Citation: Zhao Guokai, Han Yongqi, Li Gaoyang, Li Mengli, Liu Xingyu, Zhao Huiling, Wang Xiaoyong. Corrosion Inhibition Effect of Zein/SDS Complex on Carbon Steel[J]. Chemistry, ;2020, 83(6): 564-568. shu

Corrosion Inhibition Effect of Zein/SDS Complex on Carbon Steel

  • Corresponding author: Wang Xiaoyong, xiaoyong@ecust.edu.cn
  • Received Date: 15 January 2020
    Accepted Date: 10 February 2020

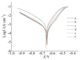
Figures(6)

Metrics
  • PDF Downloads(4)
  • Abstract views(686)
  • HTML views(159)

通讯作者: 陈斌, bchen63@163.com
  • 1. 

    沈阳化工大学材料科学与工程学院 沈阳 110142

  1. 本站搜索
  2. 百度学术搜索
  3. 万方数据库搜索
  4. CNKI搜索
Address:Zhongguancun North First Street 2,100190 Beijing, PR China Tel: +86-010-82449177-888
Powered By info@rhhz.net

/

DownLoad:  Full-Size Img  PowerPoint
Return