Citation: Bin Liu, Xiaona Xu, Zhoujing Zhu, Hongjuan Tong, Yanmin Zhang, Wenqiang Tang. Synthesis, Crystal Structure and Antitumor Activity of N-(2, 6-Dichloro-4-(1, 2, 4-oxadiazol-3-yl)phenyl)-2-methoxynicotinamide[J]. Chemistry, ;2021, 84(4): 383-387, 399. shu

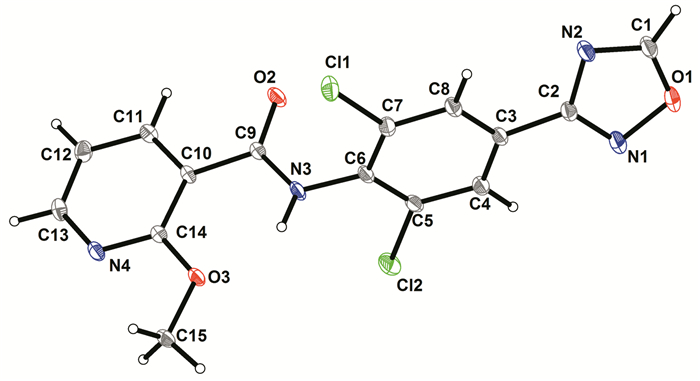
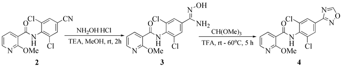
Synthesis, Crystal Structure and Antitumor Activity of N-(2, 6-Dichloro-4-(1, 2, 4-oxadiazol-3-yl)phenyl)-2-methoxynicotinamide

  • Corresponding author: Bin Liu, lb125lb@163.com
  • Received Date: 15 August 2020
    Accepted Date: 10 November 2020

Figures(4)

Metrics
  • PDF Downloads(3)
  • Abstract views(507)
  • HTML views(29)

通讯作者: 陈斌, bchen63@163.com
  • 1. 

    沈阳化工大学材料科学与工程学院 沈阳 110142

  1. 本站搜索
  2. 百度学术搜索
  3. 万方数据库搜索
  4. CNKI搜索
Address:Zhongguancun North First Street 2,100190 Beijing, PR China Tel: +86-010-82449177-888
Powered By info@rhhz.net

/

DownLoad:  Full-Size Img  PowerPoint
Return