Citation: WU Yi-min, LI Shuo, LI Chun-yi. Influence of Li loading on the catalytic performance of Li/MgO in the oxidative dehydrogenation of propane to olefins[J]. Journal of Fuel Chemistry and Technology, ;2016, 44(11): 1334-1340. shu

Influence of Li loading on the catalytic performance of Li/MgO in the oxidative dehydrogenation of propane to olefins

  • Corresponding author: LI Chun-yi, chyli@upc.edu.cn
  • Received Date: 23 June 2016
    Revised Date: 21 July 2016

    Fund Project: The project was supported by the Key Project of National Nature Science Foundation of China Petroleum and Chemical Joint Funds U1362201

Figures(6)

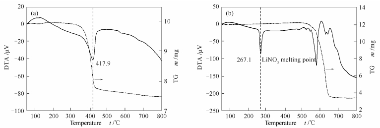
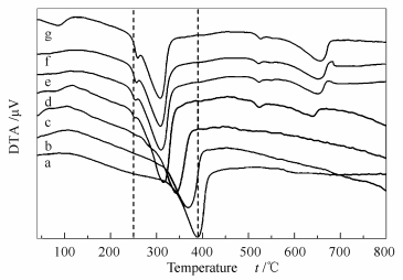
  • A series of Li/MgO catalysts with different Li loadings were prepared by incipient wetness impregnation method and characterized by TG-DTA, N2 sorption and XRD; two modes for propane adsorption on Li/MgO were considered by calculation with Material Studio and the influence of Li loading on the catalytic performance of Li/MgO in the oxidative dehydrogenation of propane to olefins was investigated. The result indicated that with the increase of Li loading, the conversion of propane and the selectivity to C2H4, C2H6, CH4, COx increases at first, reaches the highest values at a Li loading of 3% and then decreases with further increasing the Li loading, whereas the selectivity to propene changes in an opposite trend. The adsorption and dehydrogenation of propane on Li/MgO surface are controlled by both thermodynamic and kinetic factors, whilst the dispersion of the active Li+O- sites is related to the loading of Li. Over the highly-dispersed active Li+O- sites, the dehydrogenation is thermodynamically controlled, which favors the formation of propene, whereas over the poorly-dispersed Li+O- sites, the reaction is dominated by the kinetic factor, leading to a high selectivity to ethene and other by-products.
  • 加载中
    1. [1]

      LI Fu-chao, ZHANG Jiu-shun, YUAN Qi-min. Advances in catalytic processing of paraffin for propylene production[J]. Pet Process Petrochem, 2013,44(10):1-7.  

    2. [2]

      HU Yuan-jue. How to choose the raw material routes at low oil price period[J]. Chin Pet Chem Ind, 2015(6):35-38.  

    3. [3]

      China Petroleum and Chemical Industry Federation International Exchanges and Foreign Committee . China's petrochemical industry development direction and focus in the next decade[J]. Chin Pet Chem Ind Econ Anal, 2015(7):18-22.  

    4. [4]

      SATTLER J J H B, RUIZ-MARTINEZ J, SANTILLAN-JIMENEZ E, WECKHUYSEN B M. Catalytic dehydrogenation of light alkanes on metals and metal oxides[J]. Chem Rev, 2014,114(20):10613-10653. doi: 10.1021/cr5002436

    5. [5]

      ZHANG Ling-feng, LIU Ya-lu, HU Zhong-pan, YANG Yu-wang, YU Hai-bin, YUAN Zhong-yong. Advance in catalysts for propane dehydrogenation to propylene[J]. Acta Pet Sin:Pet Process Sect, 2015,31(2):400-417.  

    6. [6]

      WANG Hai-nan, WANG Hong. Progress in studying of catalysts for propane oxidative dehydrogenation to propylene[J]. Nat Gas Chem Ind, 2003,28(6):25-31.  

    7. [7]

      WANG Yu, XIE Song-hai, YUE Bin, FENG Su-jiao, HE He-yong. Oxidative dehydrogenation of propane to propene over mesoporous alumina-supported vanadium oxide catalyst[J]. Chin J Catal, 2010,31(8):1054-1060.  

    8. [8]

      ABELLO M C, GOMEZ M F, FERRETTI O. Mo/g-Al2O3 catalysts for the oxidative dehydrogenation of propane[J]. Wien Med Wochenschr, 2001,121(19):398-399.  

    9. [9]

      ITO T, WANG J, LIN C H, LUNSFORD J H. Oxidative dimerization of methane over a lithium-promoted magnesium oxide catalyst[J]. J Am Chem Soc, 1985,107(18):5062-5068. doi: 10.1021/ja00304a008

    10. [10]

      FEI Jin-hua, ZHAO Lei-hong, ZHU Bo, CAI Bing-xin, ZHENG Xiao-ming. Effect of addition of Li+ on properties of MgO catalyst[J]. Chem J Chin Univ, 1993,14(2):248-251.  

    11. [11]

      SINEV M. Y. Elementary steps of radical-surface interactions in oxidative coupling of methane[J]. Catal Today, 1992,13(4):561-564. doi: 10.1016/0920-5861(92)80081-W

    12. [12]

      GAAB S, MACHLI M, FIND J, GRASSELLI R K, LERCHER J A. Oxidative dehydrogenation of ethane over novel Li/Dy/Mg mixed oxides:Structure-activity study[J]. Top Catal, 2003,23(1):151-158.  

    13. [13]

      TRIONFETTI C, BABICH I V, SESHAN K, LEFFERTS L. Presence of lithium ions in MgO lattice:Surface characterization by infrared spectroscopy and reactivity towards oxidative conversion of propane[J]. Langmuir, 2008,24(15):8220-8228. doi: 10.1021/la8006316

    14. [14]

      LANDAU M V, KALIYA M L, OOSTERKAMP P F V D, BOCQUE P S G, HERSKOWITZ M. Produce light olefins from paraffins by catalytic oxidation[J]. Chemtech, 1996,26(2).  

    15. [15]

      TRIONFETTI C, BABICH I V, SESHAN K, LEFFERTS L. Formation of high surface area Li/MgO-Efficient catalyst for the oxidative dehydrogenation/cracking of propane[J]. Appl Catal A:Gen, 2006,310(8):105-113.  

    16. [16]

      LANDAU M V, KALIYA M L, GUTMAN A, KOGAN L O, HERSKOWITZ M, OOSTERKAMP P F V D. Oxidative conversion of LPG to olefins with mixed oxide catalysts:Surface chemistry and reactions network[J]. Stud Surf Sci Catal, 1997,110(97):315-326.  

    17. [17]

      TRIONFETTI C, BABICH I V, SESHAN K, LEFFERTS L. Efficient catalysts for olefins from alkanes:Sol-gel synthesis of high surface area nano scale mixed oxide clusters[J]. Top Catal, 2006,39(3/4):191-198.  

    18. [18]

      TRIONFETTI C, CRAPANZANO S, BABICH I V, SESHAN K, LEFFERTS L. Lithium ions incorporation in MgO for oxidative dehydrogenation/cracking of propane:Active site characterization and mechanism of regeneration[J]. Catal Today, 2009,145(1/2):19-26.  

    19. [19]

      LEVELES L, SESHAN K, LERCHER J A, LEFFERTS L. Oxidative conversion of propane over lithium-promoted magnesia catalyst:Ⅱ. Active site characterization and hydrocarbon activation[J]. J Catal, 2003,218(2):307-314. doi: 10.1016/S0021-9517(03)00113-1

    20. [20]

      CAI Bing-xin, ZHENG Xiao-ming. Studies on oxidative dehydrogenation of ethane to ethylene (Ⅱ)--The mechanism of catalytic action[J]. Chem J Chin Univ, 1995,16(6):929-932.  

    21. [21]

      CAI Bing-xin, MAO Jian-xin, ZHENG Xiao-ming. The effect of soaker on surface properties of magnesium oxide[J]. Chin J Catal, 1998,19(2):177-180.  

    22. [22]

      WANG J X, LUNSFORD J H. Characterization of (LiO/sup -/) centers in lithium-doped MgO catalysts[J]. J Phys Chem; (United States), 1986,90(22):5883-5887.  

    23. [23]

      LEVELES L, SESHAN K, LERCHER J A, LEFFERTS L. Oxidative conversion of propane over lithium-promoted magnesia catalyst:Ⅰ. Kinetics and mechanism[J]. J Catal, 2003,28(2):296-306.  

