Citation: LIU Min, WANG Yong-gang, ZHAO Peng, QU Si-jian, CHEN Gui-feng. Molecular characterization of sulfur and nitrogen compounds in THF extract of Baishihu lignite[J]. Journal of Fuel Chemistry and Technology, ;2019, 47(3): 257-262. shu

Molecular characterization of sulfur and nitrogen compounds in THF extract of Baishihu lignite

  • Corresponding author: LIU Min, 78562115@qq.com
  • Received Date: 19 October 2018
    Revised Date: 2 December 2018

    Fund Project: This project was supported by the Beijing Natural Science Foundation (BJNSF2182090) and Science and Technology Innovation Fund of China Coal Research Institute(2017JC01)the Beijing Natural Science Foundation BJNSF2182090Science and Technology Innovation Fund of China Coal Research Institute 2017JC01

Figures(6)

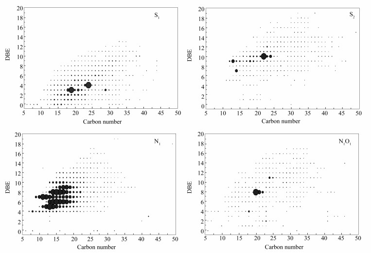
  • Baishihu lignite was subjected to Soxhlet extraction by tetrahydrofuran (THF). The extract was reacted with iodomethane in the presence of silver tetrafluoroborate and converted to methylsulfonium salts. The methylsulfonium salts and nitrogen compounds were characterized by electrospray ionization (ESI) and Fourier transform ion cyclotron resonance mass spectrometry (FT-ICR MS). Combined with sulfur and nitrogen chemiluminescence detectors (GC-SCD and GC-NCD), the forms of sulfur and nitrogen compounds in THF extracts were studied. The results showed that S1, S2, N1 and N1O1 class species were identified in THF extract. The sulfur and nitrogen compounds were mostly dibenzothiophene and carbazole compounds.
  • 加载中
    1. [1]

      SHU Ge-ping, SHI Shi-dong, LI Ke-jian. Direct Coal Liquefaction[M]. Beijing:Coal Industry Press, 2003.

    2. [2]

      SHI Shi-dong. Engineering Basis of Coal Hydro-Liquefaction[M]. Beijing:Chemical Industry Press, 2003.

    3. [3]

      HAENEL M W. Recent progress in coal structure research[J]. Fuel, 1992,71(11):1211-1223. doi: 10.1016/0016-2361(92)90046-Q

    4. [4]

      LIU Min, SHI Shi-dong, QU Si-Jian, LIU Li-lin, SHENG Ming, MAO Xue-feng. Progress in theoretical research on reaction mechanism of coal direct liquefaction[J]. Clean Coal Technol, 2015,21(4):49-54.  

    5. [5]

      NEAVEL R. Liquefaction of coal in hydrogen-donor and non-donor vehicles[J]. Fuel, 1976,55(3):237-242.  

    6. [6]

      JIA Wei. Effect of small molecular compounds in coal on rapid liquefaction of coal at high temperature[D]. Shanxi: Taiyuan University of Technology, 2010.

    7. [7]

      NI H X, YAN L L, MA C, SHI Q. Molecular composition of soxhlet n-methyl-2-pyrrolidinone extracts from a lignite[J]. Energy Fuels, 2016,30(11):9285-9292. doi: 10.1021/acs.energyfuels.6b01990

    8. [8]

      ⅡON M, TAKANOHASHI T, OHSUGA H. Extraction of coals with CS2-N-methyl-2-pyrrolidinone mixed solvent at room temperature[J]. Fuel, 1988,67(12):1639-1647. doi: 10.1016/0016-2361(88)90208-6

    9. [9]

      MATHEWS J P, BURGESS C, PAINTER P. Interactions of illinois No.6 bituminous coal with solvents:A review of solvent swelling and extraction literature[J]. Energy Fuels, 2015,29(3):1279-1294. doi: 10.1021/ef502548x

    10. [10]

      FACRIS L, FLORES J. Sorption of heavy metals on a coal beneficiation tailing material:Ⅱ.Adsorptive particulate flotation[J]. Coal Prep, 2002,22(5):234-248.  

    11. [11]

      TAKANOHASHI T, OHKAW T, YANAGIDA T. Effect of maceral composition on the extraction of bituminous coals with carbon disulphide-n-methyl-2-pyrridinone mixed solvent at room temperature[J]. Fuel, 1993,72(1):51-55.  

    12. [12]

      CAI M, SMART R. Quantitative analysis of N-methyl-2-pyroolidinone in coal extracts by TGA-FTIR[J]. Energy Fuels, 1993,7(1):52-56. doi: 10.1021/ef00037a010

    13. [13]

      GAO H, NOMURA M, SATORU M A. Statistical distribution characteristics of pyridine transport in coal particles and a series of new phenomenological models for overshoot and nonovershoot solvent swelling of coal particles[J]. Energy Fuel, 1999,13(2):518-528. doi: 10.1021/ef980210l

    14. [14]

      CHEN Chong, GAO Jin-sheng, YAN Jie. Study on Extraction of coal with cyclohexanone[J]. J Fuel Chem Technol, 1997,25(1):60-64.  

    15. [15]

      LIY F, WEI X Y, GUI J, WANG Y G, LI P, ZONG Z M. Characterization of biomarkers and structural features of condensed aromatics in xianfeng lignite[J]. Energy Fuels, 2013,27(12):7369-7378. doi: 10.1021/ef402027g

    16. [16]

      RANMAN M, SAMANTA A, GUPTA R. Production and characterization of ash-free coal from low-Rank canadian coal by solvent extraction[J]. Fuel Process Technol, 2013,115(11):88-98.  

    17. [17]

      STOCK L M, OBENG M. Oxidation and carboxylation:a reaction sequence for the study of aromatic structural elements in pocahontas no.3 coal[J]. Energy Fuels, 1997,11(5):987-997. doi: 10.1021/ef960229t

    18. [18]

      SHI Quan, ZHAO Suo-qi, XU Chun-ming, Hou Du-jie. Application of fourier transform ion cyclotron resonance mass spectrometer in petroleum composition analysis[J]. J Mass Spectr, 2008,29(6):367-378.  

    19. [19]

      WU Z, RODEGERS R P, MARSHALL A G. Compositional determination of acidic species in illinois no. 6 coal extracts by electrospray ionization fourier transform ion cyclotron resonance mass spectrometry[J]. Energy Fuels, 2004,18(5):1424-1428. doi: 10.1021/ef049933x

    20. [20]

      WU Z, RODGERS R P, MARSHALL A G. Two-and three-dimensional van krevelen diagrams:A graphical analysis complementary to the kendrick mass plot for sorting elemental compositions of complex organic mixtures based on ultrahigh-resolution broadband fourier transform ion cyclotron resonance mass measurements[J]. Anal Chem, 2004,76(9):2511-2516. doi: 10.1021/ac0355449

    21. [21]

      SHI Q, PAN N, LONG H, CUI D, GUO X, LONG Y, CHUNG K H, ZHAO S, XU C, HSU C S. Characterization of middle-temperature gasification coal tar. part 3:Molecular composition of acidic compounds[J]. Energy Fuels, 2013,27(1):108-117. doi: 10.1021/ef301431y

    22. [22]

      KONG J, WEI X Y, YA H L, LI Z K, ZHAO M X, LI Y, ZONG Z M. Analysis of extractable basic nitrogen compounds in buliangou subbituminous coal by positive-ion ESI FT-ICR MS[J]. Fuel, 2015,159:385-391. doi: 10.1016/j.fuel.2015.06.091

    23. [23]

      SHI Q, HOU D, CHUNG K H, XU C, ZHAO S, ZHANG Y. Characterization of heteroatom compounds in a crude oil and its saturates, aromatics, resins and asphaltenes (sara) and non-basic nitrogen fractions analyzed by negative-ion electrospray ionization fourier transform ion cyclotron resonance mass spectrometry[J]. Energy Fuels, 2010,24(4):2545-2553. doi: 10.1021/ef901564e

    24. [24]

      BRADLEY C, SCHILLER D J. Determination of sulfur compound distribution in petroleum by gas chromatography with a flame photometric detector[J]. Anal Chem, 1986,58(14):3017-3021. doi: 10.1021/ac00127a026

    25. [25]

      GARCIA C L, BECCHI M, GRENIER M F, PAISSE O, SZYMANSKIT R. Analysis of aromatic sulfur compounds in gas oils using gc with sulfur chemiluminescence detection and high-resolution ms[J]. Anal Chem, 2002,74(15):3849-3857. doi: 10.1021/ac011190e

    26. [26]

      CHAWLA B, SANZO F D. Determination of sulfur components in light petroleum streams by high-resolution gas chromatography with chemiluminescence detection[J]. J Chromatography, 1992,589(1/2):271-279.  

    27. [27]

      SHI Q, XU C, ZHAO S, CHUNG K H, ZHANG Y. Characterization of basic nitrogen species in coker gas oils by positive-ion electrospray ionization fourier transform ion cyclotron resonance mass spectrom[J]. Energy Fuels, 2009,24(1):563-569.  

    28. [28]

      LIU P, SHI Q, CHUNG K H, ZHANG Y, PAN N. Molecular characterization of sulfur compounds in venezuela crude oil and its sara fractions by electrospray ionization fourier transform ion cyclotron resonance mass spectrom[J]. Energy Fuels, 2010,24(9):5089-5096. doi: 10.1021/ef100904k

    29. [29]

      WU Mei, SHI Jun-ge, TIAN Song-bai. Analysis of elemental sulfur in gasoline by GC-SCD[J]. Acta Pet Sin(Pet Process Sect), 2008,33(2):320-325.  

    30. [30]

      HUANG Peng, ZHANG Xiao-jing, MAO Xue-feng, LI Wei-ling. Distribution of sulfur and nitrogen compounds in shenfu coal liquefied oil hydrorefining process[J]. J Fuel Chem Technol, 2015,43(12):37-43.  

    31. [31]

      LI Yan-hong. Study on the existence and distribution of nitrogen-containing compounds in coal liquefied oil[D]. Shanghai: East China University of Science and Technology, 2014.

  • 加载中
    1. [1]

      Zhanxiang Liu Chengshan Yuan Jie Han Shuanglian Cai Qihan Zhang Lin Wu Yuan Zheng Xingwen Sun Qingwen Liu Ying Xiong Guangao Yu Xin Du Houjin Li Jianrong Zhang Shuyong Zhang . Recommendations for Basic Operations and Standards for Organic Chemical Extraction and Washing Experiments. University Chemistry, 2025, 40(5): 55-65. doi: 10.12461/PKU.DXHX202410039

    2. [2]

      Lihui Jiang Wanrong Dong Hua Yang Yongqing Xia Hongjian Peng Jun Yuan Xiaoqian Hu Zihan Zeng Yingping Zou Yiming Luo . Study on Extraction of p-Hydroxyacetophenone. University Chemistry, 2024, 39(11): 259-268. doi: 10.12461/PKU.DXHX202402056

    3. [3]

      Jiahong ZHENGJiajun SHENXin BAI . Preparation and electrochemical properties of nickel foam loaded NiMoO4/NiMoS4 composites. Chinese Journal of Inorganic Chemistry, 2024, 40(3): 581-590. doi: 10.11862/CJIC.20230253

    4. [4]

      Mingyang MenJinghua WuGaozhan LiuJing ZhangNini ZhangXiayin Yao . Sulfide Solid Electrolyte Synthesized by Liquid Phase Approach and Application in All-Solid-State Lithium Batteries. Acta Physico-Chimica Sinica, 2025, 41(1): 100004-0. doi: 10.3866/PKU.WHXB202309019

    5. [5]

      Qiangqiang SUNPengcheng ZHAORuoyu WUBaoyue CAO . Multistage microporous bifunctional catalyst constructed by P-doped nickel-based sulfide ultra-thin nanosheets for energy-efficient hydrogen production from water electrolysis. Chinese Journal of Inorganic Chemistry, 2024, 40(6): 1151-1161. doi: 10.11862/CJIC.20230454

    6. [6]

      Zhicheng JUWenxuan FUBaoyan WANGAo LUOJiangmin JIANGYueli SHIYongli CUI . MOF-derived nickel-cobalt bimetallic sulfide microspheres coated by carbon: Preparation and long cycling performance for sodium storage. Chinese Journal of Inorganic Chemistry, 2025, 41(4): 661-674. doi: 10.11862/CJIC.20240363

    7. [7]

      Xinwan ZhaoYue CaoMinjun LeiZhiliang JinTsubaki Noritatsu . Constructing S-scheme heterojunctions by integrating covalent organic frameworks with transition metal sulfides for efficient noble-metal-free photocatalytic hydrogen evolution. Acta Physico-Chimica Sinica, 2025, 41(12): 100152-0. doi: 10.1016/j.actphy.2025.100152

    8. [8]

      Yajuan ZhangJinliang LiXi ZhangYue LiPeng SunHao XuLikun Pan . Mitigate pressure dependence in sulfide-based all-solid-state batteries via structural and interfacial engineering of Ni-rich cathodes. Acta Physico-Chimica Sinica, 2026, 42(4): 100204-0. doi: 10.1016/j.actphy.2025.100204

    9. [9]

      Hao Wu Zhen Liu Dachang Bai1H NMR Spectrum of Amide Compounds. University Chemistry, 2024, 39(3): 231-238. doi: 10.3866/PKU.DXHX202309020

    10. [10]

      Siwei Hou Yaxin Niu Guanglu Zhang Yanmei Yang Xu Wang Zhenzhen Chen . Application of Solid-Phase Microextraction and Mass Spectrometry in Environmental Detection. University Chemistry, 2026, 41(3): 297-306. doi: 10.12461/PKU.DXHX202504078

    11. [11]

      Yanhui Zhong Ran Wang Zian Lin . Analysis of Halogenated Quinone Compounds in Environmental Water by Dispersive Solid-Phase Extraction with Liquid Chromatography-Triple Quadrupole Mass Spectrometry. University Chemistry, 2024, 39(11): 296-303. doi: 10.12461/PKU.DXHX202402017

    12. [12]

      Yao XieShuangjun LiChao ChenSiyu FanYing TaoQitao Zhang . Ionic polarization engineering of polymeric carbon nitride toward efficient H2O2 photosynthesis. Acta Physico-Chimica Sinica, 2026, 42(5): 100183-0. doi: 10.1016/j.actphy.2025.100183

    13. [13]

      Zhuoming Liang Ming Chen Zhiwen Zheng Kai Chen . Multidimensional Studies on Ketone-Enol Tautomerism of 1,3-Diketones By 1H NMR. University Chemistry, 2024, 39(7): 361-367. doi: 10.3866/PKU.DXHX202311029

    14. [14]

      Yongjian Zhang Fangling Gao Hong Yan Keyin Ye . Electrochemical Transformation of Organosulfur Compounds. University Chemistry, 2025, 40(5): 311-317. doi: 10.12461/PKU.DXHX202407035

    15. [15]

      Zunxiang Zeng Yuling Hu Yufei Hu Hua Xiao . Analysis of Plant Essential Oils by Supercritical CO2Extraction with Gas Chromatography-Mass Spectrometry: An Instrumental Analysis Comprehensive Experiment Teaching Reform. University Chemistry, 2024, 39(3): 274-282. doi: 10.3866/PKU.DXHX202309069

    16. [16]

      Zian Lin Yingxue Jin . Matrix-Assisted Laser Desorption/Ionization Mass Spectrometry (MALDI-MS) for Disease Marker Screening and Identification: A Comprehensive Experiment Teaching Reform in Instrumental Analysis. University Chemistry, 2024, 39(11): 327-334. doi: 10.12461/PKU.DXHX202403066

    17. [17]

      Jian CaoChang LiuDanling WangHaichao LiLina XuHongping XiaoShaoqi ZhanXiao HeGuoyong Fang . Machine learning potentials for property predictions of two-dimensional group-Ⅲ nitrides. Acta Physico-Chimica Sinica, 2026, 42(4): 100224-0. doi: 10.1016/j.actphy.2025.100224

    18. [18]

      Fanpeng MengFei ZhaoJingkai LinJinsheng ZhaoHuayang ZhangShaobin Wang . Optimizing interfacial electric fields in carbon nitride nanosheet/spherical conjugated polymer S-scheme heterojunction for hydrogen evolution. Acta Physico-Chimica Sinica, 2025, 41(8): 100095-0. doi: 10.1016/j.actphy.2025.100095

    19. [19]

      Yan KongWei WeiLekai XuChen Chen . Electrochemical Synthesis of Organonitrogen Compounds from N-integrated CO2 Reduction Reaction. Acta Physico-Chimica Sinica, 2024, 40(8): 2307049-0. doi: 10.3866/PKU.WHXB202307049

    20. [20]

      Linjie Wang Zhao Wei Ming Gao Xiaohui Zheng Xinghai Hao . Item Development in the Context of Academic Exploration: Materials, Key Considerations, and Suggestions: A Case Study on the Research and Development of Polynitrogen Compounds. University Chemistry, 2026, 41(2): 411-419. doi: 10.12461/PKU.DXHX202503033

Metrics
  • PDF Downloads(10)
  • Abstract views(1581)
  • HTML views(254)

通讯作者: 陈斌, bchen63@163.com
  • 1. 

    沈阳化工大学材料科学与工程学院 沈阳 110142

  1. 本站搜索
  2. 百度学术搜索
  3. 万方数据库搜索
  4. CNKI搜索
Address:Zhongguancun North First Street 2,100190 Beijing, PR China Tel: +86-010-82449177-888
Powered By info@rhhz.net

/

DownLoad:  Full-Size Img  PowerPoint
Return