Citation: SHEN Yan-feng, WANG Mei-jun, HU Yong-feng, KONG Jiao, BAO Wei-ren, CHANG Li-ping. Effect of chemical structure and sulfur speciation of high-sulfur coking coals on sulfur transformation during pyrolysis[J]. Journal of Fuel Chemistry and Technology, ;2020, 48(2): 144-153. shu

Effect of chemical structure and sulfur speciation of high-sulfur coking coals on sulfur transformation during pyrolysis

  • Corresponding author: WANG Mei-jun, wangmeijun@tyut.edu.cn
  • Received Date: 22 November 2019
    Revised Date: 21 December 2019

    Fund Project: The project was supported by National Natural Science Foundation of China U1910201Research Project Supported by Shanxi Scholarship Council of China 2017-03The project was supported by National Natural Science Foundation of China(21878208, 21808152, U1910201), Research Project Supported by Shanxi Scholarship Council of China (2017-03) and Transformation of Scientific and Technological Achievements Programs of Higher Education Institutions in Shanxi (TSTAP)The project was supported by National Natural Science Foundation of China 21808152The project was supported by National Natural Science Foundation of China 21878208

Figures(10)

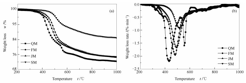
  • The chemical structure, content and distribution of sulfur forms in coal and coke of four high-sulfur coking coals were characterized by FT-IR, Raman, TG, and sulfur K-edge XANES technique, and effects on sulfur transformation during pyrolysis were also investigated. The results show that sulfur transformation behavior is related to the sulfur forms in coal as well as the release of volatile matters during pyrolysis. For lower rank coking coals, decomposition of unstable aliphatic structure releases plenty of volatiles with wider range. The interactions between sulfur radicals from cleavage of sulfur forms and hydrogen-rich radicals in volatiles promote release of sulfur into gas phase. This increases total sulfur removal and results in the higher content of thiophene in coke bulk than that on coke surface, while sulfide compounds have an opposite distribution. The degree of aromatization and relative content of thiophene increase with increasing coal rank, leading to lower desulfurization rate and unapparent difference of sulfur distribution between bulk and surface of coke. Inorganic sulfur removal is related to degree of decomposition of pyrite directly, and inter-conversions of sulfur species during pyrolysis process would generate new inorganic sulfur and retain in coke ultimately. Organic sulfur removal is determined by the coal structure and organic sulfur forms, and decreases obviously with increasing coal rank.
  • 加载中
    1. [1]

      YAO Qiu-xiang, DU Mei-li, WANG Shui-li, LIU Jing, YANG Jian-li, SHANG Hai-tao. Charateristics of sulfur forms transformation in high sulfur coal transformation[J]. Coal Convers, 2012,35(2):17-21. doi: 10.3969/j.issn.1004-4248.2012.02.004

    2. [2]

      LI Mei, YANG Jun-he, XIA Hong-bo, CHANG Hai-zhou, SUN Hui. Behavior of sulfur transformation during pyrolysis of high-sulfur coking coals[J]. Coal Convers, 2013,36(4):41-45. doi: 10.3969/j.issn.1004-4248.2013.04.010

    3. [3]

      LI Mei, YANG Jun-he, ZHANG Qi-feng, CHANG Hai-zhou, SUN Hui. XPS study on transformation of N-and S-functional groups during pyrolysis of high sulfur New Zealand coal[J]. J Fuel Chem Technol, 2013,41(11):1287-1293.  

    4. [4]

      YAN J, YANG J, LIU Z. SH radical: The key intermediate in sulfur transformation during thermal processing of coal[J]. Environ Sci Technol, 2005,39(13):5043-5051. doi: 10.1021/es048398c

    5. [5]

      ZHANG G, DU Y, ZHANG Y, XU Y. Desulfurization reaction model and experimental analysis of high sulfur coal under hydrogen atmosphere[J]. J Ind Eng Chem, 2014,20(2):487-493.  

    6. [6]

      CHEN H, LI B, YANG J, ZHANG B. Transformation of sulfur during pyrolysis and hydropyrolysis of coal[J]. Fuel, 1998,77(6):487-493. doi: 10.1016/S0016-2361(97)00275-5

    7. [7]

      GU Y, YPERMAN J, REGGERS G, CARLEER R, VANDEWIJNGAARDEN J. Characterisation of volatile organic sulphur compounds release during coal pyrolysis in inert, hydrogen and CO2 atmosphere[J]. Fuel, 2016,184:304-313. doi: 10.1016/j.fuel.2016.06.085

    8. [8]

      JORJANI E, YPERMAN J, CARLEER R, REZAI B. Reductive pyrolysis study of sulfur compounds in different Tabas coal samples (Iran)[J]. Fuel, 2006,85(1):114-120.  

    9. [9]

      LIU Fen-rong, LI Wen, LI Bao-qing, BAI Zong-qing. Sulfur transformation during pyrolysis of Zunyi coal by atmosphere pressure-temperature programmed reduction-massspectrum[J]. JFuel Chem Technol, 2008,36(1):6-9. doi: 10.3969/j.issn.0253-2409.2008.01.002

    10. [10]

      SU Hai-qiang. Study and application of blending coking of Inner mongolia high sulfur coal[J]. Fuel Chem Process, 2011,42(3):43-44. doi: 10.3969/j.issn.1001-3709.2011.03.019

    11. [11]

      WEN Zeng-guang, DENG Tong. Practical exploration of coking with large proportion high sulfur coal using the existing equipment[J]. Coal Chem Ind, 2017,45(5):57-59. doi: 10.3969/j.issn.1005-9598.2017.05.014

    12. [12]

      ORREGO-RUIZ J, CABANZO R, MEJIA-OSPINO E. Study of colombian coals using photoacoustic fourier transform infrared spectroscopy[J]. Int J Coal Geol, 2011,85(3):307-310.  

    13. [13]

      HE X, LIU X, NIE B, SUN D. FT-IR and Raman spectroscopy characterization of functional groups in various rank coals[J]. Fuel, 2017,206:555-563. doi: 10.1016/j.fuel.2017.05.101

    14. [14]

      IBARRA J, MOLINER R, BONET A J. FT-I.R. investigation on char formation during the early stages of coal pyrolysis[J]. Fue, 1994,73(6):918-924. doi: 10.1016/0016-2361(94)90287-9

    15. [15]

      IBARRA J, MU OZ E, MOLINER R. FT-IR study of the evolution of coal structure during the coalification process[J]. Org Geochem, 1996,24(6/7):725-735.  

    16. [16]

      LI K, KHANNA R, ZHANG J, BARATI M, LIU Z, XU T, YANG T, SAHAJWALLA V. Comprehensive investigation of various structural features of bituminous coals using advanced analytical techniques[J]. Energy Fuels, 2015,29(11):7178-7189. doi: 10.1021/acs.energyfuels.5b02064

    17. [17]

      LI X, HAYASHI J, LI C-Z. FT-Raman spectroscopic study of the evolution of char structure during the pyrolysis of a victorian brown coal[J]. Fuel, 2006,85(12/13):1700-1707.  

    18. [18]

      HINRICHS R, BROWN M, VASCONCELLOS M, ABRASHEV M, KALKREUTH W. Simple procedure for an estimation of the coal rank using micro-Raman spectroscopy[J]. Int J Coal Geol, 2014,136:52-58. doi: 10.1016/j.coal.2014.10.013

    19. [19]

      MORGA R, JELONEK I, KRUSZEWSKA K. Relationship between coking coal quality and its micro-Raman spectral characteristics[J]. Int J Coal Geol, 2014,34/135:17-23.  

    20. [20]

      BAYSAL M, YURUM A, YILDIZ B, YURUM Y. Structure of some western Anatolia coals investigated by FT-IR, Raman, 13C solid state NMR spectroscopy and X-ray diffraction[J]. Int J Coal Geol, 2016,163:166-176. doi: 10.1016/j.coal.2016.07.009

    21. [21]

      GUEDES A, VALENTIM B, PRIETO A C, RODRIGUES S, NORONHA F. Micro-Raman spectroscopy of collotelinite, fusinite and macrinite[J]. Int J Coal Geol, 2010,83(4):415-422. doi: 10.1016/j.coal.2010.06.002

    22. [22]

      WANG M, HU Y, WANG J, CHANG L, WANG H. Transformation of sulfur during pyrolysis of inertinite-rich coals and correlation with their characteristics[J]. J Anal Appl Pyrolysis, 2013,104(10):585-592.  

    23. [23]

      SHEN Y, WANG M, HU Y, KONG J, WANG J, CHANG L, BAO W. Transformation and regulation of sulfur during pyrolysis of coal blend with high organic-sulfur fat coal[J]. Fuel, 2019,249:427-433.

    24. [24]

      PRIETZEL J, BOTZAKI A, TYUFEKCHIEVA N, BRETTHOLLE M, THIEME J, KLYSUBUN W. Sulfur speciation in soil by S K-Edge XANES spectroscopy: Comparison of spectral deconvolution and linear combination fitting[J]. Environ Sci Technol, 2011,45(7):2878-2886. doi: 10.1021/es102180a

    25. [25]

      LIU L, FEI J, CUI M, HU Y, WANG J. XANES spectroscopic study of sulfur transformations during co-pyrolysis of a calcium-rich lignite and a high-sulfur bituminous coal[J]. Fuel Process Technol, 2014,121:56-62. doi: 10.1016/j.fuproc.2013.12.008

    26. [26]

      WALDO G, MULLINS O, PENNER-HAHN J, CRAMER S. Determination of the chemical environment of sulphur in petroleum asphaltenes by X-ray absorption spectroscopy[J]. Fuel, 1992,71(1):53-57.  

    27. [27]

      YIN Hao, LIU Gui-jian, LIU Jing-jing. Release of sulfur containing gases during coal pyrolysis[J]. Environ Chem, 2012,31(3):330-334.  

    28. [28]

      QIN Yue-qiang, CHEN Xue-li, CHEN Han-ding, LIU Hai-feng. Effects of adding CaO on the release and transformation of arsenic and sulfur during coal pyrolysis[J]. J Fuel Chem Technol, 2017,45(2):147-156. doi: 10.3969/j.issn.0253-2409.2017.02.003

    29. [29]

      GUAN R, LI W, LI B. Effects of Ca-based additives on desulfurization during coal pyrolysis[J]. Fuel, 2003,82(15/17):1961-1966.  

    30. [30]

      WANG B, ZHAO S, HUANG Y, ZHANG J. Effect of some natural minerals on transformation behavior of sulfur during pyrolysis of coal and biomass[J]. J Anal Appl Pyrolysis, 2014,105:284-294. doi: 10.1016/j.jaap.2013.11.015

  • 加载中
    1. [1]

      Xiaoqi LANWei LIDeyi YANGHao WANGZheng LIURongting GUOQizhi CHEN . Preparation and electrochemical performance of “sandwich structured” MXene Ti3C2Tx/hollow ZIF-67 sulfur host composites. Chinese Journal of Inorganic Chemistry, 2026, 42(4): 760-772. doi: 10.11862/CJIC.20250273

    2. [2]

      Tao WangQin DongCunpu LiZidong Wei . Sulfur Cathode Electrocatalysis in Lithium-Sulfur Batteries: A Comprehensive Understanding. Acta Physico-Chimica Sinica, 2024, 40(2): 2303061-0. doi: 10.3866/PKU.WHXB202303061

    3. [3]

      Jinyao Du Xingchao Zang Ningning Xu Yongjun Liu Weisi Guo . Electrochemical Thiocyanation of 4-Bromoethylbenzene. University Chemistry, 2024, 39(6): 312-317. doi: 10.3866/PKU.DXHX202310039

    4. [4]

      Yingtong ShiGuotong XuGuizeng LiangDi LanSiyuan ZhangYanru WangDaohao LiGuanglei Wu . PEG-VN改性PP隔膜用于高稳定性高效率锂硫电池. Acta Physico-Chimica Sinica, 2025, 41(7): 100082-0. doi: 10.1016/j.actphy.2025.100082

    5. [5]

      Weihan ZhangMenglu WangAnkang JiaWei DengShuxing Bai . Surface Sulfur Species Influence Hydrogenation Performance of Palladium-Sulfur Nanosheets. Acta Physico-Chimica Sinica, 2024, 40(11): 2309043-0. doi: 10.3866/PKU.WHXB202309043

    6. [6]

      Haozhe Hu Haoyu Zhang Changsheng Lu . Study on the Precipitation Process of Elemental Sulfur from the Decomposition Products of Thiosulfuric Acid: Is It an Unexpected Failed Experiment?. University Chemistry, 2025, 40(11): 409-415. doi: 10.12461/PKU.DXHX202412034

    7. [7]

      Xiaofeng ZhuBingbing XiaoJiaxin SuShuai WangQingran ZhangJun Wang . Transition Metal Oxides/Chalcogenides for Electrochemical Oxygen Reduction into Hydrogen Peroxides. Acta Physico-Chimica Sinica, 2024, 40(12): 2407005-0. doi: 10.3866/PKU.WHXB202407005

    8. [8]

      Hongyao Li Youyan Liu Luwei Dai Min Yang Qihui Wang . The Blessing of Indium Sulfide:Confronting the Narrow Path with Uric Acid. University Chemistry, 2024, 39(5): 325-335. doi: 10.3866/PKU.DXHX202311104

    9. [9]

      Ting YANGJia ANJinyu ZHANGRuonan FANRong YANXiaoxia JINGPanpan CHANGWei YAN . Synergistic enhancement of ion migration and sulfur conversion kinetics in lithium-sulfur batteries by CeO2/g-C3N4. Chinese Journal of Inorganic Chemistry, 2026, 42(3): 519-530. doi: 10.11862/CJIC.20250274

    10. [10]

      Zijun Huang Feng Wu Shaofeng Pi Saijin Huang Zhengjun Fang . Knowledge Graph-based Development of AI Curriculum for Inorganic Chemistry Experiments and Exploration of New Teaching Paradigm. University Chemistry, 2025, 40(9): 228-237. doi: 10.12461/PKU.DXHX202504052

    11. [11]

      Huan Zhang Guoqing Zhong Qiying Jiang Wenyuan Hu Dingming Yang Juan shen Yatang Dai Hongbo Li . Development and Practice of the “Five Rings and One Heart” Teaching Model in Inorganic Chemistry. University Chemistry, 2025, 40(11): 42-51. doi: 10.12461/PKU.DXHX202412076

    12. [12]

      Ruiqing LIUWenxiu LIUKun XIEYiran LIUHui CHENGXiaoyu WANGChenxu TIANXiujing LINXiaomiao FENG . Three-dimensional porous titanium nitride as a highly efficient sulfur host. Chinese Journal of Inorganic Chemistry, 2024, 40(5): 867-876. doi: 10.11862/CJIC.20230441

    13. [13]

      Nan Xiao Fang Sun . 二芳基硫醚化合物的构建及应用. University Chemistry, 2025, 40(6): 360-363. doi: 10.12461/PKU.DXHX202407099

    14. [14]

      Haitao WangLianglang YuJizhou JiangArramelJing Zou . S-Doping of the N-Sites of g-C3N4 to Enhance Photocatalytic H2 Evolution Activity. Acta Physico-Chimica Sinica, 2024, 40(5): 2305047-0. doi: 10.3866/PKU.WHXB202305047

    15. [15]

      Chuan′an DINGWeibo YANShaoying WANGHao XIN . Preparation of wide-band gap copper indium gallium sulfide solar cells by solution method. Chinese Journal of Inorganic Chemistry, 2025, 41(9): 1755-1764. doi: 10.11862/CJIC.20250198

    16. [16]

      Yang Lv Yingping Jia Yanhua Li Hexiang Zhong Xinping Wang . Integrating the Ideological Elements with the “Chemical Reaction Heat” Teaching. University Chemistry, 2024, 39(11): 44-51. doi: 10.12461/PKU.DXHX202402059

    17. [17]

      Yongming Zhu Huili Hu Yuanchun Yu Xudong Li Peng Gao . Construction and Practice on New Form Stereoscopic Textbook of Electrochemistry for Energy Storage Science and Engineering: Taking Basic Course of Electrochemistry as an Example. University Chemistry, 2024, 39(8): 44-47. doi: 10.3866/PKU.DXHX202312086

    18. [18]

      Weikang WangYadong WuJianjun ZhangKai MengJinhe LiLele WangQinqin Liu . Green H2O2 synthesis via melamine-foam supported S-scheme Cd0.5Zn0.5In2S4/S-doped carbon nitride heterojunction: synergistic interfacial charge transfer and local photothermal effect. Acta Physico-Chimica Sinica, 2025, 41(8): 100093-0. doi: 10.1016/j.actphy.2025.100093

    19. [19]

      Lin Wang Xiaozhou Li Haishuang Zhao Yutang Wang Jianguo Wang Junru Wang . Design and Practice of New-Form Course Resources for Physical Chemistry in Agricultural and Forestry Universities: A Case Study of Teaching in Food Science and Engineering Major. University Chemistry, 2026, 41(2): 146-153. doi: 10.12461/PKU.DXHX202412149

    20. [20]

      Yiming Liang Ziyan Pan Kin Shing Chan . One Drink, Two Tears in the Central Nervous System: The Perils of Disulfiram-Like Reactions. University Chemistry, 2025, 40(4): 322-325. doi: 10.12461/PKU.DXHX202406016

Metrics
  • PDF Downloads(10)
  • Abstract views(1389)
  • HTML views(260)

通讯作者: 陈斌, bchen63@163.com
  • 1. 

    沈阳化工大学材料科学与工程学院 沈阳 110142

  1. 本站搜索
  2. 百度学术搜索
  3. 万方数据库搜索
  4. CNKI搜索
Address:Zhongguancun North First Street 2,100190 Beijing, PR China Tel: +86-010-82449177-888
Powered By info@rhhz.net

/

DownLoad:  Full-Size Img  PowerPoint
Return