Citation: Cao Shasha, Tan Jinqiang, Wu Chonggang. Catalytic Properties of Supported Pd Catalysts for the Heck Cross-Coupling Reactions[J]. Chemistry, ;2019, 82(8): 684-695. shu

Catalytic Properties of Supported Pd Catalysts for the Heck Cross-Coupling Reactions

  • Corresponding author: Wu Chonggang, cgwu@mail.hbut.edu.cn
  • Received Date: 12 December 2018
    Accepted Date: 20 May 2019

Figures(10)

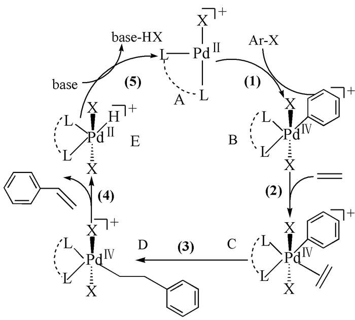
  • Owing to their high catalytic activity as well as stereoselectivity, Pd catalysts have been widely applied to the Heck cross-coupling reactions usually according to a catalytic mechanism comprising four sequential steps of oxidative addition of Pd(0), addition, β-H elimination, and reductive elimination. For ceramic, organic polymer, and organic-inorganic composite supported Pd catalysts, a rise in the Pd concentration increases its catalytic surface area; an enhancement of the Pd-support adsorption, a decrease in the size and an increase in the surface structure of the support raise the Pd degree of dispersion, an increase in the unsaturated coordination sites (UCSs) of the Pd accelerates its coordination with the reaction substrate to form an intermediate; an improvement in the degree of swelling of the support by the solvent expands the effective contact area between the Pd and the reaction substrate; and increases in the basicity and dosage of the base facilitate the Pd regeneration in the catalytic cycle, all of which enhance the catalytic activity of the Pd. Nevertheless, as the reaction temperature is raised steadily, the Pd catalytic activity usually increases first, going through a maximum at an optimum temperature, and then turns to decrease due to too significant thermal aggregation of the Pd. It has been one of the trends in the Heck reactions to develop supported Pd catalysts of clear catalytic mechanism, high catalytic activity, strong stereoselectivity, and satisfactory reusability.
  • 加载中
    1. [1]

       

    2. [2]

      N Miyaura, K Yamada, A Suzuki. Tetrahed. Lett., 1979, 20(36):3437~3440. 

    3. [3]

      N Miyaura, A Suzuki. Chem. Commun., 1979, (19):866~867. 

    4. [4]

      R F Heck, D S Breslow. J. Am. Chem. Soc., 1961, 83(19):4023~4027. 

    5. [5]

      R F Heck, J P Nolley. J. Org. Chem., 1972, 37(14):2320~2322. 

    6. [6]

      K Sonogashira, Y Tohda, N Hagihara. Tetrahed. Lett., 1975, 16(50):4467~4470. 

    7. [7]

      S Takahashi, Y Kuroyama, K Sonogashira et al. Synthesis, 1980, 1980(8):627~630. 

    8. [8]

      K Tamao, K Sumitani, M Kumada. J. Am. Chem. Soc., 1972, 94(12):4374~4376. 

    9. [9]

      T Hayashi, M Konishi, M Kumada. Tetrahed. Lett., 1979, 20(21):1871~1874. 

    10. [10]

      S Baba, E Negishi. J. Am. Chem. Soc., 1976, 98(21):6729~6731. 

    11. [11]

      A O King, E Negishi, F J Villani Jr. et al. J. Org. Chem., 1978, 43(2):358~360. 

    12. [12]

      D Milstein, J K Stille. J. Am. Chem. Soc., 1978, 100(11):3636~3638. 

    13. [13]

      T Hiyama, Y Hatanaka. Pure Appl. Chem., 1994, 66(7):1471~1478. 

    14. [14]

      K Gouda, E Hagiwara, Y Hatanaka et al. J. Org. Chem., 1996, 61(21):7232~7233. 

    15. [15]

    16. [16]

      R F Heck. J. Am. Chem. Soc., 1968, 90(20):5518~5526. 

    17. [17]

      T Mizoroki, K Mori, A Ozaki. Bull. Chem. Soc. Jpn., 1971, 44(2):581. 

    18. [18]

      A Schoenberg, I Bartoletti, R F Heck. J. Org. Chem., 1974, 39(23):3318~3326. 

    19. [19]

      A Schoenberg, R F Heck. J. Am. Chem. Soc., 1974, 96(25):7761~7764. 

    20. [20]

      R P Hsung, J R Babcock, C E D Chidsey et al. Tetrahed. Lett., 1995, 36(26):4525~4528. 

    21. [21]

      K Sonogashira. J. Organomet. Chem., 2002, 653(1):46~49. 

    22. [22]

      V Caló, A Nacci, A Monopoli et al. J. Org. Chem., 2003, 68(7):2929~2933. 

    23. [23]

      H Zheng, Y Zhu, Y Shi. Angew. Chem. Int. Ed., 2014, 53(42):11280~11284. 

    24. [24]

      E David, J Lejeune, S Pellet-Rostaing et al. Tetrahed. Lett., 2008, 49(11):1860~1864. 

    25. [25]

      C Torborg, M Beller. Adv. Synth. Catal., 2009, 351(18):3027~3043. 

    26. [26]

      J G de Vries. Can. J. Chem., 2001, 79(5-6):1086~1092. 

    27. [27]

       

    28. [28]

      M Ohff, A Ohff, M E van der Boom et al. J. Am. Chem. Soc., 1997, 119(48):11687~11688. 

    29. [29]

      A F Littke, G C Fu. J. Org. Chem., 1999, 64(1):10~11. 

    30. [30]

      M Feuerstein, H Doucet, M Santelli. J. Org. Chem., 2001, 66(17):5923~5925. 

    31. [31]

      J Hu, Y Lu, Y Li et al. Chem. Commun., 2013, 49(82):9425~9427. 

    32. [32]

      C S Consorti, M L Zanini, S Leal et al. Org. Lett., 2003, 5(7):983~986. 

    33. [33]

      T Mino, Y Shirae, Y Sasai et al. J. Org. Chem., 2006, 71(18):6834~6839. 

    34. [34]

      T Kawano, T Shinomaru, I Ueda. Org. Lett., 2002, 4(15):2545~2547. 

    35. [35]

      A S Gruber, D Zim, G Ebeling et al. Org. Lett., 2000, 2(9):1287~1290. 

    36. [36]

      W A Herrmann, C P Reisinger, M Spiegler. J. Organomet. Chem., 1998, 557(1):93~96. 

    37. [37]

      K Selvakumar, A Zapf, M Beller. Org. Lett., 2002, 4(18):3031~3033. 

    38. [38]

      B Karimi, D Enders. Org. Lett., 2006, 8(6):1237~1240. 

    39. [39]

      A B Dounay, L E Overman. Chem. Rev., 2003, 103(8):2945~2964. 

    40. [40]

      A Sundermann, O Uzan, J M Martin. Chem. Eur. J., 2001, 7(8):1703~1711. 

    41. [41]

      H Hagiwara, Y Shimizu, T Hoshi et al. Tetrahed. Lett., 2001, 42(26):4349~4351. 

    42. [42]

       

    43. [43]

       

    44. [44]

      P Serp, M Corrias, P Kalck. Appl. Catal. A, 2003, 253(2):337~358. 

    45. [45]

       

    46. [46]

      L Wang, L Zhu, N Bing, et al. J. Phys. Chem. Solids, 2017, 107:125~130. 

    47. [47]

      X W Guo, C H Hao, C Y Wang et al. Catal. Sci. Technol., 2016, 6(21):7738~7743. 

    48. [48]

      K P de Jong, J W Geus. Catal. Rev., 2000, 42(4):481~510. 

    49. [49]

      J Zhu, J Zhou, T Zhao et al. Appl. Catal. A, 2009, 352(1):243~250. 

    50. [50]

      S J Guo, J Bai, H O Liang et al. Chin. Chem. Lett., 2016, 27(3):459~463. 

    51. [51]

      P Wang, G Zhang, H Jiao et al. Appl. Catal. A, 2015, 489:188~192. 

