Citation: LI Mei, SUN Gong-cheng, CHENG Xue-yun, LI Jia-jia, JIN Quan, XU Rong-sheng. Experimental study on desulfurization by ionic liquids/H2O2 system[J]. Journal of Fuel Chemistry and Technology, ;2019, 47(9): 1042-1052. shu

Experimental study on desulfurization by ionic liquids/H2O2 system

  • Corresponding author: LI Mei, echolimei@126.com
  • Received Date: 20 May 2019
    Revised Date: 8 July 2019

    Fund Project: The project was supported by the National Natural Science Foundation of China (21666001), North Minzu University-Level Scientific Research Project (2017HG04), North Minzu University-Level Major Project (ZDZX201803) and North Minzu University Research Platform Project (201707)the National Natural Science Foundation of China 21666001North Minzu University Research Platform Project 201707North Minzu University-Level Scientific Research Project 2017HG04North Minzu University-Level Major Project ZDZX201803

Figures(9)

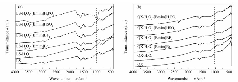
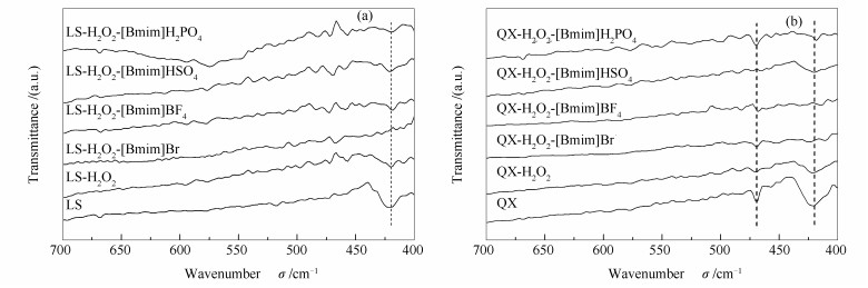
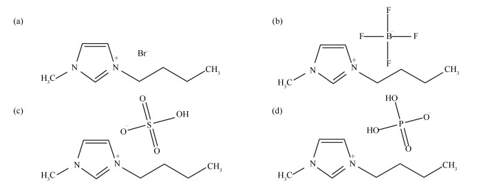
  • Four different kinds of ionic liquids(ILs), namely, 1-butyl-3-methylimidazolium bromide([Bmim]Br), 1-butyl-3-methylimidazolium tetrafluoroborate([Bmim]BF4), 1-butyl-3-methylimidazolium hydro-sulfate([Bmim]HSO4), and 1-butyl-3-methylimidazolium dihydrophosphate([Bmim]H2PO4) were selected to add to the H2O2 solution (30%), respectively, to obtain four mixed solutions. Then, two kinds of deashed high-sulfur coal (LS, QX) desulfurization experiments were tested with above mixed solutions under mild conditions, respectively. The contents of different sulfur forms in coal samples before and after desulfurization were determined by wet chemical method, and the coal samples before and after desulfurization were characterized using Fourier transform infrared spectroscopy (FT-IR), X-ray photoelectron spectroscopy (XPS), scanning electron microscope (SEM), and thermogravimetric (TG). The results show that the addition of ionic liquids can make the H2O2 oxidation desulfurization ability enhance, and pyrite sulfur and organic sulfide sulfur in coal are obviously removed. After treated by the ILs/H2O2 system, the small size particle decreases, the space among the particles increases, and the pits on the coal surface become obvious. Moreover, the thermogravimetric test results show that the total weight loss of the coal sample treated by the ILs/H2O2 system increases and the peak temperature of some volatile substances lowers.
  • 加载中
    1. [1]

      CHEN Wen-hui, LIU Jia, SUN Rui, LI Rang, LI Shuai. Study on chemical desulfurization of complex high-sulfur coal[J]. Coal Technol, 2018,37(9):371-374.  

    2. [2]

      WILKES J S. Properties of ionic liquid solvents for catalysis[J]. J Mol Catal A:Chem, 2004,214(1):11-17. doi: 10.1016/j.molcata.2003.11.029

    3. [3]

      WANG L Y, JIN G S, XU Y L. Desulfurization of coal using four ionic liquids with[HSO4]-[J]. Fuel, 2019,236(15):1181-1190.  

    4. [4]

      BUI T T L, NGUYEN D D, HO S V, NGUYEN B T, UONG H T N. Synthesis, characterization and application of some non-halogen ionic liquids as green solvents for deep desulfurization of diesel oil[J]. Fuel, 2017,191:54-61. doi: 10.1016/j.fuel.2016.11.044

    5. [5]

      TO T Q, SHAH K, TREMAIN P, SIMMONS B A, MOGHTADERI B, ATKIN R. Treatment of lignite and thermal coal with low cost amino acid based ionic liquid-water mixtures[J]. Fuel, 2017,202(15):296-306.  

    6. [6]

      TIAN Y, MENG X, SHI L. Removal of dimethyl disulfide via extraction using imidazolium-based phosphoric ionic liquids[J]. Fuel, 2014,129(1):225-230.  

    7. [7]

      DHARASKAR S A, WASEWAR K L, VARMA M N, SHENDE D Z. Imidazolium ionic liquid as energy efficient solvent for desulfurization of liquid fuel[J]. Sep Purif Technol, 2015,155(26):101-109.  

    8. [8]

      SAIKIA B K, KHOUND K, BARUAH B P. Extractive de-sulfurization and de-ashing of high sulfur coals by oxidation with ionic liquids[J]. Energ Convers Manage, 2014,81:298-305. doi: 10.1016/j.enconman.2014.02.043

    9. [9]

      GONG Ming-yue, LI Xiao-juan, ZHANG Mei, SONG Hua, HE Ying-ming. Preparation of ionic liquid supported metal- organic framework Py/MOF-199 and its adsorption desulfurization performance[J]. J Fuel Chem Technol, 2018,46(10):1175-1183. doi: 10.3969/j.issn.0253-2409.2018.10.004

    10. [10]

      CHEN Zong-ding, GONG Xu-zhong, WANG Zhi, WANG Yong-gang, ZHANG Shu, XU De-ping. Sulfur removal from ionic liquid assisted coal water slurry electrolysis in KNO3 system[J]. J Fuel Chem Technol, 2013,41(8):928-936. doi: 10.3969/j.issn.0253-2409.2013.08.005

    11. [11]

      XU Yong-liang, JIN Guo-song, WAN Lan-yun, SUN Yan. Experimental study on coal desulfurization within 1-butyl-3-methyl imidazole sulfate and hydrogen peroxide[J]. Ed Board J HPU(Nat Sci), 2018,6(4):22-29.  

    12. [12]

      AN Ying, LU Liang, LI Cai-meng, CHENG Shi-fu, GAO Guo-hua. Oxidative desulfurization catalyzed by molybdophosphate-based ionic liquid[J]. J Mol Catal(China), 2009,12:1222-1226.  

    13. [13]

      SAIKIA B K, KHOUND K, SAHU O P, BARUAH B P. Feasibility studies on cleaning of high sulfur coals by using ionic liquids[J]. J China Coal Soc, 2015,2(3):202-210.

    14. [14]

      GE Tao, ZHANG Ming-xu, MA Xiang-mei. XPS and FTIR spectroscopy characterization about the structure of coking coal in Xinyang[J]. Spectrosc Spect Anal, 2017,37(8):2406-2411.  

    15. [15]

      SAIKIA B K, DUTTA A M, BARUAH B P. Feasibility studies of de-sulfurization and de-ashing of low grade medium to high sulfur coals by low energy ultrasonication[J]. Fuel, 2014,123(1):12-18.  

    16. [16]

      ZHAO Zheng-fu, TANG Yue-gang, WEI Qiang, WANG Shao-qing, JIANG Di. Evolution characteristics of sulfur-bearing structures of low and medium rank coal with high organic sulfur content[J]. Coal Geol Explor, 2015,43(4):17-22. doi: 10.3969/j.issn.1001-1986.2015.04.004

    17. [17]

      LIU Yan-hua, CHE De-fu, XU Tong-mo. X-Ray photoelectron spectroscopy determination of the forms of sulfur in coal and Its chars[J]. J Xi'an Jiaotong Univ, 2004,38(1):101-104. doi: 10.3321/j.issn:0253-987X.2004.01.025

    18. [18]

      LI H L, ZHU W B, YANG J P, ZHANG M G, ZHAO J X, QU W Q. Sulfur abundant S/FeS2 for efficient removal of mercury from coal-fired power plants[J]. Fuel, 2018,232(15):476-484.  

    19. [19]

      SHAIDA M A, SEN A K, DUTTA R K. Alternate use of sulphur rich coals as solar photo-Fenton agent for degradation of toxic azo dyes[J]. J Clean Prod, 2018,195(10):1003-1014.  

