Citation:
Guo Qiangqiang, Zhai Jiangli, Shu Shili. Study on Synthesis and Corrosion Inhibition Properties of a Methionine Derivative[J]. Chemistry,
;2019, 82(5): 476-479.
-
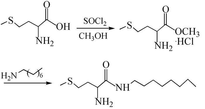
A novel methionine derivative pickling corrosion inhibitor was synthesized. Its structure was identified by IR and NMR. The corrosion inhibition performance of methionine derivative were studied by weight loss and electrochemical methods for A3 steel in 0.5mol·L-1 sulfuric acid medium, and the inhibition mechanism was discussed by isothermal adsorption model. The results showed that the corrosion efficiency of methionine derivative was about 90%, which indicated it had excellent inhibitory effect for A3 steel in H2SO4 medium. Polarization curves indicated the inhibitor acts as mixed-type inhibitor. Impedance testing showed that the corrosion rate is decreased by increasing the charge transfer resistance of metal surface.
-
-
- [1]
- [2]
- [3]
- [4]
-
[5]
S A Sievers, J Karanicolas, H W Chang et al. Nature, 2011, 475(7354):96~100.
-
[6]
G L F Mendonça, S N Costa, V N Freire et al. Corros. Sci., 2017, 115(1):41~45.
-
[7]
T Stimpfling, P Vialat, H Hintze-Bruening et al. Eur. J. Inorg. Chem., 2016, 2016(13~14):2006~2016.
-
[8]
Z Zhang, N Tian, W Zhang et al. Corros. Sci., 2016, 111:675~689.
-
[9]
D Thirumoolan, V A Katkar, G Gunasekaran et al. Prog. Org. Coat., 2014, 77(8):1253~1263.
-
[10]
G M A El-Hafez, W A Badawy. Electrochim. Acta, 2013, 108(10):860~866.
-
[11]
E Oguzie, Y Li, F Wang. J. Colloid Interf. Sci., 2007, 310(1):90~98.
- [12]
- [13]
-
[14]
M S Lall, Y K Ramtohul, M N G James et al. J. Org. Chem., 2002, 67(5):1536~1547.
- [15]
-
[16]
O Olivares, N V Likhanova, B Gómez et al. Appl. Surf. Sci., 2006, 252(8):2894~2909.
-
-
-
[1]
Feiyang Liu , Liuhong Song , Miaoyu Fu , Zhi Zheng , Gang Xie , Junlong Zhao . Tryptophan’s Employment Journey. University Chemistry, 2024, 39(9): 16-21. doi: 10.12461/PKU.DXHX202404037
-
[2]
Hong Lu , Yidie Zhai , Xingxing Cheng , Yujia Gao , Qing Wei , Hao Wei . Advancements and Expansions in the Proline-Catalyzed Asymmetric Aldol Reaction. University Chemistry, 2024, 39(5): 154-162. doi: 10.3866/PKU.DXHX202310074
-
[3]
Meiyu Lin , Yuxin Fang , Songzhang Shen , Yaqian Duan , Wenyi Liang , Chi Zhang , Juan Su . Exploration and Implementation of a Dual-Pathway Blended Teaching Model in General Chemistry Experiment Course: A Case Study of Copper Glycine Synthesis and Its Thermal Analysis. University Chemistry, 2024, 39(8): 48-53. doi: 10.3866/PKU.DXHX202312042
-
[4]
Yingtong Shi , Guotong Xu , Guizeng Liang , Di Lan , Siyuan Zhang , Yanru Wang , Daohao Li , Guanglei Wu . PEG-VN改性PP隔膜用于高稳定性高效率锂硫电池. Acta Physico-Chimica Sinica, 2025, 41(7): 100082-0. doi: 10.1016/j.actphy.2025.100082
-
[5]
Ruiyun Liu , Ping Wang , Xuefei Wang , Feng Chen , Huogen Yu . Work-function-engineered Mo 4d electronic structure modulation in Mo2C MXene cocatalyst for efficient photocatalytic H2 evolution. Acta Physico-Chimica Sinica, 2025, 41(11): 100137-0. doi: 10.1016/j.actphy.2025.100137
-
[6]