    24. [24]

      TRIONFETTI C, AĞIRAL A, LEFFERTS L, SESHAN K. Oxidative conversion of propane in a microreactor in the presence of plasma over MgO-based catalysts:An experimental study[J]. J Phys Chem C, 2008,112(11):4267-4274. doi: 10.1021/jp710642c

    25. [25]

      ZHU Hong-juan. The investigation on the oxidative dehydrogenation of propane to propylene[D]. Dalian:Dalian Institute of Chemical Physics, Chinese Academy of Science, 2002.

    26. [26]

      GUCZI L. Mechanism of reactions on multimetallic catalysts[J]. J Mol Catal, 1984,25(1/3):13-29.  

  • 加载中
    1. [1]

      Zhenxing Liu Jiaen Hu Zishi Cheng Xinqi Hao . 基础有机化学教学中烯烃的氧化反应. University Chemistry, 2025, 40(6): 139-144. doi: 10.12461/PKU.DXHX202408107

    2. [2]

      Qi Zhang Ziyu Liu Hongxia Tan Jun Tong Dazhen Xu . Research Progress on Direct Synthesis of β-Hydroxy Sulfones via Difunctionalization of Olefins. University Chemistry, 2025, 40(11): 199-209. doi: 10.12461/PKU.DXHX202412064

    3. [3]

      Danqing Wu Jiajun Liu Tianyu Li Dazhen Xu Zhiwei Miao . Research Progress on the Simultaneous Construction of C—O and C—X Bonds via 1,2-Difunctionalization of Olefins through Radical Pathways. University Chemistry, 2024, 39(11): 146-157. doi: 10.12461/PKU.DXHX202403087

    4. [4]

      Weihan ZhangMenglu WangAnkang JiaWei DengShuxing Bai . Surface Sulfur Species Influence Hydrogenation Performance of Palladium-Sulfur Nanosheets. Acta Physico-Chimica Sinica, 2024, 40(11): 2309043-0. doi: 10.3866/PKU.WHXB202309043

    5. [5]

      Pei LiYuenan ZhengZhankai LiuAn-Hui Lu . Boron-Containing MFI Zeolite: Microstructure Control and Its Performance of Propane Oxidative Dehydrogenation. Acta Physico-Chimica Sinica, 2025, 41(4): 100034-0. doi: 10.3866/PKU.WHXB202406012

    6. [6]

      Wenwen Ma Lian Kong Jinyang Chu Li Ma Ziqing Ma Heyu Cheng Xinyuan Li Zhan Yu Zhen Zhao . Digitalization-Driven Olefin Production: Digital Design of Catalysts for CO2-Assisted Oxidation Dehydrogenation of Ethane to Ethylene. University Chemistry, 2026, 41(1): 363-372. doi: 10.12461/PKU.DXHX202506055

    7. [7]

      Xuejie GaoXinyang ChenMing JiangHanyan WuWenfeng RenXiaofei YangRuncang Sun . Long-lifespan thin Li anode achieved by dead Li rejuvenation and Li dendrite suppression for all-solid-state lithium batteries. Chinese Chemical Letters, 2024, 35(10): 109448-. doi: 10.1016/j.cclet.2023.109448

    8. [8]

      Yongjian LiXinyu ZhuChenxi WeiYouyou FangXinyu WangYizhi ZhaiWenlong KangLai ChenDuanyun CaoMeng WangYun LuQing HuangYuefeng SuHong YuanNing LiFeng Wu . Unraveling the chemical and structural evolution of novel Li-rich layered/rocksalt intergrown cathode for Li-ion batteries. Chinese Chemical Letters, 2024, 35(12): 109536-. doi: 10.1016/j.cclet.2024.109536

    9. [9]

      Bao LiPengyao YanMengmin JiaLiang WangYaru QiaoHaowen LiCanhui WuZhuangzhuang ZhangDongmei DaiDai-Huo Liu . Engineering lithiophilic LiCx layer to robust interfacial chemistry between LAGP and Li anode for Li-metal batteries. Chinese Chemical Letters, 2025, 36(7): 110145-. doi: 10.1016/j.cclet.2024.110145

    10. [10]

      Tianyi Hou Yunhui Huang Henghui Xu . Interfacial engineering for advanced solid-state Li-metal batteries. Chinese Journal of Structural Chemistry, 2024, 43(7): 100313-100313. doi: 10.1016/j.cjsc.2024.100313

    11. [11]

      Zihao WangJing XueZhicui SongJianxiong XingAijun ZhouJianmin MaJingze Li . Li-Zn alloy patch for defect-free polymer interface film enables excellent protection effect towards stable Li metal anode. Chinese Chemical Letters, 2024, 35(10): 109489-. doi: 10.1016/j.cclet.2024.109489

    12. [12]

      Kunyao PengXianbin WangXingbin Yan . Converting LiNO3 additive to single nitrogenous component Li2N2O2 SEI layer on Li metal anode in carbonate-based electrolyte. Chinese Chemical Letters, 2024, 35(9): 109274-. doi: 10.1016/j.cclet.2023.109274

    13. [13]

      Xi TangChunlei ZhuYulu YangShihan QiMengqiu CaiAbdullah N. AlodhaybJianmin Ma . Additive regulating Li+ solvation structure to construct dual LiF−rich electrode electrolyte interphases for sustaining 4.6 V Li||LiCoO2 batteries. Chinese Chemical Letters, 2024, 35(12): 110014-. doi: 10.1016/j.cclet.2024.110014

    14. [14]

      Yue Wang Caixia Xu Xingtao Tian Siyu Wang Yan Zhao . Challenges and Modification Strategies of High-Voltage Cathode Materials for Li-ion Batteries. Chinese Journal of Structural Chemistry, 2023, 42(10): 100167-100167. doi: 10.1016/j.cjsc.2023.100167

    15. [15]

      Zizhuo Liang Fuming Du Ning Zhao Xiangxin Guo . Revealing the reason for the unsuccessful fabrication of Li3Zr2Si2PO12 by solid state reaction. Chinese Journal of Structural Chemistry, 2023, 42(11): 100108-100108. doi: 10.1016/j.cjsc.2023.100108

    16. [16]

      Qingyan JIANGYanyong SHAChen CHENXiaojuan CHENWenlong LIUHao HUANGHongjiang LIUQi LIU . Constructing a one-dimensional Cu-coordination polymer-based cathode material for Li-ion batteries. Chinese Journal of Inorganic Chemistry, 2024, 40(4): 657-668. doi: 10.11862/CJIC.20240004

    17. [17]

      Zhenqiang GuoHuicong YangQian WeiShengjun XuGuangjian HuShuo BaiFeng Li . Dual-additives enable stable electrode-electrolyte interfaces for long life Li-SPAN batteries. Chinese Chemical Letters, 2024, 35(5): 108622-. doi: 10.1016/j.cclet.2023.108622

    18. [18]

      Peng JiaYunna GuoDongliang ChenXuedong ZhangJingming YaoJianguo LuLiqiang ZhangIn-situ imaging electrocatalysis in a solid-state Li-O2 battery with CuSe nanosheets as air cathode. Chinese Chemical Letters, 2024, 35(5): 108624-. doi: 10.1016/j.cclet.2023.108624

    19. [19]

      Yu ZHANGFangfang ZHAOCong PANPeng WANGLiangming WEI . Application of double-side modified separator with hollow carbon material in high-performance Li-S battery. Chinese Journal of Inorganic Chemistry, 2024, 40(6): 1218-1232. doi: 10.11862/CJIC.20230412

    20. [20]

      Long LiKang YangChenpeng XiMengchao LiBorong LiGui XuYuanbin XiaoXiancai CuiZhiliang LiuLingyun LiYan YuChengkai Yang . Highly-chlorinated inert and robust interphase without mineralization of oxide enhancing high-rate Li metal batteries. Chinese Chemical Letters, 2024, 35(6): 108814-. doi: 10.1016/j.cclet.2023.108814

Metrics
  • PDF Downloads(0)
  • Abstract views(2050)
  • HTML views(69)

通讯作者: 陈斌, bchen63@163.com
  • 1. 

    沈阳化工大学材料科学与工程学院 沈阳 110142

  1. 本站搜索
  2. 百度学术搜索
  3. 万方数据库搜索
  4. CNKI搜索
Address:Zhongguancun North First Street 2,100190 Beijing, PR China Tel: +86-010-82449177-888
Powered By info@rhhz.net

/

DownLoad:  Full-Size Img  PowerPoint
Return