Citation:
Qiao Zongwen, Chen Tao. Effect of Side Chain Structure on Properties of Side Chain Type Sulfonated Polysulfone Proton Exchange Membranes[J]. Chemistry,
;2019, 82(5): 457-462.
-
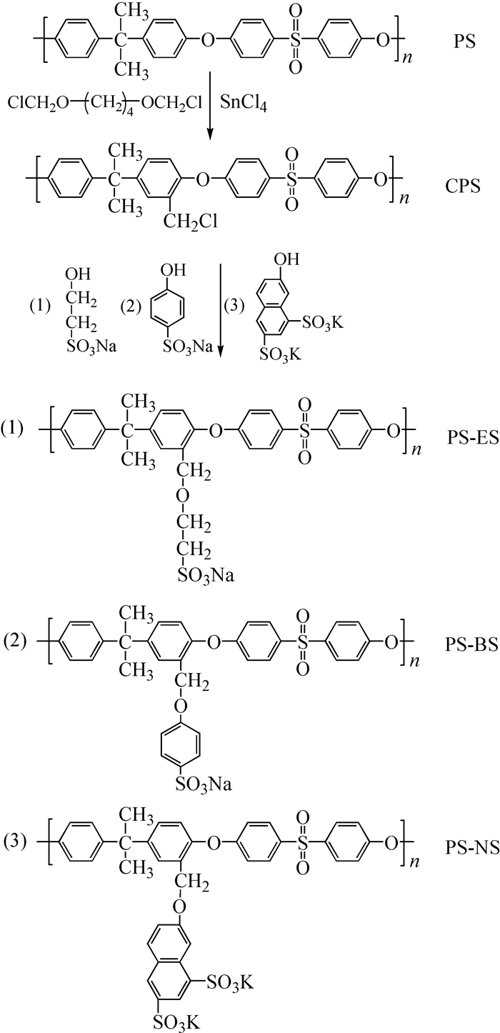
The chloromethylated polysulfone (CPS) was obtained by introducing chloromethyl group onto the main chain of PS with 1, 4-bischloromethoxyl butane (BCD) as reagent. Subsequently naphthalenesulfonic acid type side chain polysulfone (PS-NS) was prepared via nucleophilic substitution with 2-naphthol-6, 8-disulfonic acid dipotassium as nucleophilic reagent. The corresponding proton exchange membranes (PEMs) were fabricated by solution casting method after characterizing their structures by FT-IR and 1H NMR. Based on the aliphatic sulfoacid type side chain sulfonated polysulfone (PS-ES) and benzene sulfoacid type side chain sulfonated polysulfone (PS-BS) in our previous research, the effects of side chain structure on performance including wateruptaking, swelling ratio and proton conductivity of PEMs were explored. The results showed that the three kind of PEMs keep better size stability at high wateruptaking compared with the main chain type aromatic PEMs because they could form micro-phase separation by locating the hydrophilic sulfonic acid group far away from hydrophobic polysulfone main chain. As the number of rigid benzene rings in the side chain increases, the flexibility of the side chains weakens, resulting in increased dimensional stability of the PEMs and a corresponding decrease in proton conductivity. The proton conductivity of PS-ES was up to 0.072S/cm at 25℃ and 0.141S/cm at 85℃. The swelling ratio of PS-NS PEM was only 21.8% at 25℃ and 51.5% at 85℃. The performance is close to commercialized Nafion115 PEMs.
-
-
- [1]
- [2]
- [3]
-
[4]
M M Han, G Zhang, M Y Li et al. J. Power Sources, 2011, 196:9916~9923.
-
[5]
J S Yang, Q F Li, J O Jensen et al. J. Power Sources, 2012, 205:114~121.
-
[6]
P Kumar, K Dutta, S Das et al. Appl. Energy, 2014, 123:66~74.
- [7]
-
[8]
A K Mishra, S Bose, T Kuila et al. Prog. Polym. Sci., 2012, 37:842~869.
- [9]
-
[10]
S G Feng, Y M Shang, X F Xie et al. J. Membrane Sci., 2009, 35:13~20.
- [11]
-
[12]
T Kobayashi, M Rilukawa, K Sanui et al. Solid State Ionic, 1998, 106:219~225.
