Citation: Nizamidin Patima, Turdi Gulmira, Yin Yan, Yimit Abliz. Study on Optical Properties and Gas Sensing Performance of LiFe0.98Pt0.02PO4 Thin Film[J]. Chemistry, ;2017, 80(9): 845-851. shu

Study on Optical Properties and Gas Sensing Performance of LiFe0.98Pt0.02PO4 Thin Film

  • Corresponding author: Yimit Abliz, ablizy@sina.com
  • Received Date: 28 December 2016
    Accepted Date: 6 April 2017

Figures(7)

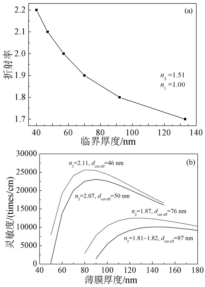
  • In order to improve the sensitivity of LiFePO4 thin films, platinum was selected as doping element to prepare LiFe0.98Pt0.02PO4 powder through hydrothermal method. LiFe0.98Pt0.02PO4 thin film/tin diffused glass optical waveguide was fabricated by immobilizing the doped powder on the surface of the diffused glass using spin coating method, and was further calcinated at different temperatures. The influence of calcination temperature on the optical property and gas sensitivity of LiFe0.98Pt0.02PO4 thin films was discussed by comparing the sensing performances of each film to benzene, toluene, and xylene (BTXs). The experimental results indicated that the LiFe0.98Pt0.02PO4 thin film treated at 450℃ has the characteristics of good transparency, high refractive index, and less attenuation, showing a significant response to BTXs. Meanwhile, the sensor exhibited reversible response to the xylene in the range of 1×10-7~1×10-3 V/V0. When the gas concentration is less than 1×10-6 V/V0, other substances did not interfere with the detection of xylene.
  • 加载中
    1. [1]

      J Chen, J Xu. Sens. Actuat. B, 2011, 157:494~499. 

    2. [2]

      S J Pearton, F Ren, Y L Wang et al. Prog. Mater. Sci., 2010, 55:1~59. 

    3. [3]

      J P Cheng, J Wang, Q Q Li et al. J. Ind. Eng. Chem., 2016, 44:1~22. 

    4. [4]

      B Y Kim, J S Cho, J W Yoon et al. Sens. Actuat. B, 2016, 234:353~360. 

    5. [5]

      D Ma, W Ju, T Li, X Zhang et al. Appl. Surf. Sci., 2016, 383:98~105. 

    6. [6]

      A Sheikh, D Prabir, L Chonghoon. Int. J. Appl. Ceram. Technol., 2006, 3(4):109~311.

    7. [7]

      H A Adrian, F Maurizio, F Alessandro et al. Appl. Surf. Sci., 2014, 322:85~94. 

    8. [8]

      H C Liu, Y M Wang. Ceram. Int., 2017, 43:3196~3201. 

    9. [9]

      G R Hua, P W Chen, Z M Liu. J. Alloys Compd., 2017, 696:177~184. 

    10. [10]

      P Nizamidin, A Yimit, A Abdurrahman et al. Sens. Actuat. B, 2013, 176:460~466. 

    11. [11]

      N Patima, Y Abliz, J D Wang et al. Thin Solid Films, 2012, 520:6250~6255. 

    12. [12]

      P Nizamidin, A Yimit, J D Wang. Curr. Anal. Chem., 2012, 8:557~561. 

    13. [13]

      P Nizamidin, A Yimit, K Itoh. New J. Chem., 2016, 40:295~301. 

    14. [14]

      C Elisabetta. Anal. Chim. Acta, 2006, 568:28~40. 

    15. [15]

      S Wang, S Jin, S Yang et al. Sci. Adv., 2015, 1(7):e1500441. 

    16. [16]

       

    17. [17]

      K M Nissamudeen, S Sankar, A H Bahna et al. Solids Phys. Chem., 2009, 70:821~826. 

    18. [18]

      A Diaz-Parralejo, R Caruso, A L Ortiz et al. Thin Solid Films, 2004, 458:92~97. 

    19. [19]

      H Nishihara, M Haruna, T Suhara. Integrated Optics, 1st ed., Japan, 1987.

    20. [20]

      A Airoudj, B Beche, D Debarnot et al. Opt. Commun., 2009, 282:3839~3845. 

    21. [21]

      J C Li, X B Han, Y H Jiang et al. Thin Solid Films, 2011, 520:881~886. 

    22. [22]

      Y Abliz, K Itoh, M Murabayashi. Sens. Actuat. B, 2003, 88:239~245. 

    23. [23]

      G Zhylyak, V Ramoz-Perez, M Linnhoff et al. Opt. Lasers Eng., 2005, 43:603~617. 

  • 加载中
    1. [1]

      Yuting BaiCenqi YanZhen LiJiaqiang QinPei Cheng . Preparation of High-Strength Polyimide Porous Films with Thermally Closed Pore Property by In Situ Pore Formation Method. Acta Physico-Chimica Sinica, 2024, 40(9): 2306010-0. doi: 10.3866/PKU.WHXB202306010

    2. [2]

      Dongheng WANGSi LIShuangquan ZANG . Construction of chiral alkynyl silver chains and modulation of chiral optical properties. Chinese Journal of Inorganic Chemistry, 2025, 41(1): 131-140. doi: 10.11862/CJIC.20240379

    3. [3]

      Xin XIONGQian CHENQuan XIE . First principles study of the photoelectric properties and magnetism of La and Yb doped AlN. Chinese Journal of Inorganic Chemistry, 2024, 40(8): 1519-1527. doi: 10.11862/CJIC.20240064

    4. [4]

      Laiying Zhang Yinghuan Wu Yazi Yu Yecheng Xu Haojie Zhang Weitai Wu . Innovation and Practice of Polymer Chemistry Experiment Teaching for Non-Polymer Major Students of Chemistry: Taking the Synthesis, Solution Property, Optical Performance and Application of Thermo-Sensitive Polymers as an Example. University Chemistry, 2024, 39(4): 213-220. doi: 10.3866/PKU.DXHX202310126

    5. [5]

      Jiaxin SuJiaqi ZhangShuming ChaiYankun WangSibo WangYuanxing Fang . Optimizing Poly(heptazine imide) Photoanodes Using Binary Molten Salt Synthesis for Water Oxidation Reaction. Acta Physico-Chimica Sinica, 2024, 40(12): 2408012-0. doi: 10.3866/PKU.WHXB202408012

    6. [6]

      Lijuan Wang Yuping Ning Jian Li Sha Luo Xiongfei Luo Ruiwen Wang . Enhancing the Advanced Nature of Natural Product Chemistry Laboratory Courses with New Research Findings: A Case Study of the Application of Berberine Hydrochloride in Photodynamic Antimicrobial Films. University Chemistry, 2024, 39(11): 241-250. doi: 10.12461/PKU.DXHX202403017

    7. [7]

      Ximeng CHIJianwei WEIYunyun WANGWenxin DENGJiayi DAIXu ZHOU . First-principles study of the electronic structure and optical properties of Au and I doped-inorganic lead-free double perovskite Cs2NaBiCl6. Chinese Journal of Inorganic Chemistry, 2025, 41(7): 1371-1379. doi: 10.11862/CJIC.20240401

    8. [8]

      Shiyi ChenJialong FuJianping QiuGuoju ChangShiyou Hao . Waste medical mask-derived carbon quantum dots enhance the photocatalytic degradation of polyethylene terephthalate (PET) over BiOBr/g-C3N4 S-scheme heterojunction. Acta Physico-Chimica Sinica, 2026, 42(1): 100135-0. doi: 10.1016/j.actphy.2025.100135

    9. [9]

      Peng ZHOUXiao CAIQingxiang MAXu LIU . Effects of Cu doping on the structure and optical properties of Au11(dppf)4Cl2 nanocluster. Chinese Journal of Inorganic Chemistry, 2024, 40(7): 1254-1260. doi: 10.11862/CJIC.20240047

    10. [10]

      Peiyu Zhang Aixin Song Jingcheng Hao Jiwei Cui . 高频超声法制备聚多巴胺薄膜综合实验. University Chemistry, 2025, 40(6): 210-214. doi: 10.12461/PKU.DXHX202407081

    11. [11]

      Xuechen HuQiuying XiaFan YueXinyi HeZhenghao MeiJinshi WangHui XiaXiaodong Huang . Electrochemical Characteristics of LiNbO3 Anode Film and Its Applications in All-Solid-State Thin-Film Lithium-Ion Battery. Acta Physico-Chimica Sinica, 2024, 40(2): 2309046-0. doi: 10.3866/PKU.WHXB202309046

    12. [12]

      Qi Wang Yicong Gao Feng Lu Quli Fan . Preparation and Performance Characterization of the Second Near-Infrared Phototheranostic Probe: A New Design and Teaching Practice of Polymer Chemistry Comprehensive Experiment. University Chemistry, 2024, 39(11): 342-349. doi: 10.12461/PKU.DXHX202404141

    13. [13]

      Xinyuan Shi Chenyangjiang Changyu Zhai Xuemei Lu Jia Li Zhu Mao . Preparation and Photoelectric Performance Characterization of Perovskite CsPbBr3 Thin Films. University Chemistry, 2024, 39(6): 383-389. doi: 10.3866/PKU.DXHX202312019

    14. [14]

      Wendian XIEYuehua LONGJianyang XIELiqun XINGShixiong SHEYan YANGZhihao HUANG . Preparation and ion separation performance of oligoether chains enriched covalent organic framework membrane. Chinese Journal of Inorganic Chemistry, 2024, 40(8): 1528-1536. doi: 10.11862/CJIC.20240050

    15. [15]

      Bao Jia Yunzhe Ke Shiyue Sun Dongxue Yu Ying Liu Shuaishuai Ding . Innovative Experimental Teaching for the Preparation and Modification of Conductive Organic Polymer Thin Films in Undergraduate Courses. University Chemistry, 2024, 39(10): 271-282. doi: 10.12461/PKU.DXHX202404121

    16. [16]

      Ronghui LI . Photocatalysis performance of nitrogen-doped CeO2 thin films via ion beam-assisted deposition. Chinese Journal of Inorganic Chemistry, 2025, 41(6): 1123-1130. doi: 10.11862/CJIC.20240440

    17. [17]

      Xianggui Kong Wenying Shi . Comprehensive Chemical Experimental Design of Optically Encrypted Materials. University Chemistry, 2025, 40(3): 355-362. doi: 10.12461/PKU.DXHX202406067

    18. [18]

      Jiakun BAITing XULu ZHANGJiang PENGYuqiang LIJunhui JIA . A red-emitting fluorescent probe with a large Stokes shift for selective detection of hypochlorous acid. Chinese Journal of Inorganic Chemistry, 2024, 40(6): 1095-1104. doi: 10.11862/CJIC.20240002

    19. [19]

      Xueyu LinRuiqi WangWujie DongFuqiang Huang . Rational Design of Bimetallic Oxide Anodes for Superior Li+ Storage. Acta Physico-Chimica Sinica, 2025, 41(3): 100021-0. doi: 10.3866/PKU.WHXB202311005

    20. [20]

      Jianding LIJunyang FENGHuimin RENGang LI . Proton conductive properties of a Hf(Ⅳ)-based metal-organic framework built by 2,5-dibromophenyl-4,6-dicarboxylic acid. Chinese Journal of Inorganic Chemistry, 2025, 41(6): 1094-1100. doi: 10.11862/CJIC.20240464

Metrics
  • PDF Downloads(4)
  • Abstract views(1249)
  • HTML views(148)

通讯作者: 陈斌, bchen63@163.com
  • 1. 

    沈阳化工大学材料科学与工程学院 沈阳 110142

  1. 本站搜索
  2. 百度学术搜索
  3. 万方数据库搜索
  4. CNKI搜索
Address:Zhongguancun North First Street 2,100190 Beijing, PR China Tel: +86-010-82449177-888
Powered By info@rhhz.net

/

DownLoad:  Full-Size Img  PowerPoint
Return