Citation:
Tang Xiaoxiao, Xing Rang, Cao Baoxue, Wang Xuefei, Tian Zhiyang. Investigation of Multicomponents of Iron(Ⅲ) Complexes with Tiron by Non-Negative Matrix Factorization[J]. Chemistry,
;2019, 82(3): 280-283.
-
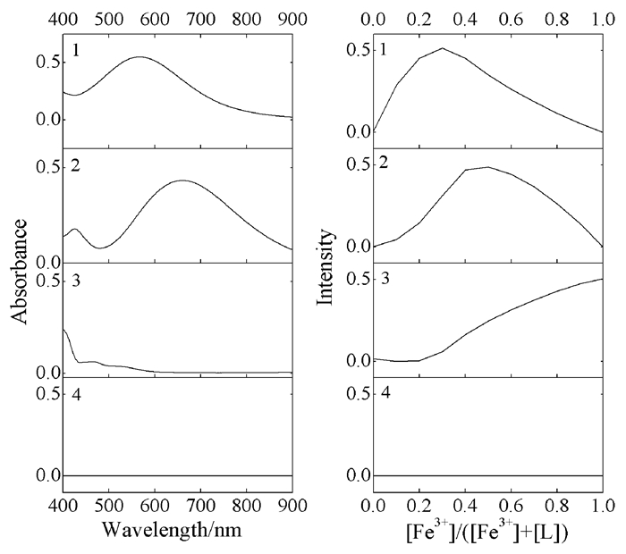
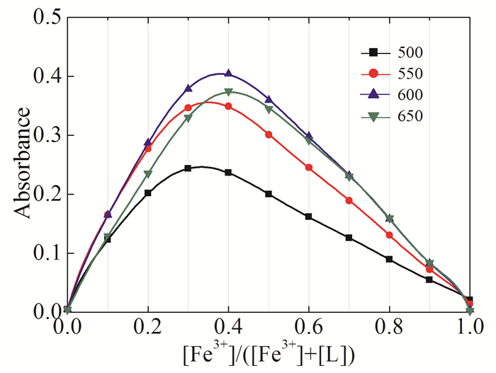
The coordination number and dissociation constant measurement of complex consisting of Iron(Ⅲ) and 4, 5-Dihydroxy-1, 3-benzenedisulfonic acid disodium salt (Tiron) has been widely employed as a teaching experiment in university. However, with varying of the ratio of iron(Ⅲ) and Tiron a distinct absorption peak shifts have been observed, indicating the non-unique complex in solution. Non-negative matrix factorization was applied to analyses the spectra data, and the characteristic spectrum and coordination number of each component were obtained. The results showed the coexistence of mono-and bis-tiron complexes of Iron(Ⅲ) in the solution, and this does challenge the rationality of this system as a teaching experiment because the coordination number should be positive integer according to the text book.
-
Keywords:
- Iron(Ⅲ),
- Tiron,
- Coordination number,
- Non-negative matrix factorization
-
-
-
-
[1]
Peiran ZHAO , Yuqian LIU , Cheng HE , Chunying DUAN . A functionalized Eu3+ metal-organic framework for selective fluorescent detection of pyrene. Chinese Journal of Inorganic Chemistry, 2024, 40(4): 713-724. doi: 10.11862/CJIC.20230355
-
[2]
Xuyang Wang , Jiapei Zhang , Lirui Zhao , Xiaowen Xu , Guizheng Zou , Bin Zhang . Theoretical Study on the Structure and Stability of Copper-Ammonia Coordination Ions. University Chemistry, 2024, 39(3): 384-389. doi: 10.3866/PKU.DXHX202309065
-
[3]
Wenke ZHENG , Ce LIU , Wei CHEN , Hongshan KE , Fanlong ZENG , Yibo LEI , Anyang LI , Wenyuan WANG . Synthesis and bonding analysis of low-coordinate Fe and Cr complexes with ultra-bulky silylamino groups. Chinese Journal of Inorganic Chemistry, 2025, 41(7): 1285-1293. doi: 10.11862/CJIC.20250095
-
[4]
Ling WANG , Weipeng YAN , Zhuoyi ZHENG , Sihan ZHU , Mingxian GONG , Xiangyu MA . Fabrication of biochar-supported nano zero-valent iron and its high-efficiency performance for Cr(Ⅵ) removal from wastewater. Chinese Journal of Inorganic Chemistry, 2025, 41(12): 2441-2454. doi: 10.11862/CJIC.20250264
-
[5]
Ruiqing LIU , Wenxiu LIU , Kun XIE , Yiran LIU , Hui CHENG , Xiaoyu WANG , Chenxu TIAN , Xiujing LIN , Xiaomiao FENG . Three-dimensional porous titanium nitride as a highly efficient sulfur host. Chinese Journal of Inorganic Chemistry, 2024, 40(5): 867-876. doi: 10.11862/CJIC.20230441
-
[6]
Yuyao Wang , Zhitao Cao , Zeyu Du , Xinxin Cao , Shuquan Liang . Research Progress of Iron-based Polyanionic Cathode Materials for Sodium-Ion Batteries. Acta Physico-Chimica Sinica, 2025, 41(4): 100035-0. doi: 10.3866/PKU.WHXB202406014
-
[7]
Yuanpei ZHANG , Jiahong WANG , Jinming HUANG , Zhi HU . Preparation of magnetic mesoporous carbon loaded nano zero-valent iron for removal of Cr(Ⅲ) organic complexes from high-salt wastewater. Chinese Journal of Inorganic Chemistry, 2024, 40(9): 1731-1742. doi: 10.11862/CJIC.20240077
-
[8]