    52. [52]

      M Tanhaei, A Mahjoub, R Nejat. Catal. Lett., 2018, 148(11):1549~1561. 

    53. [53]

      R S Varma. Tetrahedron, 2002, 58(7):1235~1255. 

    54. [54]

      B M Choudary, R M Sarma, K K Rao. Tetrahedron, 1992, 48(4):719~726. 

    55. [55]

       

    56. [56]

       

    57. [57]

      C P Mehnert, D W Weaver, J Y Ying. J. Am. Chem. Soc., 1998, 120(47):12289~12296. 

    58. [58]

    59. [59]

      X Ma, Y Zhou, J Zhang et al. Green Chem., 2008, 10(1):59~66. 

    60. [60]

      L Djakovitch, K Koehler. J. Am. Chem. Soc., 2001, 123(25):5990~5999. 

    61. [61]

       

    62. [62]

      P D Stevens, G Li, J Fan et al. Chem. Commun., 2005, (35):4435~4437. 

    63. [63]

      J Yang, D Wang, W Liu et al. Green Chem., 2013, 15(12):3429~3437. 

    64. [64]

      M Ma, Q Zhang, D Yin et al. Catal. Commun., 2012, 17:168~172. 

    65. [65]

      A S Singh, U B Patil, J M Nagarkar. Catal. Commun., 2013, 35:11~16. 

    66. [66]

      S S Soni, D A Kotadia. Catal. Sci. Technol., 2014, 4(2):510~515. 

    67. [67]

      A Ghorbani-Choghamarani, B Tahmasbi, P Moradi. RSC Adv., 2016, 6(49):43205~43216. 

    68. [68]

      M Wagner, K Köhler, L Djakovitch et al. Top. Catal., 2000, 13(3):319~326. 

    69. [69]

      M Benaglia, A Puglisi, F Cozzi. Chem. Rev., 2003, 103(9):3401~3430. 

    70. [70]

       

    71. [71]

      C Wu, X Peng, L Zhong et al. RSC Adv., 2016, 6(38):32202~32211. 

    72. [72]

       

    73. [73]

      S Fujita, T Yoshida, B M Bhanage et al. J. Mol. Catal. A, 2002, 188(1~2):37~43. 

    74. [74]

       

    75. [75]

       

    76. [76]

      V Calò, A Nacci, A Monopoli et al. Organometallics, 2004, 23(22):5154~5158. 

    77. [77]

       

    78. [78]

      A Khazaei, S Rahmati, Z Hekmatian et al. J. Mol. Catal. A:Chem., 2013, 372:160~166. 

    79. [79]

      D Astruc, F Chardac. Chem. Rev., 2001, 101(9):2991~3024. 

    80. [80]

      E H Rahim, F S Kamounah, J Frederiksen et al. Nano Lett., 2001, 1(9):499~501. 

    81. [81]

      H Alper, P Arya, S C Bourque et al. Can. J. Chem., 2000, 78(6):920~924. 

    82. [82]

       

    83. [83]

      K Qiao, R Sugimura, Q Bao et al. Catal. Commun., 2008, 9(15):2470~2474. 

    84. [84]

       

    85. [85]

      W K Oh, S Kim, O Kwon et al. J. Nanosci. Nanotechnol., 2011, 11(5):4254~4260. 

    86. [86]

      L Yu, Y Huang, Z Wei et al. J. Org. Chem., 2015, 80(17):8677~8683. 

    87. [87]

      B Karimi, M R Marefat, M Hasannia et al. ChemCatChem., 2016, 8(15):2508~2515. 

    88. [88]

      S Klingelhöfer, W Heitz, A Greiner et al. J. Am. Chem. Soc., 1997, 119(42):10116~10120. 

    89. [89]

      N Arsalani, A Akbari, M Amini et al. Catal. Lett., 2017, 147(4):1086~1094. 

    90. [90]

      N Yuan, V Pascanu, Z Huang et al. J. Am. Chem. Soc., 2018, 140(26):8206~8217. 

    91. [91]

      A Nuri, N Vucetic, J H Smått et al. Catal. Lett., 2019, 149(7):1941~1951. 

    92. [92]

      S Ghasemi, S Karim. Colloid Polym. Sci., 2018, 296(8):1323~1332. 

  • 加载中
    1. [1]

      Yingchun ZHANGYiwei SHIRuijie YANGXin WANGZhiguo SONGMin WANG . Dual ligands manganese complexes based on benzene sulfonic acid and 2, 2′-bipyridine: Structure and catalytic properties and mechanism in Mannich reaction. Chinese Journal of Inorganic Chemistry, 2024, 40(8): 1501-1510. doi: 10.11862/CJIC.20240078

    2. [2]

      Liu LinZemin SunHuatian ChenLian ZhaoMingyue SunYitao YangZhensheng LiaoXinyu WuXinxin LiCheng Tang . Recent Advances in Electrocatalytic Two-Electron Water Oxidation for Green H2O2 Production. Acta Physico-Chimica Sinica, 2024, 40(4): 2305019-0. doi: 10.3866/PKU.WHXB202305019

    3. [3]

      Haiqiang Lin Weizheng Weng Jingdong Lin Mingshu Chen Xueming Fang Lefu Yang . Diverse Variables-Driven Catalytic Optimization: Experimental Enhancement and Instructional Design for Selective Methane Oxidation on Supported Nickel-based Catalysts. University Chemistry, 2025, 40(11): 327-336. doi: 10.12461/PKU.DXHX202505106

    4. [4]

      Xueqi YangJuntao ZhaoJiawei YeDesen ZhouTingmin DiJun Zhang . 调节NNU-55(Fe)的d带中心以增强CO2吸附和光催化活性. Acta Physico-Chimica Sinica, 2025, 41(7): 100074-0. doi: 10.1016/j.actphy.2025.100074

    5. [5]

      Ziyang LongQuanzheng LiChengliang ZhangHaifeng Shi . BiVO4/WO3-x S-scheme heterojunctions with amplified internal electric field for boosting photothermal-catalytic activity. Acta Physico-Chimica Sinica, 2025, 41(10): 100122-0. doi: 10.1016/j.actphy.2025.100122

    6. [6]

      Lele FengXueying BaiJifeng PangHongchen CaoXiaoyan LiuWenhao LuoXiaofeng YangPengfei WuMingyuan Zheng . Single-atom Pd boosted Cu catalysts for ethanol dehydrogenation. Acta Physico-Chimica Sinica, 2025, 41(9): 100100-0. doi: 10.1016/j.actphy.2025.100100

    7. [7]

      Zhanggui DUANYi PEIShanshan ZHENGZhaoyang WANGYongguang WANGJunjie WANGYang HUChunxin LÜWei ZHONG . Preparation of UiO-66-NH2 supported copper catalyst and its catalytic activity on alcohol oxidation. Chinese Journal of Inorganic Chemistry, 2024, 40(3): 496-506. doi: 10.11862/CJIC.20230317

    8. [8]

      Jingkun YuXue YongAng CaoSiyu Lu . Bi-Layer Single Atom Catalysts Boosted Nitrate-to-Ammonia Electroreduction with High Activity and Selectivity. Acta Physico-Chimica Sinica, 2024, 40(6): 2307015-0. doi: 10.3866/PKU.WHXB202307015

    9. [9]

      Heng Zhang . Determination of All Rate Constants in the Enzyme Catalyzed Reactions Based on Michaelis-Menten Mechanism. University Chemistry, 2024, 39(4): 395-400. doi: 10.3866/PKU.DXHX202310047

    10. [10]

      Haodong JINQingqing LIUChaoyang SHIDanyang WEIJie YUXuhui XUMingli XU . NiCu/ZnO heterostructure photothermal electrocatalyst for efficient hydrogen evolution reaction. Chinese Journal of Inorganic Chemistry, 2025, 41(6): 1068-1082. doi: 10.11862/CJIC.20250048

    11. [11]

      Zelong LIANGShijia QINPengfei GUOHang XUBin ZHAO . Synthesis and electrocatalytic CO2 reduction performance of metal-organic framework catalysts loaded with silver particles. Chinese Journal of Inorganic Chemistry, 2025, 41(1): 165-173. doi: 10.11862/CJIC.20240409

    12. [12]

      Yuanqing WangYusong PanHongwu ZhuYanlei XiangRong HanRun HuangChao DuChengling Pan . Enhanced Catalytic Activity of Bi2WO6 for Organic Pollutants Degradation under the Synergism between Advanced Oxidative Processes and Visible Light Irradiation. Acta Physico-Chimica Sinica, 2024, 40(4): 2304050-0. doi: 10.3866/PKU.WHXB202304050

    13. [13]

      Shiqian WEIXinyu TIANHong LIUMaoxia CHENFan TANGQiang FANWeifeng FANYu HU . Oxygen reduction reaction/oxygen evolution reaction catalytic performances of different active sites on nitrogen-doped graphene loaded with iron single atoms. Chinese Journal of Inorganic Chemistry, 2025, 41(9): 1776-1788. doi: 10.11862/CJIC.20250102

    14. [14]

      Jiajie Li Xiaocong Ma Jufang Zheng Qiang Wan Xiaoshun Zhou Yahao Wang . Recent Advances in In-Situ Raman Spectroscopy for Investigating Electrocatalytic Organic Reaction Mechanisms. University Chemistry, 2025, 40(4): 261-276. doi: 10.12461/PKU.DXHX202406117

    15. [15]

      Yu WangHaiyang ShiZihan ChenFeng ChenPing WangXuefei Wang . 具有富电子Ptδ壳层的空心AgPt@Pt核壳催化剂:提升光催化H2O2生成选择性与活性. Acta Physico-Chimica Sinica, 2025, 41(7): 100081-0. doi: 10.1016/j.actphy.2025.100081

    16. [16]

      Fangxuan LiuZiyan LiuGuowei ZhouTingting GaoWenyu LiuBin Sun . 中空结构光催化剂. Acta Physico-Chimica Sinica, 2025, 41(7): 100071-0. doi: 10.1016/j.actphy.2025.100071

    17. [17]

      Hailang JIAHongcheng LIPengcheng JIYang TENGMingyun GUAN . Preparation and performance of N-doped carbon nanotubes composite Co3O4 as oxygen reduction reaction electrocatalysts. Chinese Journal of Inorganic Chemistry, 2024, 40(4): 693-700. doi: 10.11862/CJIC.20230402

    18. [18]

      Xi YANGChunxiang CHANGYingpeng XIEYang LIYuhui CHENBorao WANGLudong YIZhonghao HAN . Co-catalyst Ni3N supported Al-doped SrTiO3: Synthesis and application to hydrogen evolution from photocatalytic water splitting. Chinese Journal of Inorganic Chemistry, 2025, 41(3): 440-452. doi: 10.11862/CJIC.20240371

    19. [19]

      Mian WeiChang ChengBowen HeBei ChengKezhen QiChuanbiao Bie . Inorganic-organic CdS/YBTPy S-scheme photocatalyst for efficient hydrogen production and its mechanism. Acta Physico-Chimica Sinica, 2025, 41(12): 100158-0. doi: 10.1016/j.actphy.2025.100158

    20. [20]

      Shuang Yang Qun Wang Caiqin Miao Ziqi Geng Xinran Li Yang Li Xiaohong Wu . Ideological and Political Education Design for Research-Oriented Experimental Course of Highly Efficient Hydrogen Production from Water Electrolysis in Aerospace Perspective. University Chemistry, 2024, 39(11): 269-277. doi: 10.12461/PKU.DXHX202403044

Metrics
  • PDF Downloads(7)
  • Abstract views(755)
  • HTML views(114)

通讯作者: 陈斌, bchen63@163.com
  • 1. 

    沈阳化工大学材料科学与工程学院 沈阳 110142

  1. 本站搜索
  2. 百度学术搜索
  3. 万方数据库搜索
  4. CNKI搜索
Address:Zhongguancun North First Street 2,100190 Beijing, PR China Tel: +86-010-82449177-888
Powered By info@rhhz.net

/

DownLoad:  Full-Size Img  PowerPoint
Return