Citation: Guo Xiaosha, Chen Liangliang, Zhang Guanxin. Synthesis and Semiconducting Properties of 1, 4-Diketopyrrolopyrrole-based Conjugated Polymers with 2, 2, 6, 6-Tetramethyl-1-piperidinyloxyl Units in the Side Chains[J]. Chemistry, ;2020, 83(8): 711-717. shu

Synthesis and Semiconducting Properties of 1, 4-Diketopyrrolopyrrole-based Conjugated Polymers with 2, 2, 6, 6-Tetramethyl-1-piperidinyloxyl Units in the Side Chains

  • Corresponding author: Zhang Guanxin, gxzhang@iccas.ac.cn
  • Received Date: 9 March 2020
    Accepted Date: 28 March 2020

Figures(6)

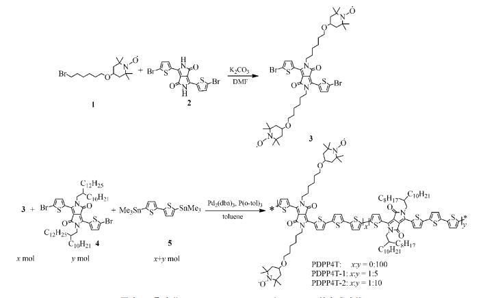
  • In this paper, the syntheses of two 1, 4-diketopyrrolopyrrole (DPP) based conjugated polymers, PDPP4T-1 and PDPP4T-2, in which the molar ratios of the 2, 2, 6, 6-tetramethyl-1-piperidinyloxyl (TEMPO) unit-contianing alkyl chains vs. branching alkyl chains are 1:5 and 1:10 and their semiconductor properties were reported. The test results indicated that introduction of TEMPO units in the alkyl side chains has almost no effect on their electronic configuration of polymer conjugated backbones. The thin films of PDPP4T-1 and PDPP4T-2 exhibit p-type semiconducting properties with hole mobilities up to 2.12 cm2·V-1·s-1, though lower than that of PDPP4T without TEMPO units in the alkyl side chains. Furthermore, their thin films were characterized with AFM and GIXRD to explore the possibilities for their performance variation.
  • 加载中
    1. [1]

      (a) Wang H, Zhang D, Guo X, et al. Chem. Commun., 2004, (6): 670-671; (b) Yu Y, Zhang D, Tan W, et al. Bioorg. Med. Chem. Lett., 2007, 17(1): 94-96.

    2. [2]

      Rajca A, Wongsriratanakul J, Rajca S. Science, 2001, 294(5546): 1503-1505. 

    3. [3]

      Joo Y, Agarkar V, Sung S H. Science, 2018, 359(6382): 1391-1395. 

    4. [4]

      (a) Matsushita M M, Kawakami H, Okabe E, et al. Polyhedron, 2005, 24(16-17): 2870-2875; (b) Noro S, Chang H, Takenobu T, et al. J. Am. Chem. Soc., 2005, 127(28): 10012-10013; (c) Wang Y, Wang H, Liu Y Q, et al. J. Am. Chem. Soc., 2006, 128(40): 13058-13059; (d) Kurata T, Koshika K, Kato F, et al. Chem. Commun., 2007, (28): 2986-2988; (e) Nakatsuji S, Aoki K, Akutsu H, et al. Bull. Chem. Soc. Jpn, 2010, 83(9): 1079-1085. 

    5. [5]

      (a) Rudebusch G, Zafra J, Jorner K, et al. Nat. Chem., 2016, 8: 753-759; (b) Rudebusch G, Espejo G, Zafra J, et al. J. Am. Chem. Soc., 2016, 138(38): 12648-12654; (c) Kushida T, Shirai S, Ando N. J. Am. Chem. Soc., 2017, 139(41): 14336-14339; (d) Jasiński M, Pociecha D, Monobe H, et al. J. Am. Chem. Soc., 2014136(42): 14658-14661. 

    6. [6]

      (a) Zhang H, Dong H, Li Y, et al. Adv. Mater., 2016, 28(34): 7466-7471. (b) Reig M, Gozálvez C, Jankauskas V, et al. Chem. Eur. J., 2016, 22(51): 18551-18558; (c) Fahrenbach A, Sampath S, Late D, et al. Nano Lett., 2012, 6(11): 9964-9971; (d) Xie Y, Shuku Y, Matsushita M, et al. Chem. Commun., 2014, (50): 4178-4180. 

    7. [7]

      Guo X, Facchetti A, Marks T J. Chem. Rev., 2014, 114(18): 8943-9021. 

    8. [8]

      Wang C, Dong H, Hu W et al. Chem. Rev., 2012, 112(4): 2208-2267. 

