Citation: WEI Ling, WU Ying-quan, ZHAO Jian-tao, TAN Yi-sheng. Role of coal surface functional groups in methane cracking over different chars[J]. Journal of Fuel Chemistry and Technology, ;2016, 44(6): 661-667. shu

Role of coal surface functional groups in methane cracking over different chars

  • Corresponding author: TAN Yi-sheng, tan@sxicc.ac.cn
  • Received Date: 15 December 2015
    Revised Date: 21 January 2016

Figures(7)

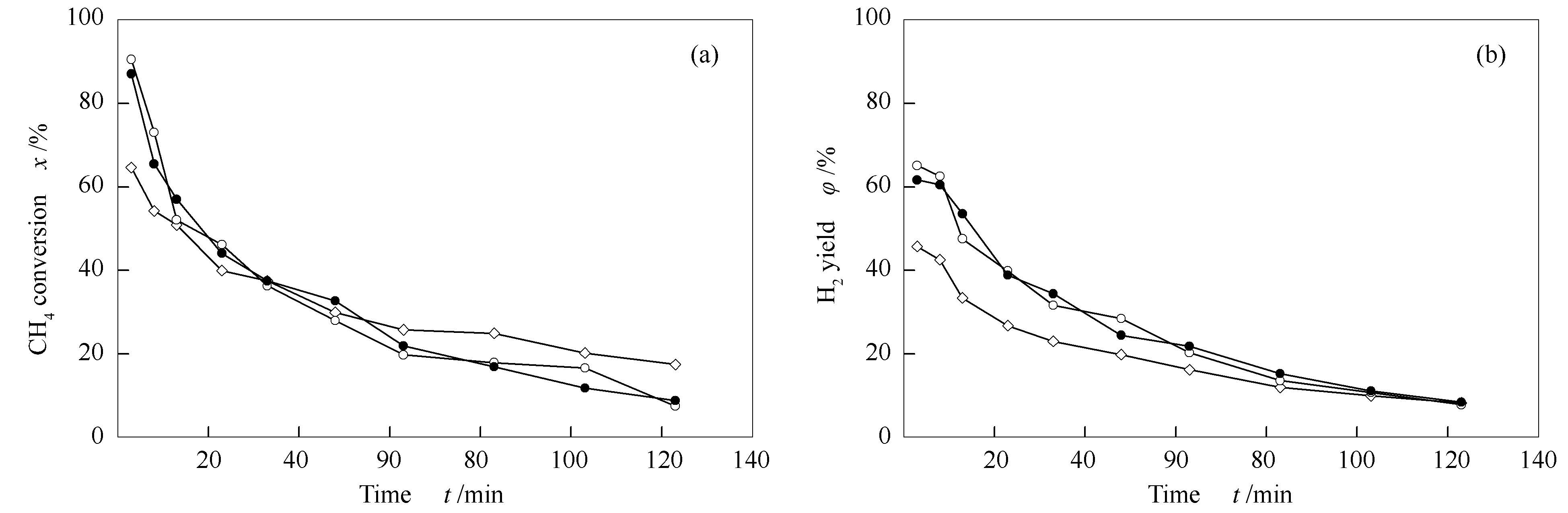
  • Methane cracking was studied over a set of Xiaolongtan lignite chars in a fixed bed reactor at 1123K and atmospheric pressure with a mixture of CH4/N2 (1:4). The chars were obtained by pyrolysis of raw Xiaolongtan coal in nitrogen at 1173K for 30min in a fixed bed reactor. The main functional groups in coal char were hydroxyl group, carbonyl group and ether bond and so on, which can be protected by dipping the char into solutions of barium hydroxide, phenyl hydrazine and hydrogen iodide, respectively. The catalytic activity of coal chars treated by barium hydroxide was lower than the raw chars, while that of the chars treated by phenyl hydrazine or hydrogen iodide were higher. Hydroxy in the coal char was expended by Ba (OH)2. The initial methane conversion was achieved at about 90.5% for the Ba (OH)2 -treated char with equivalent-volume impregnation. The corresponding hydrogen yield was at about 65.2%. The carbonyl group of the coal char was reduced by phenyl hydrazine, with the methane conversion and hydrogen yield about 55.4% and 42.9%, respectively. The methane conversion and hydrogen yield decreased, while the ether bond turned into hydroxy. It was speculated that hydroxyl group in coal char restrain the methane cracking, while carbonyl group and ether bond accelerate it. The methane conversion and hydrogen yield on the different coal chars decreased with increasing reaction duration. The char became deactivated at 123min following its exposure to methane. The main reason was that the carbon from methane cracking was deposited on the char, which is supported by scanning electron microscopy analysis.
  • 加载中
    1. [1]

      XU Shan, WANG Xiao-lai, ZHAO Rui. Study on the production of hydrogen from methane[J]. Prog Chem, 2003,15(2):141-150.  

    2. [2]

      BAI Zong-qing, CHEN Hao-kan, LI Wen, LI Bao-qing. Hydrogen production from methane pyrolytic decomposition over activated carbons[J]. J Fuel Chem Technol, 2006,34(1):66-70.  

    3. [3]

      BAI Zong-qing, CHEN Hao-kan, LI Wen, LI Bao-qing. Hydrogen production by methane decomposition over activated carbon in a fluidized-bed reactor[J]. Nat Gas Chem Ind, 2006,31(1):1-4.  

    4. [4]

      STEINBERG M. The Hy-C process (thermal decomposition of natural gas) potentially the lowest cost source of hydrogen with the least CO2 emission[J]. Energy Convers Manage, 1995,36(6/9):791-796.  

    5. [5]

      POIRIER M G, SAPUNDZHIEV C. Catalytic decomposition of natural gas to hydrogen for fuel cell applications[J]. Int J Hydrogen Energy, 1997,22(4):429-433. doi: 10.1016/S0360-3199(96)00101-2

    6. [6]

      CHOUDHARY T V, SIVADINARAYANA C, CHUSUEI C C, KLINGHOFFER A, GOODMAN D W. Hydrogen production via catalytic decomposition of methane[J]. J Catal, 2001,199(1):9-18. doi: 10.1006/jcat.2000.3142

    7. [7]

      PAN Zhi-yong, SHEN Shi-kong. Hydrogen production via direct cracking of methane over Ni/SiO2 catalysts[J]. J Fuel Chem Technol, 2003,31(5):466-470.  

    8. [8]

      SERBAN M, LEWIS M A, MARSHALL C L, DOCTOR R D. Hydrogen production by direct contact pyrolysis of natural gas[J]. Energy Fuels, 2003,17(3):705-713. doi: 10.1021/ef020271q

    9. [9]

      CHEN J L, LI Y D, LI Z Q, ZHANG X X. Production of COx-free hydrogen and nanocarbon by direct decomposition of undiluted methane on Ni-Cu-alumina catalysts[J]. App Catal A:Gen, 2004,269(1/2):179-186.  

    10. [10]

      BAI Zong-qing, CHEN Hao-kan, LI Wen, LI Bao-qing. Study on the thermal performance of metallurgical coke under methane by TG-MS[J]. J Fuel Chem Technol, 2005,33(4):426-430.  

    11. [11]

      MURADOV N. CO2-free production of hydrogen by catalytic pyrolysis of hydrocarbon fuel[J]. Energy Fuels, 1998,12(1):41-48. doi: 10.1021/ef9701145

    12. [12]

      MURADOV N. Hydrocarbon-based systems for CO2-free production of hydrogen//Proceeding of 13th World Hydrogen Energy Conference[J]. Beijing, 2000:428-433.

    13. [13]

      MURADOV N. Catalysis of methane decomposition over elemental carbon[J]. Catal Commun, 2001,2(3/4):89-94.  

    14. [14]

      MURADOV N. Hydrogen via methane decomposition:An application for decarbonization of fossil fuels[J]. Int J Hydrogen Energy, 2001,26(11):1165-1175. doi: 10.1016/S0360-3199(01)00073-8

    15. [15]

      MURADOV N, VEZIROGLU T N. From hydrogen to hydrogen-carbon to hydrogen economy[J]. Int J Hydrogen Energy, 2005,30(3):225-237. doi: 10.1016/j.ijhydene.2004.03.033

    16. [16]

      BAI Z Q, CHEN H K, LI W, LI B Q. Hydrogen production by methane decomposition over coal char[J]. Int J Hydrogen Energy, 2006,31(7):899-905. doi: 10.1016/j.ijhydene.2005.08.001

    17. [17]

      SUN Z Q, WU J H, HAGHIGHI M, BROMLY J, NG E, WEE H L, WANG Y, ZHANG D K. Methane cracking over a bituminous coal char[J]. Energy Fuels, 2007,21(3):1601-1605. doi: 10.1021/ef060616v

    18. [18]

      ZHANG Y, WU J H, ZHANG D K. Cracking of simulated oil refinery off-gas over a coal char, petroleum coke, and quartz[J]. Energy Fuels, 2008,22(2):1142-1147. doi: 10.1021/ef700680d

    19. [19]

      XU Ze-xi, WU Jin-hu, WANG Yang, ZHANG Dong-ke. Methane craking over lignite char[J]. J Fuel Chem Technol, 2009,37(3):277-281.  

    20. [20]

      WEI L, TAN Y S, HAN Y Z, ZHAO J T, WU J H, ZHANG D K. Hydrogen production by methane cracking over different coal chars[J]. Fuel, 2011,90(11):3473-3479. doi: 10.1016/j.fuel.2011.06.053

    21. [21]

      WEI Ling, TAN Yi-sheng, HAN Yi-zhuo, ZHAO Jian-tao. Influence of coal char on methane cracking[J]. CIESC J, 2015,66(9):3733-3738.  

    22. [22]

      ZHU Zhi-pei, GAO Jin-sheng. Coal Chemistry[M]. Shanghai:Shanghai Scientific & Technical Publishers, 1984, 122-129.)

    23. [23]

      LI Qing-zhao, LIN Bai-quan, ZHAO Chang-sui, WU Wei-fang. Chemical structure analysis of coal char surface based on Fourier-Transform infrared spectrometer[J]. Proc CSEE, 2011,31(32):46-52.  

    24. [24]

      FIGUEIREDO J L, PEREIRA M F R, FREITAS M M A, ORFAO J J M. Modification of the surface chemistry of activated carbons[J]. Carbon, 1999,37:1379-1389. doi: 10.1016/S0008-6223(98)00333-9

    25. [25]

      MENG Hua-ping. The catalytic effect of oxygen-containing group in coal char surface on methane decomposition reaction. Taiyuan:Taiyuan University of Technology, 2008.)

    26. [26]

      SHAN Xiao-mei, ZHU Shu-quan, ZHANG Wen-hui, LI Shu-rong, LI Shu-qin. Modification surface properties of coal based and coconut shell activated carbons by oxidation[J]. J China Univ Min Technol, 2003,32(6):729-733.  

  • 加载中
    1. [1]

      Lele FengXueying BaiJifeng PangHongchen CaoXiaoyan LiuWenhao LuoXiaofeng YangPengfei WuMingyuan Zheng . Single-atom Pd boosted Cu catalysts for ethanol dehydrogenation. Acta Physico-Chimica Sinica, 2025, 41(9): 100100-0. doi: 10.1016/j.actphy.2025.100100

    2. [2]

      Yuwei Song Wan He Kaiyue Jiang Mengzhao Xi Xinyue Wang Jie Li Yan Zhang . Learning and Memorizing Common Named Reactions in College Organic Chemistry. University Chemistry, 2026, 41(2): 400-410. doi: 10.12461/PKU.DXHX202501004

    3. [3]

      Yuanyuan Ping Wangqing Kong . 光催化碳氢键官能团化合成1-苯基-1,2-乙二醇. University Chemistry, 2025, 40(6): 238-247. doi: 10.12461/PKU.DXHX202408092

    4. [4]

      Xinyu Zhu Meili Pang . Application of Functional Group Addition Strategy in Organic Synthesis. University Chemistry, 2024, 39(3): 218-230. doi: 10.3866/PKU.DXHX202308106

    5. [5]

      Wen Jiang Jieli Lin Zhongshu Li . 低配位含磷官能团的研究进展. University Chemistry, 2025, 40(8): 138-151. doi: 10.12461/PKU.DXHX202409144

    6. [6]

      Shengwen XULonglong YANGHouji CAODeshuang TUXing WEIChangsheng LUHong YAN . Research progress on light-induced functionalization of polyhedral carborane clusters. Chinese Journal of Inorganic Chemistry, 2025, 41(11): 2187-2200. doi: 10.11862/CJIC.20250192

    7. [7]

      Qi Zhang Ziyu Liu Hongxia Tan Jun Tong Dazhen Xu . Research Progress on Direct Synthesis of β-Hydroxy Sulfones via Difunctionalization of Olefins. University Chemistry, 2025, 40(11): 199-209. doi: 10.12461/PKU.DXHX202412064

    8. [8]

      Danqing Wu Jiajun Liu Tianyu Li Dazhen Xu Zhiwei Miao . Research Progress on the Simultaneous Construction of C—O and C—X Bonds via 1,2-Difunctionalization of Olefins through Radical Pathways. University Chemistry, 2024, 39(11): 146-157. doi: 10.12461/PKU.DXHX202403087

    9. [9]

      Shi-Yu LuWenzhao DouJun ZhangLing WangChunjie WuHuan YiRong WangMeng Jin . Amorphous-Crystalline Interfaces Coupling of CrS/CoS2 Few-Layer Heterojunction with Optimized Crystallinity Boosted for Water-Splitting and Methanol-Assisted Energy-Saving Hydrogen Production. Acta Physico-Chimica Sinica, 2024, 40(8): 2308024-0. doi: 10.3866/PKU.WHXB202308024

    10. [10]

      Xueqi YangJuntao ZhaoJiawei YeDesen ZhouTingmin DiJun Zhang . 调节NNU-55(Fe)的d带中心以增强CO2吸附和光催化活性. Acta Physico-Chimica Sinica, 2025, 41(7): 100074-0. doi: 10.1016/j.actphy.2025.100074

    11. [11]

      Ziyang LongQuanzheng LiChengliang ZhangHaifeng Shi . BiVO4/WO3-x S-scheme heterojunctions with amplified internal electric field for boosting photothermal-catalytic activity. Acta Physico-Chimica Sinica, 2025, 41(10): 100122-0. doi: 10.1016/j.actphy.2025.100122

    12. [12]

      Jie ZHAOHuili ZHANGXiaoqing LUZhaojie WANG . Theoretical calculations of CO2 capture and separation by functional groups modified 2D covalent organic framework. Chinese Journal of Inorganic Chemistry, 2025, 41(2): 275-283. doi: 10.11862/CJIC.20240213

    13. [13]

      Linjie ZHUXufeng LIU . Synthesis, characterization and electrocatalytic hydrogen evolution of two di-iron complexes containing a phosphine ligand with a pendant amine. Chinese Journal of Inorganic Chemistry, 2025, 41(5): 939-947. doi: 10.11862/CJIC.20240416

    14. [14]

      Jianan HongChenyu XuYan LiuChangqi LiMenglin WangYanwei Zhang . Decoding the interfacial competition between hydrogen evolution and CO2 reduction via edge-active-site modulation in photothermal catalysis. Acta Physico-Chimica Sinica, 2025, 41(9): 100099-0. doi: 10.1016/j.actphy.2025.100099

    15. [15]

      Yutong Liu Xuemin Jing . Research Progress on the Catalytic Conversion of Methane in the Context of the “Dual Carbon” Goals. University Chemistry, 2025, 40(10): 101-113. doi: 10.12461/PKU.DXHX202412018

    16. [16]

      Yuanqing WangYusong PanHongwu ZhuYanlei XiangRong HanRun HuangChao DuChengling Pan . Enhanced Catalytic Activity of Bi2WO6 for Organic Pollutants Degradation under the Synergism between Advanced Oxidative Processes and Visible Light Irradiation. Acta Physico-Chimica Sinica, 2024, 40(4): 2304050-0. doi: 10.3866/PKU.WHXB202304050

    17. [17]

      Xuejie WangGuoqing CuiCongkai WangYang YangGuiyuan JiangChunming Xu . Research Progress on Carbon-based Catalysts for Catalytic Dehydrogenation of Liquid Organic Hydrogen Carriers. Acta Physico-Chimica Sinica, 2025, 41(5): 100044-0. doi: 10.1016/j.actphy.2024.100044

    18. [18]

      Chengyan GeJiawei HuXingyu LiuYuxi SongChao LiuZhigang Zou . Self-integrated black NiO clusters with ZnIn2S4 microspheres for photothermal-assisted hydrogen evolution by S-scheme electron transfer mechanism. Acta Physico-Chimica Sinica, 2026, 42(1): 100154-0. doi: 10.1016/j.actphy.2025.100154

    19. [19]

      Kai CHENFengshun WUShun XIAOJinbao ZHANGLihua ZHU . PtRu/nitrogen-doped carbon for electrocatalytic methanol oxidation and hydrogen evolution by water electrolysis. Chinese Journal of Inorganic Chemistry, 2024, 40(7): 1357-1367. doi: 10.11862/CJIC.20230350

    20. [20]

      Yue Zhao Yanfei Li Tao Xiong . Copper Hydride-Catalyzed Nucleophilic Additions of Unsaturated Hydrocarbons to Aldehydes and Ketones. University Chemistry, 2024, 39(4): 280-285. doi: 10.3866/PKU.DXHX202309001

Metrics
  • PDF Downloads(0)
  • Abstract views(1562)
  • HTML views(385)

通讯作者: 陈斌, bchen63@163.com
  • 1. 

    沈阳化工大学材料科学与工程学院 沈阳 110142

  1. 本站搜索
  2. 百度学术搜索
  3. 万方数据库搜索
  4. CNKI搜索
Address:Zhongguancun North First Street 2,100190 Beijing, PR China Tel: +86-010-82449177-888
Powered By info@rhhz.net

/

DownLoad:  Full-Size Img  PowerPoint
Return