Huaihao CHEN , Lingwen ZHANG , Yukun CHEN , Jianjun ZHANG . A water-stable metal-organic framework probe for Al3+/Ga3+/In3+ detection. Chinese Journal of Inorganic Chemistry, 2025, 41(12): 2601-2608. doi: 10.11862/CJIC.20250184
-
[7]
Gregorio F. Ortiz . Some facets of the Mg/Na3VCr0.5Fe0.5(PO4)3 battery. Chinese Chemical Letters, 2024, 35(10): 109391-. doi: 10.1016/j.cclet.2023.109391
-
[8]
Yan ZHAO , Jiaxu WANG , Zhonghu LI , Changli LIU , Xingsheng ZHAO , Hengwei ZHOU , Xiaokang JIANG . Gd3+-doped Sc2W3O12: Eu3+ red phosphor: Preparation and luminescence performance. Chinese Journal of Inorganic Chemistry, 2025, 41(3): 461-468. doi: 10.11862/CJIC.20240316
-
[9]
Kun Wang , Tianxue Gong , Yaohuang Huang , Boyang Han , Hanxiao Yang , Pavlo O. Dral , Weiwei Fang . Bornylimidazo[1,5–a]pyridin-3-ylidene allylic Pd catalyst with optimal electronic and steric properties for synthesis of 3,3′-disubstituted oxindoles. Chinese Chemical Letters, 2025, 36(7): 110539-. doi: 10.1016/j.cclet.2024.110539
-
[10]
Ruixin XU , Hongtuo LI , Chen SHI , Yanhong YAN . Factors influencing the spectral properties of composite luminescent materials SrTiO3: Eu3+/SrAl2O4: Eu2+, Dy3+. Chinese Journal of Inorganic Chemistry, 2025, 41(11): 2307-2316. doi: 10.11862/CJIC.20250055
-
[11]
Juan Guo , Mingyuan Fang , Qingsong Liu , Xiao Ren , Yongqiang Qiao , Mingju Chao , Erjun Liang , Qilong Gao . Zero thermal expansion in Cs2W3O10. Chinese Chemical Letters, 2024, 35(7): 108957-. doi: 10.1016/j.cclet.2023.108957
-
[12]
. . University Chemistry, 2024, 39(3): 0-0.
-
[13]
Yuexi Guo , Zhaoyang Li , Jingwei Dai . Charlie and the 3D Printing Chocolate Factory. University Chemistry, 2024, 39(9): 235-242. doi: 10.3866/PKU.DXHX202309067
-
[14]
. 第41卷第3期封面和目次. Acta Physico-Chimica Sinica, 2025, 41(3): -.
-
[15]
Yanqiong Wang , Yaqi Hou , Fengwei Huo , Xu Hou . Fe3+ ion quantification with reusable bioinspired nanopores. Chinese Chemical Letters, 2025, 36(2): 110428-. doi: 10.1016/j.cclet.2024.110428
-
[16]
. . University Chemistry, 2025, 40(3): 0-0.
-
[17]
Liyong DU , Yi LIU , Guoli YANG . Preparation and triethylamine sensing performance of ZnSnO3/NiO heterostructur. Chinese Journal of Inorganic Chemistry, 2025, 41(4): 729-740. doi: 10.11862/CJIC.20240404
-
[18]
Ke Xu , Shulai Lei , Panshuo Wang , Weiyi Wang , Yuan Feng , Junsheng Feng . Unraveling the microscopic origin of out of plane magnetic anisotropy in Ⅵ3. Chinese Chemical Letters, 2025, 36(8): 110257-. doi: 10.1016/j.cclet.2024.110257
-
[19]
Yongqing Zeng , Caijun Liang , Xin Lu , Lingxue Zhao , Fangting Wu , Tao Hou , Anting Zhao , Menglan Lv , Zhu Tao , Qing Li . Perfect separation of pyridine and 3-methylpyridine by cucurbit[6]uril. Chinese Chemical Letters, 2025, 36(9): 110807-. doi: 10.1016/j.cclet.2024.110807
-
[20]
Jingwen Wang , Peizhang Zhao , Mengmeng Li , Jun Li , Yunfeng Lin . Remedying infectious bone defects via 3D printing technology. Chinese Chemical Letters, 2025, 36(9): 110686-. doi: 10.1016/j.cclet.2024.110686
-
[1]
Metrics
- PDF Downloads(8)
- Abstract views(2072)
- HTML views(190)
Login In
DownLoad: