Citation: YANG Jia-ke, ZUO Tong-jiu, LU Yu-ying, ZENG Wu-song, LU Jiang-yin. Catalytic performance of NiMo/Al2O3-USY in the hydrocracking of low-temperature coal tar[J]. Journal of Fuel Chemistry and Technology, ;2019, 47(9): 1053-1066. shu

Catalytic performance of NiMo/Al2O3-USY in the hydrocracking of low-temperature coal tar

  • Corresponding author: LU Jiang-yin, jiangyinlu6410@163.com
  • Received Date: 28 May 2019
    Revised Date: 4 July 2019

    Fund Project: The project was supported by the National Natural Science Foundation of China (21366030)the National Natural Science Foundation of China 21366030

Figures(15)

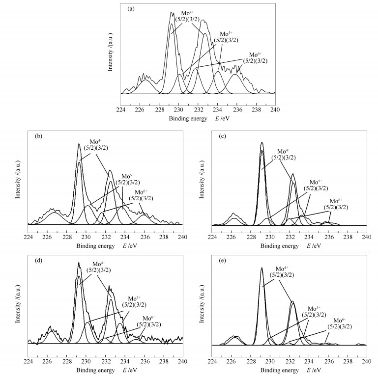
  • A series of NiMo/Al2O3-USY catalysts with different MoO3 contents were prepared through incipient wetness method and further modified with NH4F. The NiMo/Al2O3-USY catalysts were characterized by XRD, XPS, HR-TEM, NH3-TPD, H2-TPR and N2 adsorption and their catalytic performance in the hydrocracking of low-temperature coal tar (LTCT) was investigated in a 200 mL fixed-bed reactor. The results indicate that the appropriate MoO3 content is 15% (mass ratio); higher MoO3 content may lead to the agglomeration of active metals on the support, although it has little influence on the sulfidation degree of Mo species and the conversion of coal tar upon hydrocracking. In addition, the amount of strong acid sites and pore diameter decrease gradually with a further increase in the MoO3 content, which is disadvantageous for deep hydrocracking. The modification of USY zeolite with NH4F solution can enlarge the average pore diameter of resultant NiMo/Al2O3-USY catalysts and then improve the residue conversion of coal tar. However, the amount of strong acid sites decreases obviously when the concentration of NH4F solution exceeds 0.6 mol/L, which may lead to an increase of the sulfur content in the hydrocracking product. Over the NiMo/Al2O3-USY catalyst modified with 0.6 mol/L NH4F solution, the residue conversion of coal tar reaches 87.65%; the sulfur contents in the gasoline fraction (< 180 ℃) and diesel fraction (180-320 ℃) are 5.96 and 34.98 mg/kg, respectively.
  • 加载中
    1. [1]

      YAN Lun-jing. Analysis on converting gaseous tar to light arenes by catalytic cracking[D]. Taiyuan: Taiyuan University of Technology, 2016. 

    2. [2]

      SUN J M, LI D, YAO R Q, SUN Z H, LI X K, LI W H. Modeling the hydrotreatment of full range medium temperature coal tar by using a lumping kinetic approach[J]. React Kinet Mech Catal, 2015,114(2):451-471. doi: 10.1007/s11144-014-0791-2

    3. [3]

      MA Bao-qi. Preparation of Fuel Oil from Coal Tar[M]. Beijing:Chemical Industry Press, 2011.

    4. [4]

      CUI W G, ZHENG H A, NIU M L, ZHANG S J, LI D, QIAO J, LI W H. Product compositions from catalytic hydroprocessing of low temperature coal tar distillate over three commercial catalysts[J]. React Kinet Mech Catal, 2016,119(2):491-509. doi: 10.1007/s11144-016-1068-8

    5. [5]

      XIA Liang-yan. Study on hydroprocessing technology and catalysts of LTCT from polygeneration[D]. Hangzhou: Zhejiang University, 2015. 