    20. [20]

      QIN Yue-qiang, CHEN Xue-li, CHEN Han-ding, LIU Hai-feng. Effects of adding CaO on the release and transformation of arsenic and sulfur during coal pyrolysis[J]. J Fuel Chem Technol, 2017,45(2):147-156. doi: 10.3969/j.issn.0253-2409.2017.02.003

    21. [21]

      ZHAO H L, BAI Z Q, BAI J, GUO Z X, KONG L X, LI W. Effect of coal particle size on distribution and thermal behavior of pyrite during pyrolysis[J]. Fuel, 2015,148(15):145-151.  

    22. [22]

      SAIKIA B K, DALMORA A C, CHOUDHURY R, DAS T, TAFFAREL S R, SILVA L F O. Effective removal of sulfur components from Brazilian power-coals by ultrasonication (40kHz) in presence of H2O2[J]. Ultrason Sonochem, 2016,32:147-157. doi: 10.1016/j.ultsonch.2016.03.007

    23. [23]

      CUI C B, JIANG S G, KOU L W, WANG L Y, ZHANG W Q, WU Z G, WANG K, SHAO H. Effect of ionic liquids on the pyrolysis of coal[J]. Electron J Geotech Eng, 2016,21:5203-5213.  

  • 加载中
    1. [1]

      Yameen AhmedXiangxiang FengYuanji GaoYang DingCaoyu LongMustafa HaiderHengyue LiZhuan LiShicheng HuangMakhsud I. SaidaminovJunliang Yang . Interface Modification by Ionic Liquid for Efficient and Stable FAPbI3 Perovskite Solar Cells. Acta Physico-Chimica Sinica, 2024, 40(6): 2303057-0. doi: 10.3866/PKU.WHXB202303057

    2. [2]

      Qiang ZhangYuanbiao HuangRong Cao . Imidazolium-Based Materials for CO2 Electroreduction. Acta Physico-Chimica Sinica, 2024, 40(4): 2306040-0. doi: 10.3866/PKU.WHXB202306040

    3. [3]

      Wenjun Zheng . Application in Inorganic Synthesis of Ionic Liquids. University Chemistry, 2024, 39(8): 163-168. doi: 10.3866/PKU.DXHX202401020

    4. [4]

      Qiaorong RU . Synthesis and characterization of tripyridine functionalized polyionic liquid luminescent materials. Chinese Journal of Inorganic Chemistry, 2026, 42(1): 111-119. doi: 10.11862/CJIC.20250121

    5. [5]

      Ting YANGJia ANJinyu ZHANGRuonan FANRong YANXiaoxia JINGPanpan CHANGWei YAN . Synergistic enhancement of ion migration and sulfur conversion kinetics in lithium-sulfur batteries by CeO2/g-C3N4. Chinese Journal of Inorganic Chemistry, 2026, 42(3): 519-530. doi: 10.11862/CJIC.20250274

    6. [6]

      Yuting BaiCenqi YanZhen LiJiaqiang QinPei Cheng . Preparation of High-Strength Polyimide Porous Films with Thermally Closed Pore Property by In Situ Pore Formation Method. Acta Physico-Chimica Sinica, 2024, 40(9): 2306010-0. doi: 10.3866/PKU.WHXB202306010

    7. [7]

      Qianli MaTianbing SongTianle HeXirong ZhangHuanming Xiong . Sulfur-doped carbon dots: a novel bifunctional electrolyte additive for high-performance aqueous zinc-ion batteries. Acta Physico-Chimica Sinica, 2025, 41(9): 100106-0. doi: 10.1016/j.actphy.2025.100106

    8. [8]

      Tao WangQin DongCunpu LiZidong Wei . Sulfur Cathode Electrocatalysis in Lithium-Sulfur Batteries: A Comprehensive Understanding. Acta Physico-Chimica Sinica, 2024, 40(2): 2303061-0. doi: 10.3866/PKU.WHXB202303061

    9. [9]

      Yingran Liang Fei WangJiabao Sun Hongtao Zheng Zhenli Zhu . Construction and Application of a New Experimental Device for Determination of Alkaline Metal Elements by Plasma Atomic Emission Spectrometry Based on Solution Cathode Glow Discharge: An Alternative Approach for Fundamental Teaching Experiments in Emission Spectroscopy. University Chemistry, 2024, 39(5): 380-387. doi: 10.3866/PKU.DXHX202312024

    10. [10]

