Magnetic Resonance Spectroscopy Using Lightweight Deep Neural Network. Acta Physico-Chimica Sinica, 2025, 41(2): 100017-0. doi: 10.3866/PKU.WHXB202310045

    7. [7]

      Xinxin YUYongxing LIUXiaohong YIMiao CHANGFei WANGPeng WANGChongchen WANG . Photocatalytic peroxydisulfate activation for degrading organic pollutants over the zero-valent iron recovered from subway tunnels. Chinese Journal of Inorganic Chemistry, 2025, 41(5): 864-876. doi: 10.11862/CJIC.20240438

    8. [8]

      Xiaoyang Li Xiaowei Huang Yimeng Zhang Huan Liu Shao Jin Junpeng Zhuang . Comprehensive Chemical Experiments on the Synthesis of 1,3-Dibromo-5,5-Dimethylhydantoin and Its Application as a Brominating Reagent. University Chemistry, 2025, 40(7): 286-293. doi: 10.12461/PKU.DXHX202408035

    9. [9]

      Honghong ZhangZhen WeiDerek HaoLin JingYuxi LiuHongxing DaiWeiqin WeiJiguang Deng . 非均相催化CO2与烃类协同催化转化的最新进展. Acta Physico-Chimica Sinica, 2025, 41(7): 100073-0. doi: 10.1016/j.actphy.2025.100073

    10. [10]

      Jiamin Li Wenyue Zhong Kin Shing Chan . “烯”君入瓮又入学——据元素周期表与酸碱理论谈烯烃教学. University Chemistry, 2025, 40(6): 177-182. doi: 10.12461/PKU.DXHX202408040

    11. [11]

      Xiaoling LUOPintian ZOUXiaoyan WANGZheng LIUXiangfei KONGQun TANGSheng WANG . Synthesis, crystal structures, and properties of lanthanide metal-organic frameworks based on 2, 5-dibromoterephthalic acid ligand. Chinese Journal of Inorganic Chemistry, 2024, 40(6): 1143-1150. doi: 10.11862/CJIC.20230271

    12. [12]

      Jianding LIJunyang FENGHuimin RENGang LI . Proton conductive properties of a Hf(Ⅳ)-based metal-organic framework built by 2,5-dibromophenyl-4,6-dicarboxylic acid. Chinese Journal of Inorganic Chemistry, 2025, 41(6): 1094-1100. doi: 10.11862/CJIC.20240464

    13. [13]

      Yinwu Su Xuanwen Zheng Jianghui Du Boda Li Tao Wang Zhiyan Huang . Green Synthesis of 1,3-Dibromoacetone Using Halogen Exchange Method: Recommending a Basic Organic Synthesis Teaching Experiment. University Chemistry, 2024, 39(5): 307-314. doi: 10.3866/PKU.DXHX202311092

    14. [14]

      Hailang JIAYujie LUPengcheng JI . Preparation and properties of nitrogen and phosphorus co-doped graphene carbon aerogel supported ruthenium electrocatalyst for hydrogen evolution reaction. Chinese Journal of Inorganic Chemistry, 2025, 41(11): 2327-2336. doi: 10.11862/CJIC.20250021

    15. [15]

      Hongling Yuan Jialin Xie Jiawei Wang Jixiang Zhao Jiayan Liu Qing Feng Wei Qi Min Liu . Cyclic Olefin Copolymer (COC): The Agile Vanguard in the Realm of Materials. University Chemistry, 2024, 39(7): 294-298. doi: 10.12461/PKU.DXHX202311041

    16. [16]

      Xin ZhouYiting HuoSongyu YangBowen HeXiaojing WangZhen WuJianjun Zhang . Understanding the effect of pH on protonated COF during photocatalytic H2O2 production by femtosecond transient absorption spectroscopy. Acta Physico-Chimica Sinica, 2025, 41(12): 100160-0. doi: 10.1016/j.actphy.2025.100160

    17. [17]

      Hailang JIAPengcheng JIHongcheng LI . Preparation and performance of nickel doped ruthenium dioxide electrocatalyst for oxygen evolution. Chinese Journal of Inorganic Chemistry, 2025, 41(8): 1632-1640. doi: 10.11862/CJIC.20240398

    18. [18]

      Runhua ChenQiong WuJingchen LuoXiaolong ZuShan ZhuYongfu Sun . Defective Ultrathin Two-Dimensional Materials for Photo-/Electrocatalytic CO2 Reduction: Fundamentals and Perspectives. Acta Physico-Chimica Sinica, 2025, 41(3): 100019-0. doi: 10.3866/PKU.WHXB202308052

    19. [19]

      Zhuo WANGJunshan ZHANGShaoyan YANGLingyan ZHOUYedi LIYuanpei LAN . Preparation and photocatalytic performance of CeO2-reduced graphene oxide by thermal decomposition. Chinese Journal of Inorganic Chemistry, 2024, 40(9): 1708-1718. doi: 10.11862/CJIC.20240067

    20. [20]

      Yuhang ZhangYi LiYuehan CaoYingjie ShuaiYu ZhouYing Zhou . Regulating the formation type by Ir of intermediates to suppress product overoxidation in photocatalytic methane conversion. Acta Physico-Chimica Sinica, 2026, 42(2): 100173-0. doi: 10.1016/j.actphy.2025.100173

Metrics
  • PDF Downloads(12)
  • Abstract views(1854)
  • HTML views(468)

通讯作者: 陈斌, bchen63@163.com
  • 1. 

    沈阳化工大学材料科学与工程学院 沈阳 110142

  1. 本站搜索
  2. 百度学术搜索
  3. 万方数据库搜索
  4. CNKI搜索
Address:Zhongguancun North First Street 2,100190 Beijing, PR China Tel: +86-010-82449177-888
Powered By info@rhhz.net

/

DownLoad:  Full-Size Img  PowerPoint
Return