    6. [6]

      FENG X, LI D, CHEN J H, NIU M L, LIU X, LESTER L T, LI W H. Kinetic parameter estimation and simulation of trickle-bed reactor for hydrodesulfurization of whole fraction low-temperature coal tar[J]. Fuel, 2018,230:113-125. doi: 10.1016/j.fuel.2018.05.023

    7. [7]

      ZHANG Shi-wan. Study on light-end products of coal tar with catalytic hydrogenation and catalyst[D]. Shanghai: East China University of Science and Technology, 2012. 

    8. [8]

      ZHANG H Y, CHEN G W, BAI L, CHANG N, WANG Y G. Selective hydrogenation of aromatics in coal-derived liquids over novel NiW and NiMo carbide catalysts[J]. Fuel, 2019,244:359-365. doi: 10.1016/j.fuel.2019.02.015

    9. [9]

      VAN N B, DOROTHEE L, PAVEL A, CHRISTOPHE G. Hydrodeoxygenation of guaiacol with CoMo catalysts. Part Ⅰ:Promoting effect of cobalt on HDO selectivity and activity[J]. Appl Catal B:Environ, 2011,101(3/4):239-245.

    10. [10]

      ZHANG D Q, DUAN A J, ZHAO Z, WANG X Q, JIANG G Y, LIU J, WANG C Y. Synthesis, characterization and catalytic performance of meso-microporous material Beta-SBA-15-supported NiMo catalysts for hydrodesulfurization of dibenzothiophene[J]. Catal Today, 2011,175(1):477-484. doi: 10.1016/j.cattod.2011.03.060

    11. [11]

      XU Nan, LIANG Nai-sen, ZHANG Shun-guang, DUAN Yan, HOU Kai-hu. Synthesis of β-MCM-41 and its application in gasoline isomerization/hydrodesulfurization[J]. Acta Pet Sin(Pet Process Sect), 2012,28(6):913-919. doi: 10.3969/j.issn.1001-8719.2012.06.005

    12. [12]

      MENG J P, WANG Z Y, MA Y H, LU J Y. Hydrocracking of low-temperature coal tar over NiMo/Beta-KIT-6 catalyst to produce gasoline oil[J]. Fuel Process Technol, 2017,165:62-71. doi: 10.1016/j.fuproc.2017.05.009

    13. [13]

      KAZAKOV M O, NADEINA K A, DANILOVA I G, DIK P P, KLIMOV O V, PEREYMA V Y, PAUKSHTIS E A, GOLUBEV I S, PROSVIRIN I P, GERASIMOV E Y, DOBRYAKOVA I V, KNYAZEVA E E, IVANOVA I I, NOSKOV A S. Influence of USY zeolite recrystallization on physicochemical properties and catalytic performance of NiMo/USY-Al2O3 hydrocracking catalysts[J]. Catal Today, 2019,329:108-115. doi: 10.1016/j.cattod.2019.01.003

    14. [14]

      RAYO P, TORRES M P, CENTENTO G, FERNANDO A, JOSE A D, ANCHEYTA J. Effect of silicon incorporation method in the supports of NiMo catalysts for hydrotreating reactions[J]. Fuel, 2019,239:1293-1303. doi: 10.1016/j.fuel.2018.10.102

    15. [15]

      FERRAZ S, ZOTIN F, ARAUJO L. Influence of support acidity of NiMoS catalysts in the activity for hydrogenation and hydrocracking of tetralin[J]. Appl Catal A:Gen, 2010,384(1):51-57.  

    16. [16]

      CHEN Song, XU Jie, YANG Yong-rong, WANG Jing-dai, ZHANG Xiao-ping, ZHANG Kui-xi. Nanometer β zeolite made from mesoporous zeolite and its hydrocracking performance[J]. Chin J Catal, 2006,27(3):255-258. doi: 10.3321/j.issn:0253-9837.2006.03.013

    17. [17]

      ZHANG Xue-jun, WANG Zong-xian, GUO Ai-jun, YUAN Zong-sheng, WANG Fu-cun. Modification of zeolite Y for preparation of the maxinizing middle distillates hydrocracking catalyst[J]. J Fuel Chem Technol, 2008,36(5):606-609. doi: 10.3969/j.issn.0253-2409.2008.05.017

    18. [18]

      SHALI N B, SUGUNAN S. Influence of transition metals on the surface acidic properties of titania prepared by sol-gel route[J]. Mater Res Bull, 2007,42(9):1777-1783. doi: 10.1016/j.materresbull.2006.11.016

    19. [19]

      RAJAGOPAL S, MARZARI J A, MIRANDA R. Silica-alumina-supported Mo oxide catalysts:Genesis and demise of Brønsted-Lewis acidity[J]. J Catal, 1995,151(1):192-203. doi: 10.1006/jcat.1995.1021

    20. [20]

      JOSE E, MARIA C B, ANA W G, MARIA A, CORTES J, CARLOS A C, JOSE A T. Highly active P-doped sulfided NiMo/alumina HDS catalysts from Mo-blue by using saccharose as reducing agents precursor[J]. Appl Catal B:Environ, 2018,237:708-720. doi: 10.1016/j.apcatb.2018.06.034

    21. [21]

      KLIMOV O V, NADEINA K A, DIK P P, KORYAKINA G I, PEREYMA V Y, KAZAKOV M O, BUDUKVA S V, GERASIMOV E Y, PROSVIRIN I P, KOCHUBEY D I, NOSKOV A S. CoNiMo/Al2O3 catalysts for deep hydrotreatment of vacuum gasoil[J]. Catal Today, 2016,271:56-63. doi: 10.1016/j.cattod.2015.11.004

    22. [22]

      MENG Xin-xin, QIU Ze-gang, GUO Xing-mei, LI Zhen-rong, HU Nai-fang, SONG Mao-ning, ZHAO Liang-fu. Hydrodenitrogenation and hydrodesulfurization of coal tar on Ni-W catalysts with different metal loadings[J]. J Fuel Chem Technol, 2016,44(5):570-578. doi: 10.3969/j.issn.0253-2409.2016.05.009

    23. [23]

      BERIT H, N R J K, HENRSK T E. A density functional study of the chemical differences between Type Ⅰ and Type Ⅱ MoS2-based structures in hydrotreating catalysts[J]. J Phys Chem B, 2005,109(6):2245-2253. doi: 10.1021/jp048842y

    24. [24]

      YIN H L, ZHOU T N, LLU Y Q, CHAI Y M, LIU C G. NiMo/Al2O3 catalyst containing nano-sized zeolite Y for deep hydrodesulfurization and hydrodenitrogenation of diesel[J]. J Nat Gas Chem, 2011,20(4):441-448. doi: 10.1016/S1003-9953(10)60204-6

    25. [25]

      YU F, HAN X, GANG S, LIU H Y, QIAN Y, WANG T H, GONG G B, BAO X J. Citrc acid-assisted hydrothermal method for preparing NiW/USY-Al2O3 ultradeep hydrodesulfurization catalysts[J]. J Catal, 2011,279(5):27-35.

    26. [26]

      FANG Xiang-chen. Hydrocracking[M]. Beijing:China Petrochemical Press, 2008.

    27. [27]

      ZHANG Deng-qian. Synthesis of meso-microporous composite materials and their applications in the catalysts for the hydrodesulfurization of diesel[D]. Beijing: China University of Petroleum, 2010. 

    28. [28]

      REN Liang, MAO Yi-chao, LIU Kun-hong, NIE Hong. Hydrocracking of decane on different acidity Y zeolite catalysts[J]. Acta Pet Sin(Pet Process Sect), 2009,25(1):31-35. doi: 10.3969/j.issn.1001-8719.2009.01.006

    29. [29]

      AROLDY P, JONGE J C M D, MOULIJNN J A. Temperature-programed reduction of molybdenum(Ⅵ) oxide and molybdenum(Ⅳ) oxide[J]. J Phys Chem, 1985,89(21):4517-4526. doi: 10.1021/j100267a021

    30. [30]

      HENKER M, WENDLANDT K P, VALYON J, BORNMANN P. Structure of MoO3/Al2O3-SiO2 catalysts[J]. Appl Catal, 1991,69(1):205-220. doi: 10.1016/S0166-9834(00)83303-5

    31. [31]

      SHEILA G A, FATIMA M, LUCIA R, RADDI A, JOSE L Z. Influence of support acidity of NiMoS catalysts in the activity for hydrogenation and hydrocracking of tetralin[J]. Appl Catal A:Gen, 2010,384(1/2):51-57.  

  • 加载中
    1. [1]

      Liuyun ChenWenju WangTairong LuXuan LuoXinling XieKelin HuangShanli QinTongming SuZuzeng QinHongbing Ji . Soft template-induced deep pore structure of Cu/Al2O3 for promoting plasma-catalyzed CO2 hydrogenation to DME. Acta Physico-Chimica Sinica, 2025, 41(6): 100054-0. doi: 10.1016/j.actphy.2025.100054

    2. [2]

      Xiaorui ChenXuan LuoTongming SuXinling XieLiuyun ChenYuejing BinZuzeng QinHongbing Ji . Ga-doped Cu/γ-Al2O3 bifunctional interface sites promote the direct hydrogenation of CO2 to DME. Acta Physico-Chimica Sinica, 2025, 41(10): 100126-0. doi: 10.1016/j.actphy.2025.100126

    3. [3]

      Hongyi LIAimin WULiuyang ZHAOXinpeng LIUFengqin CHENAikui LIHao HUANG . Effect of Y(PO3)3 double-coating modification on the electrochemical properties of Li[Ni0.8Co0.15Al0.05]O2. Chinese Journal of Inorganic Chemistry, 2024, 40(7): 1320-1328. doi: 10.11862/CJIC.20230480

    4. [4]

      Weihan ZhangMenglu WangAnkang JiaWei DengShuxing Bai . Surface Sulfur Species Influence Hydrogenation Performance of Palladium-Sulfur Nanosheets. Acta Physico-Chimica Sinica, 2024, 40(11): 2309043-0. doi: 10.3866/PKU.WHXB202309043

    5. [5]

      Yingtong ShiGuotong XuGuizeng LiangDi LanSiyuan ZhangYanru WangDaohao LiGuanglei Wu . PEG-VN改性PP隔膜用于高稳定性高效率锂硫电池. Acta Physico-Chimica Sinica, 2025, 41(7): 100082-0. doi: 10.1016/j.actphy.2025.100082

    6. [6]

      Wenlong LIXinyu JIAJie LINGMengdan MAAnning ZHOU . Photothermal catalytic CO2 hydrogenation over a Mg-doped In2O3-x catalyst. Chinese Journal of Inorganic Chemistry, 2024, 40(5): 919-929. doi: 10.11862/CJIC.20230421

    7. [7]

      Xinpeng LIULiuyang ZHAOHongyi LIYatu CHENAimin WUAikui LIHao HUANG . Ga2O3 coated modification and electrochemical performance of Li1.2Mn0.54Ni0.13Co0.13O2 cathode material. Chinese Journal of Inorganic Chemistry, 2024, 40(6): 1105-1113. doi: 10.11862/CJIC.20230488

    8. [8]

      Xuejiao WangSuiying DongKezhen QiVadim PopkovXianglin Xiang . Photocatalytic CO2 Reduction by Modified g-C3N4. Acta Physico-Chimica Sinica, 2024, 40(12): 2408005-0. doi: 10.3866/PKU.WHXB202408005

    9. [9]

      Ting YANGJia ANJinyu ZHANGRuonan FANRong YANXiaoxia JINGPanpan CHANGWei YAN . Synergistic enhancement of ion migration and sulfur conversion kinetics in lithium-sulfur batteries by CeO2/g-C3N4. Chinese Journal of Inorganic Chemistry, 2026, 42(3): 519-530. doi: 10.11862/CJIC.20250274

    10. [10]

      Weikang WangYadong WuJianjun ZhangKai MengJinhe LiLele WangQinqin Liu . Green H2O2 synthesis via melamine-foam supported S-scheme Cd0.5Zn0.5In2S4/S-doped carbon nitride heterojunction: synergistic interfacial charge transfer and local photothermal effect. Acta Physico-Chimica Sinica, 2025, 41(8): 100093-0. doi: 10.1016/j.actphy.2025.100093

    11. [11]

      Haitao WangLianglang YuJizhou JiangArramelJing Zou . S-Doping of the N-Sites of g-C3N4 to Enhance Photocatalytic H2 Evolution Activity. Acta Physico-Chimica Sinica, 2024, 40(5): 2305047-0. doi: 10.3866/PKU.WHXB202305047

    12. [12]

      Yanyan ZhaoZhen WuYong ZhangBicheng ZhuJianjun Zhang . Enhancing photocatalytic H2O2 production via dual optimization of charge separation and O2 adsorption in Au-decorated S-vacancy-rich CdIn2S4. Acta Physico-Chimica Sinica, 2025, 41(11): 100142-0. doi: 10.1016/j.actphy.2025.100142

    13. [13]

      Yan'e LIUShengli JIAYifan JIANGQinghua ZHAOYi LIXinshu CHANG . MoO3/cellulose derived carbon aerogel: Fabrication and performance as cathode for lithium-sulfur battery. Chinese Journal of Inorganic Chemistry, 2025, 41(8): 1565-1573. doi: 10.11862/CJIC.20250054

    14. [14]

      Shuhao FENGFeibing XIONGYaqing LINHan SUXu HAN . Preparation and luminescent properties of alkaline metal doped Cd3Al2Ge3O12: Pr3+ orange phosphors. Chinese Journal of Inorganic Chemistry, 2026, 42(2): 284-296. doi: 10.11862/CJIC.20250171

    15. [15]

      Tao WangQin DongCunpu LiZidong Wei . Sulfur Cathode Electrocatalysis in Lithium-Sulfur Batteries: A Comprehensive Understanding. Acta Physico-Chimica Sinica, 2024, 40(2): 2303061-0. doi: 10.3866/PKU.WHXB202303061

    16. [16]

      Haotian ZhangShengfa FengMufan CaoXiong Xiong LiuPengcheng YuanYaping WangMin GaoLong PanZhengming Sun . Al2O3 coated polyimide porous films enable thin yet strong polymer-in-salt solid-state electrolytes for dendrite-free lithium metal batteries. Chinese Chemical Letters, 2025, 36(8): 111096-. doi: 10.1016/j.cclet.2025.111096

    17. [17]

      Beibei Gao Lipeng Zhou Dexin Yang . Integrating the “Dual Carbon” Concept into Teaching Reform of Physical Chemistry: A Case of CO2 Hydrogenation to CH3OH. University Chemistry, 2026, 41(3): 248-253. doi: 10.12461/PKU.DXHX202504011

    18. [18]

      Xiaoqi LANWei LIDeyi YANGHao WANGZheng LIURongting GUOQizhi CHEN . Preparation and electrochemical performance of “sandwich structured” MXene Ti3C2Tx/hollow ZIF-67 sulfur host composites. Chinese Journal of Inorganic Chemistry, 2026, 42(4): 760-772. doi: 10.11862/CJIC.20250273

    19. [19]

      Feifei YangWei ZhouChaoran YangTianyu ZhangYanqiang Huang . Enhanced Methanol Selectivity in CO2 Hydrogenation by Decoration of K on MoS2 Catalyst. Acta Physico-Chimica Sinica, 2024, 40(7): 2308017-0. doi: 10.3866/PKU.WHXB202308017

    20. [20]

      Qinhui GuanYuhao GuoNa LiJing LiTingjiang Yan . Molecular sieve-mediated indium oxide catalysts for enhancing photocatalytic CO2 hydrogenation. Acta Physico-Chimica Sinica, 2025, 41(11): 100133-0. doi: 10.1016/j.actphy.2025.100133

Metrics
  • PDF Downloads(11)
  • Abstract views(1827)
  • HTML views(448)

通讯作者: 陈斌, bchen63@163.com
  • 1. 

    沈阳化工大学材料科学与工程学院 沈阳 110142

  1. 本站搜索
  2. 百度学术搜索
  3. 万方数据库搜索
  4. CNKI搜索
Address:Zhongguancun North First Street 2,100190 Beijing, PR China Tel: +86-010-82449177-888
Powered By info@rhhz.net

/

DownLoad:  Full-Size Img  PowerPoint
Return