      Mei Yan Rida Feng Yerdos·Tohtarkhan Biao Long Li Zhou Chongshen Guo . Expansion and Extension of Liquid Saturated Vapor Measurement Experiment. University Chemistry, 2024, 39(3): 294-301. doi: 10.3866/PKU.DXHX202308103

    11. [11]

      Weihan ZhangMenglu WangAnkang JiaWei DengShuxing Bai . Surface Sulfur Species Influence Hydrogenation Performance of Palladium-Sulfur Nanosheets. Acta Physico-Chimica Sinica, 2024, 40(11): 2309043-0. doi: 10.3866/PKU.WHXB202309043

    12. [12]

      Haozhe Hu Haoyu Zhang Changsheng Lu . Study on the Precipitation Process of Elemental Sulfur from the Decomposition Products of Thiosulfuric Acid: Is It an Unexpected Failed Experiment?. University Chemistry, 2025, 40(11): 409-415. doi: 10.12461/PKU.DXHX202412034

    13. [13]

      Hongyao Li Youyan Liu Luwei Dai Min Yang Qihui Wang . The Blessing of Indium Sulfide:Confronting the Narrow Path with Uric Acid. University Chemistry, 2024, 39(5): 325-335. doi: 10.3866/PKU.DXHX202311104

    14. [14]

      Zijun Huang Feng Wu Shaofeng Pi Saijin Huang Zhengjun Fang . Knowledge Graph-based Development of AI Curriculum for Inorganic Chemistry Experiments and Exploration of New Teaching Paradigm. University Chemistry, 2025, 40(9): 228-237. doi: 10.12461/PKU.DXHX202504052

    15. [15]

      Huan Zhang Guoqing Zhong Qiying Jiang Wenyuan Hu Dingming Yang Juan shen Yatang Dai Hongbo Li . Development and Practice of the “Five Rings and One Heart” Teaching Model in Inorganic Chemistry. University Chemistry, 2025, 40(11): 42-51. doi: 10.12461/PKU.DXHX202412076

    16. [16]

      Xuejie WangGuoqing CuiCongkai WangYang YangGuiyuan JiangChunming Xu . Research Progress on Carbon-based Catalysts for Catalytic Dehydrogenation of Liquid Organic Hydrogen Carriers. Acta Physico-Chimica Sinica, 2025, 41(5): 100044-0. doi: 10.1016/j.actphy.2024.100044

    17. [17]

      Kai Ye Lizhong Zhang Mingyu Zhang Qinxiong Wu Kui Wang Qi Wang . Digital Experiment for the Determination of Liquid Saturated Vapor Pressure. University Chemistry, 2026, 41(1): 227-243. doi: 10.12461/PKU.DXHX202503107

    18. [18]

      Rohit KumarAnita SudhaikAftab Asalam Pawaz KhanVan Huy NeguyenArchana SinghPardeep SinghSourbh ThakurPankaj Raizada . Designing tandem S-scheme photo-catalytic systems: Mechanistic insights, characterization techniques, and applications. Acta Physico-Chimica Sinica, 2025, 41(11): 100150-0. doi: 10.1016/j.actphy.2025.100150

    19. [19]

      Yongming Zhu Huili Hu Yuanchun Yu Xudong Li Peng Gao . Construction and Practice on New Form Stereoscopic Textbook of Electrochemistry for Energy Storage Science and Engineering: Taking Basic Course of Electrochemistry as an Example. University Chemistry, 2024, 39(8): 44-47. doi: 10.3866/PKU.DXHX202312086

    20. [20]

      Lin Wang Xiaozhou Li Haishuang Zhao Yutang Wang Jianguo Wang Junru Wang . Design and Practice of New-Form Course Resources for Physical Chemistry in Agricultural and Forestry Universities: A Case Study of Teaching in Food Science and Engineering Major. University Chemistry, 2026, 41(2): 146-153. doi: 10.12461/PKU.DXHX202412149

Metrics
  • PDF Downloads(18)
  • Abstract views(1705)
  • HTML views(315)

通讯作者: 陈斌, bchen63@163.com
  • 1. 

    沈阳化工大学材料科学与工程学院 沈阳 110142

  1. 本站搜索
  2. 百度学术搜索
  3. 万方数据库搜索
  4. CNKI搜索
Address:Zhongguancun North First Street 2,100190 Beijing, PR China Tel: +86-010-82449177-888
Powered By info@rhhz.net

/

DownLoad:  Full-Size Img  PowerPoint
Return