    9. [9]

      Paterson A F, Singh S, Fallon K J, et al. Adv. Mater., 2018, 30(36): 1801079. 

    10. [10]

      Liu Z, Zhang G, Cai Z, et al. Adv. Mater., 2014, 26(40): 6965-6977. 

    11. [11]

      Lei T, Wang J Y, Pei J, et al. Acc. Chem. Res., 2014, 47(4): 1117-1126. 

    12. [12]

      Yang Y, Liu Z, Zhang G, et al. Adv. Mater., 2019, 31(46): 1903104. 

    13. [13]

      Liu Z, Zhang G, Zhang D. Acc. Chem. Res., 2018, 51(6): 1422-1432. 

    14. [14]

      Yang Y, Liu Z, Chen L, et al. Chem. Mater., 2019, 31(5): 1800-1807. 

    15. [15]

      Ma J, Liu Z, Yao J, et al. Macromolecules, 2018, 51(15): 6003-6010. 

    16. [16]

      Yao J, Yu C, Liu Z, et al. J. Am. Chem. Soc., 2016, 138(1): 173-185. 

    17. [17]

      Tian J, Fu L, Liu Z, et al. Adv. Funct. Mater., 2019, 29(12): 1807176. 

    18. [18]

      Zheng Z, Wang J, Chen H. ChemCatChem, 2014, 6(6): 1626-1634. 

  • 加载中
    1. [1]

      Mian WeiChang ChengBowen HeBei ChengKezhen QiChuanbiao Bie . Inorganic-organic CdS/YBTPy S-scheme photocatalyst for efficient hydrogen production and its mechanism. Acta Physico-Chimica Sinica, 2025, 41(12): 100158-0. doi: 10.1016/j.actphy.2025.100158

    2. [2]

      Mengfei HeChao ChenYue TangSi MengZunfa WangLiyu WangJiabao XingXinyu ZhangJiahui HuangJiangbo LuHongmei JingXiangyu LiuHua Xu . Epitaxial Growth of Nonlayered 2D MnTe Nanosheets with Thickness-Tunable Conduction for p-Type Field Effect Transistor and Superior Contact Electrode. Acta Physico-Chimica Sinica, 2025, 41(2): 100016-0. doi: 10.3866/PKU.WHXB202310029

    3. [3]

      You WuChang ChengKezhen QiBei ChengJianjun ZhangJiaguo YuLiuyang Zhang . Efficient Photocatalytic Production of H2O2 over ZnO/D-A Conjugated Polymer S-scheme Heterojunction and Charge Transfer Dynamics Investigation. Acta Physico-Chimica Sinica, 2024, 40(11): 2406027-0. doi: 10.3866/PKU.WHXB202406027

    4. [4]

      Xiyuan Zhang Rui Dong Yang Yang Jiapeng Ding Zhiwei Miao . Palladium-Catalyzed Tandem Cyclization of 4-Vinylbenzoxazinone and Indene-2-carbaldehyde: A Comprehensive Organic Chemistry Experiment. University Chemistry, 2025, 40(9): 361-367. doi: 10.12461/PKU.DXHX202410062

    5. [5]

      南开大学师唯/华北电力大学(保定)刘景维:二维配位聚合物中有序的亲锂冠醚位点用于无枝晶锂沉积

      . CCS Chemistry, 2025, 7(0): -.

    6. [6]

      Xiao SANGQi LIUJianping LANG . Synthesis, structure, and fluorescence properties of Zn(Ⅱ) coordination polymers containing tetra-alkenylpyridine ligands. Chinese Journal of Inorganic Chemistry, 2024, 40(11): 2124-2132. doi: 10.11862/CJIC.20240158

    7. [7]

      Bao Jia Yunzhe Ke Shiyue Sun Dongxue Yu Ying Liu Shuaishuai Ding . Innovative Experimental Teaching for the Preparation and Modification of Conductive Organic Polymer Thin Films in Undergraduate Courses. University Chemistry, 2024, 39(10): 271-282. doi: 10.12461/PKU.DXHX202404121

    8. [8]

      Ke QiuFengmei WangMochou LiaoKerun ZhuJiawei ChenWei ZhangYongyao XiaXiaoli DongFei Wang . A Fumed SiO2-based Composite Hydrogel Polymer Electrolyte for Near-Neutral Zinc-Air Batteries. Acta Physico-Chimica Sinica, 2024, 40(3): 2304036-0. doi: 10.3866/PKU.WHXB202304036

    9. [9]

      Minghui WuMarkus MühlinghausXuechao LiChaojie XuQiang ChenHaiming ZhangKlaus MüllenLifeng Chi . On-Surface Synthesis of Chevron-Shaped Conjugated Ladder Polymers Consisting of Benzo[a]azulene Units. Acta Physico-Chimica Sinica, 2024, 40(8): 2307024-0. doi: 10.3866/PKU.WHXB202307024

    10. [10]

      Yahui HANJinjin ZHAONing RENJianjun ZHANG . Synthesis, crystal structure, thermal decomposition mechanism, and fluorescence properties of benzoic acid and 4-hydroxy-2, 2′: 6′, 2″-terpyridine lanthanide complexes. Chinese Journal of Inorganic Chemistry, 2025, 41(5): 969-982. doi: 10.11862/CJIC.20240395

    11. [11]

      Gengjia Chen Junjie Ou . Application of the van Deemter Equation in Instrumental Analysis Teaching: A Case of Organic Polymer Monolithic Columns. University Chemistry, 2025, 40(11): 362-368. doi: 10.12461/PKU.DXHX202502003

    12. [12]

      Junjie Zhang Yue Wang Qiuhan Wu Ruquan Shen Han Liu Xinhua Duan . Preparation and Selective Separation of Lightweight Magnetic Molecularly Imprinted Polymers for Trace Tetracycline Detection in Milk. University Chemistry, 2024, 39(5): 251-257. doi: 10.3866/PKU.DXHX202311084

    13. [13]

      Fanpeng MengFei ZhaoJingkai LinJinsheng ZhaoHuayang ZhangShaobin Wang . Optimizing interfacial electric fields in carbon nitride nanosheet/spherical conjugated polymer S-scheme heterojunction for hydrogen evolution. Acta Physico-Chimica Sinica, 2025, 41(8): 100095-0. doi: 10.1016/j.actphy.2025.100095

    14. [14]

      Shuhui Li Rongxiuyuan Huang Yingming Pan . Electrochemical Synthesis of 2,5-Diphenyl-1,3,4-Oxadiazole: A Recommended Comprehensive Organic Chemistry Experiment. University Chemistry, 2025, 40(5): 357-365. doi: 10.12461/PKU.DXHX202407028

    15. [15]

      Lifang HEWenjie TANGYaoze LUOMingsheng LIANGJianxin TANGYuxuan WUFuxing ZHANGXiaoming ZHU . Synthesis, structure, and anticancer activity of two dialkyltin complexes constructed based on 2, 2′-bipyridin-6, 6′-dicarboxylic acid. Chinese Journal of Inorganic Chemistry, 2025, 41(8): 1601-1609. doi: 10.11862/CJIC.20250012

    16. [16]

      Aiyi Xin Jiawei Li Xinyang Ran Chuanjiang Fu Zhiguo Wang . Collaborative Science and Education Based Experimental Design in Organic Chemistry: A Case Study of the Nucleophilic Substitution Reaction of 2-Hydroxymethyl-4,6-Di-Tert-Butylphenol. University Chemistry, 2025, 40(5): 366-375. doi: 10.12461/PKU.DXHX202407031

    17. [17]

      Zhuoming Liang Ming Chen Zhiwen Zheng Kai Chen . Multidimensional Studies on Ketone-Enol Tautomerism of 1,3-Diketones By 1H NMR. University Chemistry, 2024, 39(7): 361-367. doi: 10.3866/PKU.DXHX202311029

    18. [18]

      Yuxia Luo Xiaoyu Xie Fangfang Chen . 药物递送魔法师——分子印迹聚合物. University Chemistry, 2025, 40(8): 202-210. doi: 10.12461/PKU.DXHX202409129

    19. [19]

      Liyang ZHANGDongdong YANGNing LIYuanyu YANGQi MA . Crystal structures, luminescent properties and Hirshfeld surface analyses of three cadmium(Ⅱ) complexes based on 2-(3-(pyridin-2-yl)-1H-pyrazol-1-yl)benzoate. Chinese Journal of Inorganic Chemistry, 2024, 40(10): 1943-1952. doi: 10.11862/CJIC.20240079

    20. [20]

      Zhongxin YUWei SONGYang LIUYuxue DINGFanhao MENGShuju WANGLixin YOU . Fluorescence sensing on chlortetracycline of a Zn-coordination polymer based on mixed ligands. Chinese Journal of Inorganic Chemistry, 2024, 40(12): 2415-2421. doi: 10.11862/CJIC.20240304

Metrics
  • PDF Downloads(8)
  • Abstract views(917)
  • HTML views(296)

通讯作者: 陈斌, bchen63@163.com
  • 1. 

    沈阳化工大学材料科学与工程学院 沈阳 110142

  1. 本站搜索
  2. 百度学术搜索
  3. 万方数据库搜索
  4. CNKI搜索
Address:Zhongguancun North First Street 2,100190 Beijing, PR China Tel: +86-010-82449177-888
Powered By info@rhhz.net

/

DownLoad:  Full-Size Img  PowerPoint
Return