Citation: LIU Fang-jing, BIE Lei-lei, GUO Jia-pei, ZONG Zhi-min, WEI Xian-yong. Occurrence forms and molecular structural characteristics of the organic nitrogen in lignite[J]. Journal of Fuel Chemistry and Technology, ;2020, 48(7): 776-784. shu

Occurrence forms and molecular structural characteristics of the organic nitrogen in lignite

  • Corresponding author: LIU Fang-jing, fangjingliu@cumt.edu.cn
  • Received Date: 17 June 2020
    Revised Date: 4 July 2020

    Fund Project: The project was supported by the National Natural Science Foundation of China (21808237), Basic Research Program of Jiangsu Province (BK20180642) and China Postdoctoral Science Foundation (2019T120478)Basic Research Program of Jiangsu Province BK20180642China Postdoctoral Science Foundation 2019T120478the National Natural Science Foundation of China 21808237

Figures(5)

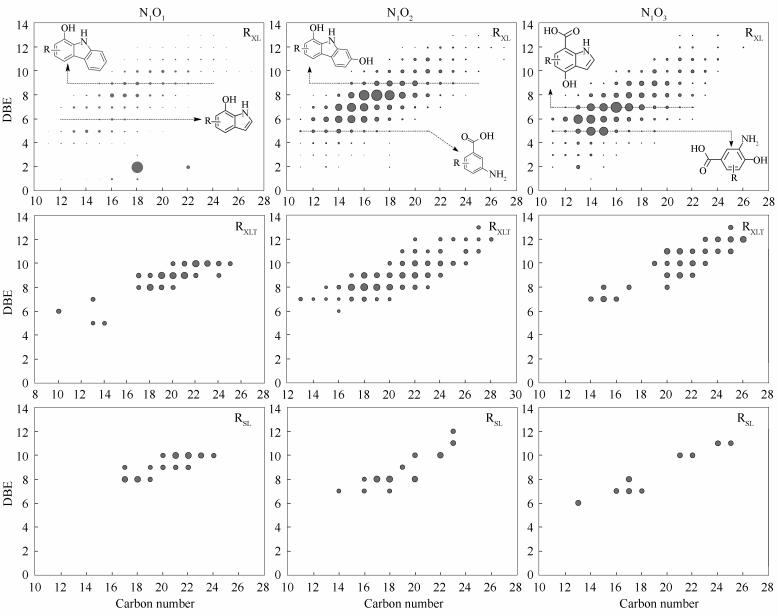
  • The occurrence forms of organic nitrogen in Xianfeng lignite (XL), Xiaolongtan lignite (XLT) and Shengli lignite (SL) as well as their extraction residues were characterized by X-ray photoelectron spectroscopy (XPS). The results show that the content distributions of organic nitrogen in the three extraction residues are different, but all are mainly dominated by pyrrole nitrogen. The NaOH-catalyzed supercritical methanolysis of lignite extraction residues at 300℃ was then investigated, which indicates that the yields of petroleum ether soluble portions from supercritical methanolysis of extraction residues derived from XL, XLT and SL are 46.0%, 43.8%, and 47.6% (mass ratio), respectively. The characterization of nitrogen-containing compounds (NCCs) in petroleum ether soluble portions by Fourier transform ion cyclotron resonance mass spectrometry (FTICR/MS) indicates that NCCs are mainly composed of N1, N1O1-N1O5, N2, N2O1-N2O4, N3O2 and N5O2-N5O4 class species. The molecular structural characteristics of NCCs were speculated according to the distributions of double bond equivalent values and carbon numbers, which shows that most of NCCs contain oxygen-functional groups like hydroxyl and carboxyl groups, and the nitrogen atoms are mainly present in aromatic structures (mainly 1-3 aromatic rings) in the forms of pyrrolic, pyridinic and amino groups. The cleavage of C-O bridged bonds in lignite is an important pathway for producing NCCs.
  • 加载中
    1. [1]

      YANG Kang, LI Hui, JI Ying, MA Zhi, XU De-long. Research progress on the heat transfer characteristics of nitrogen in coal combustion process[J]. Environ Eng, 2015,33(5):81-84.  

    2. [2]

      LI Wen-xiu, WANG Bao-feng, REN Jie, ZHANG Kai, YANG Feng-ling, CHENG Fang-qin. Effect of mineral matter on emissions of SO2 and NOx during combustion of lean coal in O2/CO2 atmosphere[J]. J Fuel Chem Technol, 2017,45(10):1200-1208. doi: 10.3969/j.issn.0253-2409.2017.10.007 

    3. [3]

      YANG Hui-fang, GUAN Hai-lian, LI Ping, XIA Ying, WANG Feng, XU Wen-jing, BAI Hong-cun, GUO Qing-jie. Molecular modeling of oxidation mechanism and organic nitrogen conversion in coal particle combustion:A case study on HSW coal of Ningdong[J]. J Chem Ind Eng, 2020,71(2):799-810.  

    4. [4]

      KAMBAR S, TAKARADA T, TOYOSHIMA M, KATO K. Relation between functional forms of coal nitrogen and NOx emissions from pulverized coal combustion[J]. Fuel, 1995,74:1247-1253. doi: 10.1016/0016-2361(95)00090-R

    5. [5]

      ZHENG Pan-pan, WANG Yong-gang, WU Xin, LIU Chen, BAI Yan-ping, LIN Xiong-chao. Transformation of nitrogen during pyrolysis of Na-loaded Shengli brown coal[J]. J Fuel Chem Technol, 2017,45(4):418-426. doi: 10.3969/j.issn.0253-2409.2017.04.005 

    6. [6]

      ZHAO Cong, YAN Zhi-zhong, YANG Song, LIU Shou-jun, SHI Peng-zheng, ZHAO Yan-ping, SHANGGUAN Ju, HUANG Wei. Affecting the migration of nitrogen elements during coal pyrolysis[J]. Appl Chem Ind, 2018,47(4):830-833. doi: 10.3969/j.issn.1671-3206.2018.04.049

    7. [7]

      LIU J, JIANG X, SHEN J, ZHANG H. Pyrolysis of superfine pulverized coal. Part 3. Mechanisms of nitrogen-containing species formation[J]. Energy Convers Manage, 2015,94:130-138. doi: 10.1016/j.enconman.2014.12.096

    8. [8]

      SOLUM M S, PUGMIRE R J, GRANT D M, KELEMEN S R, GORBATY M L, WIND R A. 15N CPMAS NMR of the Argonne Premium coals[J]. Energy Fuels, 1997,11(2):491-494. doi: 10.1021/ef960169r

    9. [9]

      NOWICKI P, PIETRZAK R, WACHOWSKA H. X-ray photoelectron spectroscopy study of nitrogen-enriched active carbons obtained by ammoxidation and chemical activation of brown and bituminous coals[J]. Energy Fuels, 2010,24(2):1197-1206. doi: 10.1021/ef900932g

    10. [10]

      PIETRZAK R, GRZYBEK T, WACHOWSKA H. XPS study of pyrite-free coals subjected to different oxidizing agents[J]. Fuel, 2007,86(16):2616-2624. doi: 10.1016/j.fuel.2007.02.025

    11. [11]

      VALENTIM B, GUEDES A, BOAVIDA D. Nitrogen functionality in "oil window" rank range vitrinite rich coals and chars[J]. Org Geochem, 2011,42(5):502-509.  

    12. [12]

      MULLINS O C, MITRA-KIRTLEY S, VAN ELP J, CRAMER S P. Molecular structure of nitrogen in coal from XANES spectroscopy[J]. Appl Spectrosc, 1993,47(8):1268-1275. doi: 10.1366/0003702934067991

    13. [13]

      VAIRAVAMURTHY A, WANG S. Organic nitrogen in geomacromolecules:Insights on speciation and transformation with K-edge XANES spectroscopy[J]. Environ Sci Technol, 2002,36(14):3050-3056. doi: 10.1021/es0155478

    14. [14]

      LIU F J, WEI X Y, FAN M, ZONG Z M. Separation and structural characterization of the value-added chemicals from mild degradation of lignites:A review[J]. Appl Energy, 2016,170:415-436. doi: 10.1016/j.apenergy.2016.02.131

    15. [15]

      LI Z K, WEI X Y, YAN H L, WANG Y G, KONG J, ZONG Z M. Advances in lignite extraction and conversion under mild conditions[J]. Energy Fuels, 2015,29:6869-6886. doi: 10.1021/acs.energyfuels.5b01108

    16. [16]

      DING M J, ZONG Z M, ZONG Y, OU-YANG X D, HUANG Y G, ZHOU L, WANG F, CAO J P, WEI X Y. Isolation and identification of fatty acid amides from Shengli coal[J]. Energy Fuels, 2008,22:2419-2421. doi: 10.1021/ef700499y

    17. [17]

      DING M, ZHAO Y P, ZHU YY, ZONG ZM, WEI XY, FAN X. The identification of soluble nitrogen-containing organic species in two Chinese lignites[J]. Energy Sources Part A, 2014,36:2027-2032. doi: 10.1080/15567036.2013.875082

    18. [18]

      LIU F J, WEI X Y, GUI J, LI P, WANG Y G, LI W T, ZONG Z M, FAN X, ZHAO Y P. Characterization of organonitrogen species in Xianfeng lignite by sequential extraction and ruthenium ion-catalyzed oxidation[J]. Fuel Process Technol, 2014,126:199-206. doi: 10.1016/j.fuproc.2014.05.004

    19. [19]

      LU H Y, WEI X Y, Yu R, PENG Y L, QI X Z, QIE L M, WEI Q, LV J, ZONG Z M, ZHAO W. Sequential thermal dissolution of huolinguole lignite in methanol and ethanol[J]. Energy Fuels, 2011,25(6):2741-2745. doi: 10.1021/ef101734f

    20. [20]

      YAN Jie, ZHAO Yun-peng, XIAO Jian, TIAN You-jia. Thermal dissolution of Shengli and Xiaolongtan lignites in methanol and analysis of the soluble portions[J]. J Fuel Chem Technol, 2016,44(1):15-22. doi: 10.3969/j.issn.0253-2409.2016.01.003 

    21. [21]

      LIU F J, WEI X Y, XIE R L, WANG Y G, LI W T, LI Z K, LI P, ZONG Z M. Characterization of oxygen-containing species in methanolysis products of extraction residue from Xianfeng lignite with negative-ion electrospray ionization Fourier transform ion cyclotron resonance mass spectrometry[J]. Energy Fuels, 2014,28(9):5596-5605. doi: 10.1021/ef501414g

    22. [22]

      LIU J, WEI X Y, ZHANG D D, LI Z K, LV J H, WANG T M, GUI J, QU M, GUO L L, ZONG Z M, LI W, KONG L X. Characterization of heteroatom-containing species in the soluble portion from the ethanolysis of the extraction residue from Xinghe lignite by electrospray ionization Fourier transform ion cyclotron resonance mass spectrometry[J]. Fuel, 2016,173:222-229.  

    23. [23]

      LI Z K, WEI X Y, YAN H L, YU X Y, ZONG Z M. Insight into the chemical complexity of ethanolysis products from extraction residue of Zhaotong lignite[J]. Fuel, 2016,174:287-295. doi: 10.1016/j.fuel.2016.02.001

    24. [24]

      LIU F J, WEI X Y, LI W T, GUI J, LI P, WANG Y G, XIE R L, ZONG Z M. Methanolysis of extraction residue from Xianfeng lignite with NaOH and product characterizations with different spectrometries[J]. Fuel Process Technol, 2015,136:8-16. doi: 10.1016/j.fuproc.2014.07.012

    25. [25]

      LIU F J, FAN M, WEI X Y, ZONG Z M. Application of mass spectrometry in the characterization of chemicals in coal-derived liquids[J]. Mass Spectrom Rev, 2017,36:543-579. doi: 10.1002/mas.21504

    26. [26]

      HUGHEY C A, HENDRICKSON C L, RODGERS R P, MARSHALL A G, QIAN K N. Kendrick mass defect spectrum:A compact visual analysis for ultrahigh-resolution broadband mass spectra[J]. Anal Chem, 2001,73(19):4676-4681. doi: 10.1021/ac010560w

    27. [27]

      QI S C, ZHANG L, WEI X Y, HAYASHI J I, ZONG Z M, GUO L L. Deep hydrogenation of coal tar over a Ni/ZSM-5 catalyst[J]. RSC Adv, 2014,4(33):17105-17109. doi: 10.1039/c3ra47701k

    28. [28]

      LI S, ZONG Z M, LIU J, WEI X Y. Characterization of nitrogen and sulfur-containing species in the extracts from ultrasonic extraction of Zhaotong lignite[J]. Fuel, 2018,219:417-425. doi: 10.1016/j.fuel.2018.01.085

    29. [29]

      LI Z K, ZONG Z M, YAN H L, WEI Z H, LI Y, WEI X Y. Identification of basic nitrogen compounds in ethanol-soluble portion from Zhaotong lignite ethanolysis by positive-ion electrospray ionization Fourier transform ion cyclotron resonance mass spectrometry[J]. Fuel, 2015,141:268-274. doi: 10.1016/j.fuel.2014.10.037

    30. [30]

      ZHANG D D, ZONG Z M, LIU J, LV J H, WANG T M, GUI J, QU M, GUO L L, FENG Z H, WEI X Y. Characterization of nitrogen-and oxygen-containing species in methanol-extractable portion from Xinghe lignite[J]. Fuel Process Technol, 2016,142:167-173. doi: 10.1016/j.fuproc.2015.10.012

    31. [31]

      XIAO Jian, ZHAO Yun-peng, DING Man, WEI Xian-yong. Composition and structural characteristics of nitrogen-containing species in the soluble organic species of Xianfeng lignite[J]. J Fuel Chem Technol, 2017, 45(4): 385-393.

  • 加载中
    1. [1]

      Peiran ZHAOYuqian LIUCheng HEChunying DUAN . A functionalized Eu3+ metal-organic framework for selective fluorescent detection of pyrene. Chinese Journal of Inorganic Chemistry, 2024, 40(4): 713-724. doi: 10.11862/CJIC.20230355

    2. [2]

      Wendian XIEYuehua LONGJianyang XIELiqun XINGShixiong SHEYan YANGZhihao HUANG . Preparation and ion separation performance of oligoether chains enriched covalent organic framework membrane. Chinese Journal of Inorganic Chemistry, 2024, 40(8): 1528-1536. doi: 10.11862/CJIC.20240050

    3. [3]

      Junyang FENGXiaoli HANYongjie SONGGang LI . Proton conduction and fluorescence properties of an ionic hydrogen-bonded organic framework constructed from dibromophthalic acid. Chinese Journal of Inorganic Chemistry, 2026, 42(4): 693-702. doi: 10.11862/CJIC.20250350

    4. [4]

      Yachao HUANGChuanwang ZENGGuiyong LIUJinming ZENGChao LIUXiaopeng QI . Oxygen vacancies and phosphorus doping enhanced metal-organic framework derived nitrogen-doped carbon-coated Co3O4 bifunctional electrocatalyst. Chinese Journal of Inorganic Chemistry, 2025, 41(11): 2251-2260. doi: 10.11862/CJIC.20250133

    5. [5]

      Zunxiang Zeng Yuling Hu Yufei Hu Hua Xiao . Analysis of Plant Essential Oils by Supercritical CO2Extraction with Gas Chromatography-Mass Spectrometry: An Instrumental Analysis Comprehensive Experiment Teaching Reform. University Chemistry, 2024, 39(3): 274-282. doi: 10.3866/PKU.DXHX202309069

    6. [6]

      Qianlang Wang Jijun Sun Qian Chen Quanqin Zhao Baojuan Xi . The Appeal of Organophosphorus Compounds: Clearing Their Name. University Chemistry, 2025, 40(4): 299-306. doi: 10.12461/PKU.DXHX202405205

    7. [7]

      Fengxiao Wang Zhiwei Miao Yaofeng Yuan . 有机磷化学与化学教学. University Chemistry, 2025, 40(8): 158-168. doi: 10.12461/PKU.DXHX202410077

    8. [8]

      Ping LIGeng TANXin HUANGFuxing SUNJiangtao JIAGuangshan ZHUJia LIUJiyang LI . Green synthesis of metal-organic frameworks with open metal sites for efficient ammonia capture. Chinese Journal of Inorganic Chemistry, 2025, 41(10): 2063-2068. doi: 10.11862/CJIC.20250020

    9. [9]

      Lewang YuanYaoyao PengZong-Jie GuanYu Fang . Insights into the development of 2D covalent organic frameworks as photocatalysts in organic synthesis. Acta Physico-Chimica Sinica, 2025, 41(8): 100086-0. doi: 10.1016/j.actphy.2025.100086

    10. [10]

      Jian Jin Jing Cheng Xueping Yang . Integration Practice of Organic Chemistry Experiment and Safety Education: Taking the Synthesis of Triphenylmethanol as an Example. University Chemistry, 2024, 39(3): 345-350. doi: 10.3866/PKU.DXHX202309010

    11. [11]

      Feng Han Fuxian Wan Ying Li Congcong Zhang Yuanhong Zhang Chengxia Miao . Comprehensive Organic Chemistry Experiment: Phosphotungstic Acid-Catalyzed Direct Conversion of Triphenylmethanol for the Synthesis of Oxime Ethers. University Chemistry, 2025, 40(3): 342-348. doi: 10.12461/PKU.DXHX202405181

    12. [12]

      Aiai WANGLu ZHAOYunfeng BAIFeng FENG . Research progress of bimetallic organic framework in tumor diagnosis and treatment. Chinese Journal of Inorganic Chemistry, 2024, 40(10): 1825-1839. doi: 10.11862/CJIC.20240225

    13. [13]

      Feng Sha Xinyan Wu Ping Hu Wenqing Zhang Xiaoyang Luan Yunfei Ma . Design of Course Ideology and Politics for the Comprehensive Organic Synthesis Experiment of Benzocaine. University Chemistry, 2024, 39(2): 110-115. doi: 10.3866/PKU.DXHX202307082

    14. [14]

      Xinyu Zhu Meili Pang . Application of Functional Group Addition Strategy in Organic Synthesis. University Chemistry, 2024, 39(3): 218-230. doi: 10.3866/PKU.DXHX202308106

    15. [15]

      Tianyun Chen Ruilin Xiao Xinsheng Gu Yunyi Shao Qiujun Lu . Synthesis, Crystal Structure, and Mechanoluminescence Properties of Lanthanide-Based Organometallic Complexes. University Chemistry, 2024, 39(5): 363-370. doi: 10.3866/PKU.DXHX202312017

    16. [16]

      Shicheng Yan . Experimental Teaching Design for the Integration of Scientific Research and Teaching: A Case Study on Organic Electrooxidation. University Chemistry, 2024, 39(11): 350-358. doi: 10.12461/PKU.DXHX202408036

    17. [17]

      Yong Wang Yingying Zhao Boshun Wan . Analysis of Organic Questions in the 37th Chinese Chemistry Olympiad (Preliminary). University Chemistry, 2024, 39(11): 406-416. doi: 10.12461/PKU.DXHX202403009

    18. [18]

      Ran HUOZhaohui ZHANGXi SULong CHEN . Research progress on multivariate two dimensional conjugated metal organic frameworks. Chinese Journal of Inorganic Chemistry, 2024, 40(11): 2063-2074. doi: 10.11862/CJIC.20240195

    19. [19]

      Bin HEHao ZHANGLin XUYanghe LIUFeifan LANGJiandong PANG . Recent progress in multicomponent zirconium?based metal-organic frameworks. Chinese Journal of Inorganic Chemistry, 2024, 40(11): 2041-2062. doi: 10.11862/CJIC.20240161

    20. [20]

      Xiaofang DONGYue YANGShen WANGXiaofang HAOYuxia WANGPeng CHENG . Research progress of conductive metal-organic frameworks. Chinese Journal of Inorganic Chemistry, 2025, 41(1): 14-34. doi: 10.11862/CJIC.20240388

Metrics
  • PDF Downloads(6)
  • Abstract views(1288)
  • HTML views(164)

通讯作者: 陈斌, bchen63@163.com
  • 1. 

    沈阳化工大学材料科学与工程学院 沈阳 110142

  1. 本站搜索
  2. 百度学术搜索
  3. 万方数据库搜索
  4. CNKI搜索
Address:Zhongguancun North First Street 2,100190 Beijing, PR China Tel: +86-010-82449177-888
Powered By info@rhhz.net

/

DownLoad:  Full-Size Img  PowerPoint
Return