-
[13]
Y Zhang, Y Wan, C J Zhao et al. Polymer, 2009, 50:4471~4478.
-
[14]
J H Pang, K Z Shen, S N Feng et al. J. Power Sources, 2014, 263:59~65.
- [15]
-
[16]
Y Q Zhu, A Manthiram. J. Power Sources, 2011, 196:7481~7487.
- [17]
-
[18]
J F Zheng, Q Y He, N Gao et al. J. Power Sources, 2014, 261:38~45.
-
[19]
J K Deuk, J J Min, Y N Sang. J. Ind. Eng. Chem., 2015, 21:36~52.
-
[20]
K D Kreuer. J. Membrane Sci., 2011, 185:29~39.
-
[21]
G G Wang, Y M Weng, D Chu et al. J. Membrane Sci., 2009, 332:63~68.
-
-
-
[1]
Yingchun ZHANG , Yiwei SHI , Ruijie YANG , Xin WANG , Zhiguo SONG , Min WANG . Dual ligands manganese complexes based on benzene sulfonic acid and 2, 2′-bipyridine: Structure and catalytic properties and mechanism in Mannich reaction. Chinese Journal of Inorganic Chemistry, 2024, 40(8): 1501-1510. doi: 10.11862/CJIC.20240078
-
[2]
Yuena Yu , Fang Fang . Microwave-Assisted Synthesis of Safinamide Methanesulfonate. University Chemistry, 2024, 39(11): 210-216. doi: 10.3866/PKU.DXHX202401076
-
[3]
Changjun You , Chunchun Wang , Mingjie Cai , Yanping Liu , Baikang Zhu , Shijie Li . Improved Photo-Carrier Transfer by an Internal Electric Field in BiOBr/N-rich C3N5 3D/2D S-Scheme Heterojunction for Efficiently Photocatalytic Micropollutant Removal. Acta Physico-Chimica Sinica, 2024, 40(11): 2407014-0. doi: 10.3866/PKU.WHXB202407014
-
[4]
Yue Zhang , Bao Li , Lixin Wu . GO-Assisted Supramolecular Framework Membrane for High-Performance Separation of Nanosized Oil-in-Water Emulsions. Acta Physico-Chimica Sinica, 2024, 40(5): 2305038-0. doi: 10.3866/PKU.WHXB202305038
-
[5]
Weikang Wang , Yadong Wu , Jianjun Zhang , Kai Meng , Jinhe Li , Lele Wang , Qinqin Liu . Green H2O2 synthesis via melamine-foam supported S-scheme Cd0.5Zn0.5In2S4/S-doped carbon nitride heterojunction: synergistic interfacial charge transfer and local photothermal effect. Acta Physico-Chimica Sinica, 2025, 41(8): 100093-0. doi: 10.1016/j.actphy.2025.100093
-
[6]
Xiutao Xu , Chunfeng Shao , Jinfeng Zhang , Zhongliao Wang , Kai Dai . Rational Design of S-Scheme CeO2/Bi2MoO6 Microsphere Heterojunction for Efficient Photocatalytic CO2 Reduction. Acta Physico-Chimica Sinica, 2024, 40(10): 2309031-0. doi: 10.3866/PKU.WHXB202309031
-
[7]
Jiaqi Yang , Xuqiang Hao , Jiejie Jing , Yuqiang Hao , Zhiliang Jin . 3D/2D ReSe2/ZnCdS S-scheme photocatalyst with efficient interfacial charge separation for optimized hydrogen production. Acta Physico-Chimica Sinica, 2025, 41(10): 100131-0. doi: 10.1016/j.actphy.2025.100131
-
[8]
Chengyan Ge , Jiawei Hu , Xingyu Liu , Yuxi Song , Chao Liu , Zhigang Zou . Self-integrated black NiO clusters with ZnIn2S4 microspheres for photothermal-assisted hydrogen evolution by S-scheme electron transfer mechanism. Acta Physico-Chimica Sinica, 2026, 42(1): 100154-0. doi: 10.1016/j.actphy.2025.100154
-
[9]
Yingpeng ZHANG , Xingxing LI , Yunshang YANG , Zhidong TENG . A pyrazole-based turn-off fluorescent probe for visual detection of hydrazine. Chinese Journal of Inorganic Chemistry, 2025, 41(7): 1301-1308. doi: 10.11862/CJIC.20250064
-
[10]
Weilai Yu , Chuanbiao Bie . Unveiling S-Scheme Charge Transfer Mechanism. Acta Physico-Chimica Sinica, 2024, 40(4): 2307022-0. doi: 10.3866/PKU.WHXB202307022
-
[11]
Zhening Lou , Quanxing Mao , Xiaogeng Feng , Lei Zhang , Xu Xu , Yuyang Zhang , Xueyan Liu , Hongling Kang , Dongyang Feng , Yongku Li . Practice of Implementing Blended Teaching in Shared Analytical Chemistry Course. University Chemistry, 2024, 39(2): 263-269. doi: 10.3866/PKU.DXHX202308089
-
[12]
Zhonghua Xi , Xuanfeng Kong , Jinyue Yang , Bin Liu , Tingyu Zhu , Hui Zhang , Wenwei Zhang . Construction of Public Teaching Instrument Platform and Exploration of Opening Mechanism. University Chemistry, 2024, 39(7): 200-206. doi: 10.12461/PKU.DXHX202405123
-
[13]
Bolin Sun , Jie Chen , Ling Zhou . 乙烯型卤代烃的亲核取代反应. University Chemistry, 2025, 40(8): 152-157. doi: 10.12461/PKU.DXHX202410032
-
[14]
Qi Zhang , Ziyu Liu , Hongxia Tan , Jun Tong , Dazhen Xu . Research Progress on Direct Synthesis of β-Hydroxy Sulfones via Difunctionalization of Olefins. University Chemistry, 2025, 40(11): 199-209. doi: 10.12461/PKU.DXHX202412064
-
[15]
Wenlong Wang , Wentao Hao , Lang He , Jia Qiao , Ning Li , Chaoqiu Chen , Yong Qin . Bandgap and adsorption engineering of carbon dots/TiO2 S-scheme heterojunctions for enhanced photocatalytic CO2 methanation. Acta Physico-Chimica Sinica, 2025, 41(9): 100116-0. doi: 10.1016/j.actphy.2025.100116
-
[16]
Bowen Liu , Jianjun Zhang , Han Li , Bei Cheng , Chuanbiao Bie . MOF-derived ZnO/PANI S-scheme heterojunction for efficient photocatalytic phenol mineralization coupled with H2O2 generation. Acta Physico-Chimica Sinica, 2025, 41(10): 100121-0. doi: 10.1016/j.actphy.2025.100121
-
[17]
Yiting Huo , Xin Zhou , Feifan Zhao , Chenbin Ai , Zhen Wu , Zhidong Chang , Bicheng Zhu . Boosting photocatalytic CO2 methanation through TiO2/CdS S-scheme heterojunction and fs-TAS mechanism study. Acta Physico-Chimica Sinica, 2025, 41(11): 100148-0. doi: 10.1016/j.actphy.2025.100148
-
[18]
Xinyu Miao , Hao Yang , Jie He , Jing Wang , Zhiliang Jin . Adjusting the electronic structure of Keggin-type polyoxometalates to construct S-scheme heterojunction for photocatalytic hydrogen evolution. Acta Physico-Chimica Sinica, 2025, 41(6): 100051-0. doi: 10.1016/j.actphy.2025.100051
-
[19]
Chengxin Chen , Hongfei Shi , Xiaoyan Cai , Liang Mao , Zhe Chen . Enhanced bifunctional photocatalytic performances for H2 evolution and HCHO elimination with an S-scheme CoWO4/CdIn2S4 heterojunction. Acta Physico-Chimica Sinica, 2025, 41(12): 100155-0. doi: 10.1016/j.actphy.2025.100155
-
[20]
Jie ZHAO , Sen LIU , Qikang YIN , Xiaoqing LU , Zhaojie WANG . Theoretical calculation of selective adsorption and separation of CO2 by alkali metal modified naphthalene/naphthalenediyne. Chinese Journal of Inorganic Chemistry, 2024, 40(3): 515-522. doi: 10.11862/CJIC.20230385
-
[1]
Metrics
- PDF Downloads(6)
- Abstract views(2853)
- HTML views(418)
Login In
DownLoad: