Citation: CHENG Zhi-fa, WANG Feng-jiao, YANG Wen-xi, ZHANG Han-yi, DENG Li-dan, ZHOU Gui-lin, ZHANG Xian-ming. Study of bimetallic NiFe catalysts for methyl laurate hydrogenation[J]. Journal of Fuel Chemistry and Technology, ;2020, 48(7): 860-866. shu

Study of bimetallic NiFe catalysts for methyl laurate hydrogenation

  • Corresponding author: ZHOU Gui-lin, dicpglzhou@ctbu.edu.cn
  • Received Date: 17 June 2020
    Revised Date: 9 July 2020

    Fund Project: The project was supported by the Innovation and Entrepreneurship Training Program for Chongqing College Students (S201911799031), the Science and Technology Research Project of Chongqing Education Commission(KJQN201900817), Science and Technology Major Projects of Chongqing Municipal Education Commission (KJZD-M201900802, KJZD-K201800801)Science and Technology Major Projects of Chongqing Municipal Education Commission KJZD-M201900802the Innovation and Entrepreneurship Training Program for Chongqing College Students S201911799031the Science and Technology Research Project of Chongqing Education Commission KJQN201900817Science and Technology Major Projects of Chongqing Municipal Education Commission KJZD-K201800801

Figures(5)

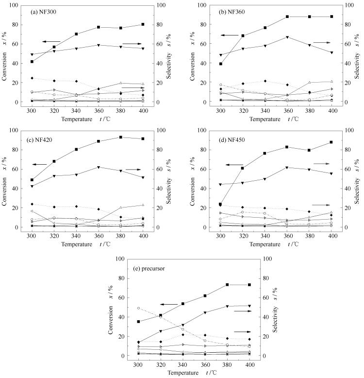
  • The physicochemical properties of the prepared bimetallic NiFe/γ-Al2O3 catalysts can be affected by reduction temperature, which can change the hydrogenation activity and product selectivity for methyl laurate catalytic hydrogenation. The metal Ni active sites mainly promote the decarbonylation/decarboxylation (DCO/DCO2) reaction, and the addition of Fe can promote the hydrodeoxygenation (HDO) reaction of methyl laurate to produce C12 alkanes. The results of H2-TPR, XRD, H2-TPD and BET indicate that high reduction temperature is beneficial to the formation of metal or alloy active centers. The hydrogenation activity of bimetallic catalysts depends on the content of metal Ni, Fe and NiFe alloy. The ability of NiFe bimetallic catalyst to adsorb and activate H2 is obviously affected by reduction temperature. In the studied temperature range, Ni active centers have excellent hydrogenation and cracking performances, and the introduction of Fe species can effectively inhibit the cracking performance. The sequence of catalytic hydrogenation activity for these bimetallic catalysts is:NF420 > NF360 > NF450 > NF300. When the reduction temperature is 420℃, the prepared NF420 catalyst owns the best catalytic hydrogenation performances. The conversion of methyl laurate and the selectivity of alkanes are 93.3% and 90.0% at the reaction temperature of 380℃, respectively.
  • 加载中
    1. [1]

      TAROMI A A, KALIAGUINE S. Hydrodeoxygenation of triglycerides over reduced mesostructured Ni/γ-alumina catalysts prepared via one-pot sol-gel route for green diesel production[J]. Appl Catal A:Gen, 2018,558:140-149. doi: 10.1016/j.apcata.2018.03.030

    2. [2]

      TANG Rui-feng, ZHANG Ming-yuan. Standardization makes the road of circular economy wider[EB/OL]. http://www.cqn.com.cn/zgzlb/content/2018-07/24/content_6072335. 2018-07-24.

    3. [3]

      FANG H, ZHENG J, LUO X, DU J, ALBERTO R, STEFANO L, YUAN Y. Product tunable behavior of carbon nanotubes-supported Ni/Fe catalysts for guaiacol hydrodeoxygenation[J]. Appl Catal A:Gen, 2017,529:20-31. doi: 10.1016/j.apcata.2016.10.011

    4. [4]

      YU X, CHEN J, REN T. Promotional effect of Fe on performance of Ni/SiO2 for deoxygenation of methyl laurate as a model compound to hydrocarbons[J]. RSC Adv, 2014,4(87):46427-46436. doi: 10.1039/C4RA07932A

    5. [5]

      ZHANG X M, CHEN S, WANG F J, DENG L D, REN J M, JIAO Z J, ZHOU G L. Effect of surface composition and structure of the mesoporous Ni/KIT-6 catalyst on catalytic hydrodeoxygenation performance[J]. Catalysts, 2019,9(11)889. doi: 10.3390/catal9110889

    6. [6]

      PHAN D-P, VO T K, LE V N, KIM J, LEE E Y. Spray pyrolysis synthesis of bimetallic NiMo/Al2O3-TiO2 catalyst for hydrodeoxygenation of guaiacol:Effects of bimetallic composition and reduction temperature[J]. J Ind Eng Chem, 2020,3(83):351-358.  

    7. [7]

      LIU H R, XU S Y, ZHOU G L, HUANG G C, HUANG S Y, XIONG K. CO2 hydrogenation to methane over Co/KIT-6 catalyst:Effect of reduction temperature[J]. Chem Eng J, 2018,351:65-73. doi: 10.1016/j.cej.2018.06.087

    8. [8]

      ZHAO A, YING W, ZHANG H, MA H, FANG D. Ni-Al2O3, catalysts prepared by solution combustion method for syngas methanation[J]. Catal Commun, 2012,17(1):34-38.  

    9. [9]

      QIN Z, REN J, MIAO M, LI Z, LIN J, XIE K. The catalytic methanation of coke oven gas over Ni-Ce/Al2O3 catalysts prepared by microwave heating:Effect of amorphous NiO formation[J]. Appl Catal B:Environ, 2015,164:18-30. doi: 10.1016/j.apcatb.2014.08.047

    10. [10]

      KANG S H, RYU J H, KIM J H, SEO S J, YOO Y D, PRASAD P S, LIM H J, BYUN C D. Co-methanation of CO and CO on the Nix-Fe1-x/Al2O3 catalysts; effect of Fe contents[J]. Korean J Chem Eng, 2011,28(12):2282-2286. doi: 10.1007/s11814-011-0125-2

    11. [11]

      ZHU Yue-hui, WU Feng, WU Chuan. Catalysts research for hydrogen production from steam reforming of ethanol over Ni-Fe/γ-Al2O3[J]. J Funct Mater, 2009,40(11):1867-1869. doi: 10.3321/j.issn:1001-9731.2009.11.030

    12. [12]

      CHEN Shuang. Study on the preparation of porous Ni catalyst and the performance of Oil Hydrodeoxygenation[D]. Chongqing: Chongqing Technology and Business University, 2018. 

    13. [13]

      MORALES M A, AYASTUYA J L, IRIARTE V U, ORTIZ M G. Nickel aluminate spinel-derived catalysts for the aqueous phase reforming of glycerol:Effect of reduction temperature[J]. Appl Catal B:Environ, 2019,244:931-945. doi: 10.1016/j.apcatb.2018.12.020

    14. [14]

      CHEN S, ZHOU G L, XIE H M, JIAO Z J, ZHANG X M. Hydrodeoxygenation of methyl laurate over the sulfur-free Ni/γ-Al2O3 catalysts[J]. Appl Catal A:Gen, 2019,569:35-44. doi: 10.1016/j.apcata.2018.10.014

    15. [15]

      SHI D C, WOJCIESZAK R, PAUL S, ERIC M. Ni promotion by Fe:What benefifits for catalytic hydrogenation[J]. Catalysts, 2019,9:451-478. doi: 10.3390/catal9050451

    16. [16]

      CHENG Zhi-fa, ZHOU Gui-lin, JIAO Zhao-jie, ZHANG Xian-ming. Study of bimetallic NiFe/γ-Al2O3 catalysts for of methyl laurate hydrodeoxygenation[J]. Acta Energ Sol Sin, 2020, in press.

    17. [17]

      ZANUTTINI M.S, GROSS M, MARCHETTI G, QUERINI C. Furfural hydrodeoxygenation on iron and platinum catalysts[J]. Appl Catal A:Gen, 2019,587117217. doi: 10.1016/j.apcata.2019.117217

    18. [18]

      ARUMUGAM R, PERUMAL T, KANAN S. Catalytic hydrodeoxygenation of jojoba oil to the green-fuel application on Ni-MoS/Mesoporous zirconia-silica catalysts[J]. Renewable Energy, 2019,1138:161-173.  

    19. [19]

      CHEN N, GONG S, QIAN E W. Effect of reduction temperature of NiMoO3-x/SAPO-11 on its catalytic activity in hydrodeoxygenation of methyl laurate[J]. Appl Catal B:Environ, 2015,174-175:253-263. doi: 10.1016/j.apcatb.2015.03.011

    20. [20]

      MIAO C X, ZHOU G L, CHEN S, XIE H M, ZHANG X M. Synergistic effects between Cu and Ni species in NiCu/γ-Al2O3 catalysts for hydrodeoxygenation of methyl laurate[J]. Renewable Energy, 2020,153:1439-1454. doi: 10.1016/j.renene.2020.02.099

  • 加载中
    1. [1]

      Lu ZhuoranLi ShengkaiLu YuxuanWang ShuangyinZou Yuqin . Cleavage of C―C Bonds for Biomass Upgrading on Transition Metal Electrocatalysts. Acta Physico-Chimica Sinica, 2024, 40(4): 2306003-0. doi: 10.3866/PKU.WHXB202306003

    2. [2]

      Wenlong LIXinyu JIAJie LINGMengdan MAAnning ZHOU . Photothermal catalytic CO2 hydrogenation over a Mg-doped In2O3-x catalyst. Chinese Journal of Inorganic Chemistry, 2024, 40(5): 919-929. doi: 10.11862/CJIC.20230421

    3. [3]

      Chao WUQingxiu SHITao XUZhengxi PENGZhongping XIONGYinglin ZHANGYujun SIChaozhong GUO . Enhancement of oxygen reduction reaction performance of iron-nitrogen doped carbon based catalysts by sodium carboxymethyl cellulose pre-deoxygenation. Chinese Journal of Inorganic Chemistry, 2026, 42(4): 737-746. doi: 10.11862/CJIC.20250305

    4. [4]

      Qinhui GuanYuhao GuoNa LiJing LiTingjiang Yan . Molecular sieve-mediated indium oxide catalysts for enhancing photocatalytic CO2 hydrogenation. Acta Physico-Chimica Sinica, 2025, 41(11): 100133-0. doi: 10.1016/j.actphy.2025.100133

    5. [5]

      Hailian TangSiyuan ChenQiaoyun LiuGuoyi BaiBotao QiaoLiu Fei . Stabilized Rh/hydroxyapatite Catalyst for Furfuryl Alcohol Hydrogenation: Application of Oxidative Strong Metal-Support Interactions in Reducing Conditions. Acta Physico-Chimica Sinica, 2025, 41(4): 100036-0. doi: 10.3866/PKU.WHXB202408004

    6. [6]

      Feifei YangWei ZhouChaoran YangTianyu ZhangYanqiang Huang . Enhanced Methanol Selectivity in CO2 Hydrogenation by Decoration of K on MoS2 Catalyst. Acta Physico-Chimica Sinica, 2024, 40(7): 2308017-0. doi: 10.3866/PKU.WHXB202308017

    7. [7]

      Ping Song Nan Zhang Jie Wang Rui Yan Zhiqiang Wang Yingxue Jin . Experimental Teaching Design on Synthesis and Antitumor Activity Study of Cu-Pyropheophorbide-a Methyl Ester. University Chemistry, 2024, 39(6): 278-286. doi: 10.3866/PKU.DXHX202310087

    8. [8]

      Dan Li Hui Xin Xiaofeng Yi . Comprehensive Experimental Design on Ni-based Catalyst for Biofuel Production. University Chemistry, 2024, 39(8): 204-211. doi: 10.3866/PKU.DXHX202312046

    9. [9]

      Kangjuan ChengChunxiao LiuYoupeng WangQiu JiangTingting ZhengXu LiChuan Xia . Design of noble metal catalysts and reactors for the electrosynthesis of hydrogen peroxide. Acta Physico-Chimica Sinica, 2025, 41(10): 100112-0. doi: 10.1016/j.actphy.2025.100112

    10. [10]

      Shuting KONGFengshi ZHANGZhiyi LUYanling LIUMinglang YEZhengfang HULongsheng WANGBing HUHaiying WANG . Research advance of the preparation of tributyl citrate catalyzed by supported heteropolyacid catalysts. Chinese Journal of Inorganic Chemistry, 2026, 42(3): 441-452. doi: 10.11862/CJIC.20250303

    11. [11]

      Xinlong XUChunxue JINGYuzhen CHEN . Bimetallic MOF-74 and derivatives: Fabrication and efficient electrocatalytic biomass conversion. Chinese Journal of Inorganic Chemistry, 2025, 41(8): 1545-1554. doi: 10.11862/CJIC.20250046

    12. [12]

      Bing WEIJianfan ZHANGZhe CHEN . Research progress in fine tuning of bimetallic nanocatalysts for electrocatalytic carbon dioxide reduction. Chinese Journal of Inorganic Chemistry, 2025, 41(3): 425-439. doi: 10.11862/CJIC.20240201

    13. [13]

      Shijie RenMingze GaoRui-Ting GaoLei Wang . Bimetallic Oxyhydroxide Cocatalyst Derived from CoFe MOF for Stable Solar Water Splitting. Acta Physico-Chimica Sinica, 2024, 40(7): 2307040-0. doi: 10.3866/PKU.WHXB202307040

    14. [14]

      Wentao XuXuyan MoYang ZhouZuxian WengKunling MoYanhua WuXinlin JiangDan LiTangqi LanHuan WenFuqin ZhengYoujun FanWei Chen . Bimetal Leaching Induced Reconstruction of Water Oxidation Electrocatalyst for Enhanced Activity and Stability. Acta Physico-Chimica Sinica, 2024, 40(8): 2308003-0. doi: 10.3866/PKU.WHXB202308003

    15. [15]

      Jiayi Yang Jianxiu Hao Huacong Zhou Quansheng Liu . “Gorgeous Transformation” of Carbon Dioxide into Cyclic Carbonates: Catalyst Types and Roles. University Chemistry, 2026, 41(2): 178-189. doi: 10.12461/PKU.DXHX202502105

    16. [16]

      Bing LIUHuang ZHANGHongliang HANChangwen HUYinglei ZHANG . Visible light degradation of methylene blue from water by triangle Au@TiO2 mesoporous catalyst. Chinese Journal of Inorganic Chemistry, 2024, 40(5): 941-952. doi: 10.11862/CJIC.20230398

    17. [17]

      Lina GuoRuizhe LiChuang SunXiaoli LuoYiqiu ShiHong YuanShuxin OuyangTierui Zhang . Effect of Interlayer Anions in Layered Double Hydroxides on the Photothermocatalytic CO2 Methanation of Derived Ni-Al2O3 Catalysts. Acta Physico-Chimica Sinica, 2025, 41(1): 100002-0. doi: 10.3866/PKU.WHXB202309002

    18. [18]

      Yajin LiHuimin LiuLan MaJiaxiong LiuDehua He . Photothermal Synthesis of Glycerol Carbonate via Glycerol Carbonylation with CO2 over Au/Co3O4-ZnO Catalyst. Acta Physico-Chimica Sinica, 2024, 40(9): 2308005-0. doi: 10.3866/PKU.WHXB202308005

    19. [19]

      Jingzhao ChengShiyu GaoBei ChengKai YangWang WangShaowen Cao . Construction of 4-Amino-1H-imidazole-5-carbonitrile Modified Carbon Nitride-Based Donor-Acceptor Photocatalyst for Efficient Photocatalytic Hydrogen Evolution. Acta Physico-Chimica Sinica, 2024, 40(11): 2406026-0. doi: 10.3866/PKU.WHXB202406026

    20. [20]

      Huiwei DingBo PengZhihao WangQiaofeng Han . Advances in Metal or Nonmetal Modification of Bismuth-Based Photocatalysts. Acta Physico-Chimica Sinica, 2024, 40(4): 2305048-0. doi: 10.3866/PKU.WHXB202305048

Metrics
  • PDF Downloads(10)
  • Abstract views(1539)
  • HTML views(254)

通讯作者: 陈斌, bchen63@163.com
  • 1. 

    沈阳化工大学材料科学与工程学院 沈阳 110142

  1. 本站搜索
  2. 百度学术搜索
  3. 万方数据库搜索
  4. CNKI搜索
Address:Zhongguancun North First Street 2,100190 Beijing, PR China Tel: +86-010-82449177-888
Powered By info@rhhz.net

/

DownLoad:  Full-Size Img  PowerPoint
Return