Xinxin YU , Yongxing LIU , Xiaohong YI , Miao CHANG , Fei WANG , Peng WANG , Chongchen WANG . Photocatalytic peroxydisulfate activation for degrading organic pollutants over the zero-valent iron recovered from subway tunnels. Chinese Journal of Inorganic Chemistry, 2025, 41(5): 864-876. doi: 10.11862/CJIC.20240438
-
[9]
Rui Li , Huan Liu , Yinan Jiao , Shengjian Qin , Jie Meng , Jiayu Song , Rongrong Yan , Hang Su , Hengbin Chen , Zixuan Shang , Jinjin Zhao . Emerging Irreversible and Reversible Ion Migrations in Perovskites. Acta Physico-Chimica Sinica, 2024, 40(11): 2311011-0. doi: 10.3866/PKU.WHXB202311011
-
[10]
Hong LI , Xiaoying DING , Cihang LIU , Jinghan ZHANG , Yanying RAO . Detection of iron and copper ions based on gold nanorod etching colorimetry. Chinese Journal of Inorganic Chemistry, 2024, 40(5): 953-962. doi: 10.11862/CJIC.20230370
-
[11]
Yameen Ahmed , Xiangxiang Feng , Yuanji Gao , Yang Ding , Caoyu Long , Mustafa Haider , Hengyue Li , Zhuan Li , Shicheng Huang , Makhsud I. Saidaminov , Junliang Yang . Interface Modification by Ionic Liquid for Efficient and Stable FAPbI3 Perovskite Solar Cells. Acta Physico-Chimica Sinica, 2024, 40(6): 2303057-0. doi: 10.3866/PKU.WHXB202303057
-
[12]
Jinfeng Chu , Yicheng Wang , Ji Qi , Yulin Liu , Yan Li , Lan Jin , Lei He , Yufei Song . Comprehensive Chemical Experiment Design: Convenient Preparation and Characterization of an Oxygen-Bridged Trinuclear Iron(III) Complex. University Chemistry, 2024, 39(7): 299-306. doi: 10.3866/PKU.DXHX202310105
-
[13]
Li'na ZHONG , Jingling CHEN , Qinghua ZHAO . Synthesis of multi-responsive carbon quantum dots from green carbon sources for detection of iron ions and L-ascorbic acid. Chinese Journal of Inorganic Chemistry, 2025, 41(4): 709-718. doi: 10.11862/CJIC.20240280
-
[14]
Ming Li , Zhaoyin Li , Mengzhu Liu , Shaoxiang Luo . Unveiling the Artistry of Mordant Dyeing: The Coordination Chemistry Beneath. University Chemistry, 2024, 39(5): 258-265. doi: 10.3866/PKU.DXHX202311085
-
[15]
Quanguo Zhai , Peng Zhang , Wenyu Yuan , Ying Wang , Shu'ni Li , Mancheng Hu , Shengli Gao . Reconstructing the “Fundamentals of Coordination Chemistry” in Inorganic Chemistry Course. University Chemistry, 2024, 39(11): 117-130. doi: 10.12461/PKU.DXHX202403065
-
[16]
Zhi Zhou , Yu-E Lian , Yuqing Li , Hui Gao , Wei Yi . New Insights into the Molecular Mechanism Behind Clinical Tragedies of “Cephalosporin with Alcohol”. University Chemistry, 2025, 40(3): 42-51. doi: 10.12461/PKU.DXHX202403104
-
[17]
Wen Jiang , Jieli Lin , Zhongshu Li . 低配位含磷官能团的研究进展. University Chemistry, 2025, 40(8): 138-151. doi: 10.12461/PKU.DXHX202409144
-
[18]
Qingcui Yang , Wen Liu , Li Cao , Chen Tang , Bing Xu , Jie Zhao . For Entropy Hurts: Life Thrives on Negative Entropy. University Chemistry, 2024, 39(9): 151-156. doi: 10.12461/PKU.DXHX202402029
-
[19]
Yahui HAN , Jinjin ZHAO , Ning REN , Jianjun ZHANG . Synthesis, crystal structure, thermal decomposition mechanism, and fluorescence properties of benzoic acid and 4-hydroxy-2, 2′: 6′, 2″-terpyridine lanthanide complexes. Chinese Journal of Inorganic Chemistry, 2025, 41(5): 969-982. doi: 10.11862/CJIC.20240395
-
[20]
Chengtian Liang , Boyuan Zheng , Ning Fang . 第38届中国化学奥林匹克(初赛)配位化学试题解析. University Chemistry, 2025, 40(8): 394-400. doi: 10.12461/PKU.DXHX202410054
-
[1]
Metrics
- PDF Downloads(23)
- Abstract views(2865)
- HTML views(967)
Login In
DownLoad: