Citation:
Liang Zhengyong, Wang Shuang, Xie Jun. Research Progress in Side Chain Liquid Crystalline Polyether Chelating Resin[J]. Chemistry,
;2018, 81(8): 692-697.
-
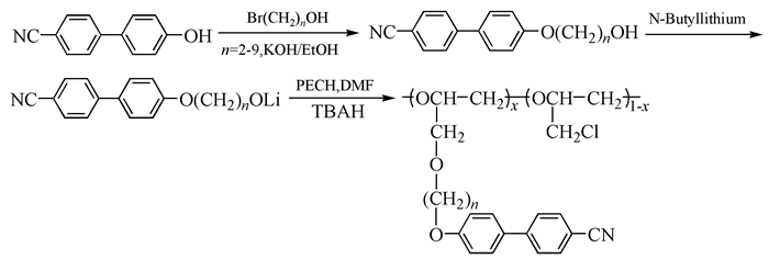
Side chain liquid crystalline polyether chelating resins have greater application performance than traditional polyether chelating resin owing to introduction of rigid mesogenic. They have become one of the hot spots in the field of resin in recent years with the advantages of good heat stability, adsorption capacity, ion selectivity, and easy design and syntheses. This paper introduces the syntheses, properties and application of side chain liquid crystalline polyether chelate resins. Finally, based on the requirements for the use of the mechanical properties, adsorption selectivity, regeneration performance, and environmental performance of the side chain liquid crystalline polyether chelate resins, the molecular design, synthetic methods and new application fields are prospected.
-
Keywords:
- Chelating resin,
- Liquid crystalline,
- Polyether
-
-
-
[1]
A I Okewole, E Antunes, T Nyokong et al. Miner. Eng., 2013, 54:88~93.
-
[2]
C H Xiong, Y L Li, G T Wang et al. Chem. Eng. J., 2015, 259:257~265.
- [3]
- [4]
- [5]
- [6]
-
[7]
H Yang, M X Liu, Y W Yao et al. Macromolecules, 2013, 46(9):3406~3416.
- [8]
-
[9]
J M Rodriquez-Parada, V Perce. J. Polym. Sci. A, 1987, 25(8):2269~2279.
-
[10]
D Ardnazazu, A Bello, E Perez. Macromol. Chem. Phys., 2002, 203:975~984.
-
[11]
-
[12]
R Navarro, M Perez, G Rodriguez et al. Eur. Polym. J., 2007, 43:4516~4522.
- [13]
- [14]
-
[15]
X G Han, R A Shanks. Macromol. Chem. Phys., 2004, 205:743~751.
-
[16]
J M Montornes, J A Reina, J C Ronda. J. Polym. Sci. Pol. Chem., 2005, 43:5998~6006.
-
[17]
B G Kim, E H Sohn, C Kilwon et al. Eur. Polym. J., 2008, 44:2912~2919.
-
[18]
- [19]
-
[20]
X G Han, S B Zhang, R A Shanks et al. React. Funct. Polym., 2008, 68:1091~1102.
-
[21]
B Korkmaz, Y H Gursel, N Y Canli et al. Polym. Adv. Technol., 2017, 28(11):1351~1356.
- [22]
-
[23]
- [24]
- [25]
-
[26]
-
[27]
L L Hsu, T C Chang, W L Tsai et al. J. Polym. Sci. A, 1997, 35:2843~2855.
-
[28]
S Q Zhang, C C Zhang, C H He et al. E-polymers, 2009, 9(1):468~478.
-
[29]
C H He, C C Zhang, M L Xie et al. Liq. Cryst., 2008, 35:1321~1328.
- [30]
-
[31]
P Li, S Chen, H Luo et al. J. Polym. Sci. A, 2017, 55(4):754~766.
-
[32]
X H Han, X W Yang, S Chen et al. Chin. J. Polym. Sci., 2018(DOI:10.1007/s10118-018-2108-9).
- [33]
- [34]
- [35]
-
[36]
C Sun, G H Zhang, Y Yu et al. Chem. Eng. J., 2011, 170:250~257.
-
[37]
Y Monguchi, T Ichikawa, K Nozaki et al. Tetrahedron, 2015, 71(37):6499~6505.
- [38]
-
[39]
S Hayami, N Motokawa, A Shuto et al. Inorg. Chem., 2007, 46:1789~1794.
-
[40]
K Q Zhao, B Q Wang, M Jiang et al. J. Sichuan. Univ., 2005, 42:256~259.
-
[41]
L Chen, Y J Yuan, G Q Zhong et al. Polymer, 2017, 132:21~58.
-
[42]
-
[1]
-
-
-
[1]
Wendian XIE , Yuehua LONG , Jianyang XIE , Liqun XING , Shixiong SHE , Yan YANG , Zhihao HUANG . Preparation and ion separation performance of oligoether chains enriched covalent organic framework membrane. Chinese Journal of Inorganic Chemistry, 2024, 40(8): 1528-1536. doi: 10.11862/CJIC.20240050
-
[2]
Yukai Jiang , Yihan Wang , Yunkai Zhang , Yunping Wei , Ying Ma , Na Du . Characterization and Phase Diagram of Surfactant Lyotropic Liquid Crystal. University Chemistry, 2024, 39(4): 114-118. doi: 10.3866/PKU.DXHX202309033
-
[3]
Xiaojun Liu , Lang Qin , Yanlei Yu . Dynamic Manipulation of Photonic Bandgaps in Cholesteric Liquid Crystal Microdroplets for Applications. Acta Physico-Chimica Sinica, 2024, 40(5): 2305018-0. doi: 10.3866/PKU.WHXB202305018
-
[4]
Qianping Li , Hua Guan , Changfeng Wan , Yonghai Song , Jianwen Jiang . 大学有机化学复习课项目式教学——以“液晶化合物4-正戊基苯甲酸-4′-正戊基苯酯的合成路线设计与产品制备”为例. University Chemistry, 2025, 40(8): 100-116. doi: 10.12461/PKU.DXHX202410070
-
[5]
Lijuan Liu , Xionglei Wang . Preparation of Hydrogels from Waste Thermosetting Unsaturated Polyester Resin by Controllable Catalytic Degradation: A Comprehensive Chemical Experiment. University Chemistry, 2024, 39(11): 313-318. doi: 10.12461/PKU.DXHX202403060
-
[1]
Metrics
- PDF Downloads(15)
- Abstract views(1273)
- HTML views(182)
Login In
DownLoad: