Citation:
Liu Jinbing, Tang Junyuan. Bioactivities of Chalcones with Halogen Atom and Their Thiosemicarbazide Derivatives[J]. Chemistry,
;2017, 80(1): 77-83.
-
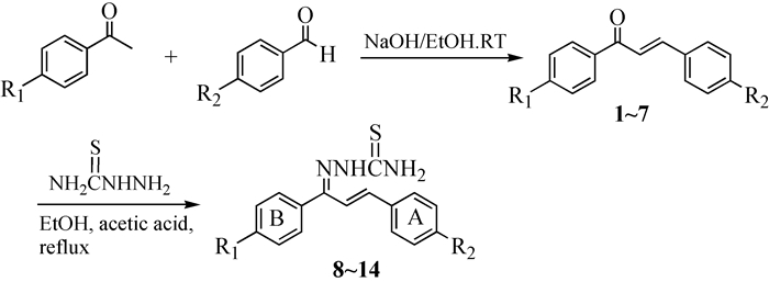
A series of halogen atom substituted chalcones and their derivatives were synthesized. All of them were evaluated for their antioxidant activities and inhibitory activities against mushroom tyrosinase. The results showed that some of them exhibit significant tyrosinase inhibitory activities, three compounds exhibit more potent inhibitory activities than the reference standard inhibitor. Especially, the thiosemicarbazide Schiff base of 4-bromochalcone (compound 9) has the most potent tyrosinase inhibitory activity with an IC50 value of 2.02 μmol/L. In addition, some compounds showed certain antioxidant activities. The inhibition mechanism analysis of compound 9 showed that the inhibitory effect of the compound on the tyrosinase was irreversible. Preliminary structure activity relationships' (SARs) analysis suggested that further development of such compounds might be of interest. Docking studies showed sulfur atom and phenyl ring B could form π bond with residue of the tyrosinase, and the amino could form hydrogen bond with HIS295.
-
-
-
[1]
R L S Michael, A R Christopher, A R Patrick. Bioorg. Med. Chem., 2013, 21(5):1166-1173.
-
[2]
K K Song, H Huang, P Han et al. Biochem. Biophys. Res. Commun., 2006, 342(4):1147-1151.
-
[3]
R Matsuura, H Ukeda, M Sawamura. J. Agric. Food. Chem., 2006, 54(6):2309-2313.
-
[4]
Y J Zhu, H T Zhou, Y H Hu. Food. Chem., 2011, 124(1):298-302.
-
[5]
P Thanigaimalai, T A L Hoang, K C Lee et al. Bioorg. Med. Chem. Lett., 2010, 20(9):2991-2993.
- [6]
-
[7]
P Singh, A Anand, V Kumar. Eur. J. Med. Chem., 2014, 85:758-777.
-
[8]
M R E S Aly, H A E R Fodah, S Y Saleh et al. Eur. J. Med. Chem., 2014, 76:517-530.
-
[9]
J Liu, F Wu, L Chen et al. Food. Chem., 2012, 135(4):2872-2878.
-
[10]
A You, J Zhou, S Song et al. Bioorg. Med. Chem., 2015, 23(5):924-931
- [11]
- [12]
-
[13]
R R N Pellegrini, A Proteggente, A Pannala et al. Free. Radical. Biol. Med., 1999, 26(9-10):1231-1237.
-
[14]
R Apak, K Guçlü, M Ozyürek et al. J. Agric. Food. Chem., 2004, 52(26):7970-7981.
- [15]
-
[1]
-
-
-
[1]
Haitang WANG , Yanni LING , Xiaqing MA , Yuxin CHEN , Rui ZHANG , Keyi WANG , Ying ZHANG , Wenmin WANG . Construction, crystal structures, and biological activities of two LnⅢ3 complexes. Chinese Journal of Inorganic Chemistry, 2024, 40(8): 1474-1482. doi: 10.11862/CJIC.20240188
-
[2]
Xin MA , Ya SUN , Na SUN , Qian KANG , Jiajia ZHANG , Ruitao ZHU , Xiaoli GAO . A Tb2 complex based on polydentate Schiff base: Crystal structure, fluorescence properties, and biological activity. Chinese Journal of Inorganic Chemistry, 2024, 40(7): 1347-1356. doi: 10.11862/CJIC.20230357
-
[3]
Siran Wang , Yinuo Wang , Yilong Zhao , Dazhen Xu . Advances in the Application and Preparation of Rhodanine and Its Derivatives. University Chemistry, 2025, 40(5): 318-327. doi: 10.12461/PKU.DXHX202407033
-
[4]
Zhi Zhou , Yu-E Lian , Yuqing Li , Hui Gao , Wei Yi . New Insights into the Molecular Mechanism Behind Clinical Tragedies of “Cephalosporin with Alcohol”. University Chemistry, 2025, 40(3): 42-51. doi: 10.12461/PKU.DXHX202403104
-
[5]
Jia JI , Tengqi YAO , Wenqian DENG , Wenjing SHI , Xuan LÜ , Lin TIAN , Xiaoyan XIN , Yinling HOU . Structures, antibacterial activities, and interactions with DNA of two nickel complexes. Chinese Journal of Inorganic Chemistry, 2026, 42(1): 78-86. doi: 10.11862/CJIC.20250141
-
[6]
Qiang HU , Zhiqi CHEN , Zhong CHEN , Xu WANG , Weina WU . Pyridinium-chalcone-based ClO- fluorescent probe: Preparation and biological imaging applications. Chinese Journal of Inorganic Chemistry, 2025, 41(9): 1789-1795. doi: 10.11862/CJIC.20250086
-
[7]
Yihui Song , Shangshang Qin , Kai Wu , Chengyun Jin , Bin Yu . 生物化学在高水平创新型药学人才培养中的交叉融合应用——以去甲基化酶LSD1抑制剂的活性评价为例. University Chemistry, 2025, 40(6): 341-352. doi: 10.12461/PKU.DXHX202406018
-
[8]
Jianfeng Yan , Yating Xiao , Xin Zuo , Caixia Lin , Yaofeng Yuan . Comprehensive Chemistry Experimental Design of Ferrocenylphenyl Derivatives. University Chemistry, 2024, 39(4): 329-337. doi: 10.3866/PKU.DXHX202310005
-
[9]
Lixing ZHANG , Yaowen WANG , Xu HAN , Junhong ZHOU , Jinghui WANG , Liping LI , Guangshe LI . Research progress in the synthesis of fluorine-containing perovskites and their derivatives. Chinese Journal of Inorganic Chemistry, 2025, 41(9): 1689-1701. doi: 10.11862/CJIC.20250007
-
[10]
Bin SUN , Heyan JIANG . Glucose-modified bis-Schiff bases: Synthesis and bio-activities in Alzheimer′s disease therapy. Chinese Journal of Inorganic Chemistry, 2025, 41(7): 1338-1350. doi: 10.11862/CJIC.20240428
-
[11]
Jia-He Li , Yu-Ze Liu , Jia-Hui Ma , Qing-Xiao Tong , Jian-Ji Zhong , Jing-Xin Jian . 洛芬碱衍生物的合成、化学发光与重金属离子检测. University Chemistry, 2025, 40(6): 230-237. doi: 10.12461/PKU.DXHX202407080
-
[12]
Maitri Bhattacharjee , Rekha Boruah Smriti , R. N. Dutta Purkayastha , Waldemar Maniukiewicz , Shubhamoy Chowdhury , Debasish Maiti , Tamanna Akhtar . Synthesis, structural characterization, bio-activity, and density functional theory calculation on Cu(Ⅱ) complexes with hydrazone-based Schiff base ligands. Chinese Journal of Inorganic Chemistry, 2024, 40(7): 1409-1422. doi: 10.11862/CJIC.20240007
-
[13]
Zhongyan Cao , Shengnan Jin , Yuxia Wang , Yiyi Chen , Xianqiang Kong , Yuanqing Xu . Advances in Highly Selective Reactions Involving Phenol Derivatives as Aryl Radical Precursors. University Chemistry, 2025, 40(4): 245-252. doi: 10.12461/PKU.DXHX202405186
-
[14]
Xiaofei Liu , He Wang , Li Tao , Weimin Ren , Xiaobing Lu , Wenzhen Zhang . Electrocarboxylation of Benzylic Phosphates and Phosphinates with Carbon Dioxide. Acta Physico-Chimica Sinica, 2024, 40(9): 2307008-0. doi: 10.3866/PKU.WHXB202307008
-
[15]
Yonghui ZHOU , Rujun HUANG , Dongchao YAO , Aiwei ZHANG , Yuhang SUN , Zhujun CHEN , Baisong ZHU , Youxuan ZHENG . Synthesis and photoelectric properties of fluorescence materials with electron donor-acceptor structures based on quinoxaline and pyridinopyrazine, carbazole, and diphenylamine derivatives. Chinese Journal of Inorganic Chemistry, 2024, 40(4): 701-712. doi: 10.11862/CJIC.20230373
-
[16]
Yikai Wang , Xiaolin Jiang , Haoming Song , Nan Wei , Yifan Wang , Xinjun Xu , Cuihong Li , Hao Lu , Yahui Liu , Zhishan Bo . Thickness-Insensitive, Cyano-Modified Perylene Diimide Derivative as a Cathode Interlayer Material for High-Efficiency Organic Solar Cells. Acta Physico-Chimica Sinica, 2025, 41(3): 100027-0. doi: 10.3866/PKU.WHXB202406007
-
[17]
Jiamin Zhang , Zhen Fan , Jianzhong Du . Integrated Teaching Method Combining Domestic and International Perspectives: A Case Study on Cultivating Innovative Talents in Polymeric Biomaterials. University Chemistry, 2025, 40(7): 156-160. doi: 10.12461/PKU.DXHX202409131
-
[18]
Yi RU , Tao MENG , Zhaoteng XUE , Dongsen MAO . Synergistic catalysis of Al distribution and pore structure in ZSM-5 zeolite for bioethanol-to-propylene. Chinese Journal of Inorganic Chemistry, 2026, 42(2): 247-262. doi: 10.11862/CJIC.20250255
-
[19]
Yurong Tang , Yunren Shi , Yi Xu , Bo Qin , Yanqin Xu , Yunfei Cai . Innovative Experiment and Course Transformation Practice of Visible-Light-Mediated Photocatalytic Synthesis of Isoquinolinone. University Chemistry, 2024, 39(5): 296-306. doi: 10.3866/PKU.DXHX202311087
-
[20]
Quanliang Chen , Zhaohui Zhou . Research on the Active Site of Nitrogenase over Fifty Years. University Chemistry, 2024, 39(7): 287-293. doi: 10.3866/PKU.DXHX202310133
-
[1]
Metrics
- PDF Downloads(4)
- Abstract views(2423)
- HTML views(730)
Login In
DownLoad: