Citation:
FANG Jie, LI Na, CHENG Lang, LU Jiang-yin. Effect of Ni-Cu on the one-step mild pressure hydrogenation of 1, 4-butynediol[J]. Journal of Fuel Chemistry and Technology,
;2019, 47(6): 725-736.
-
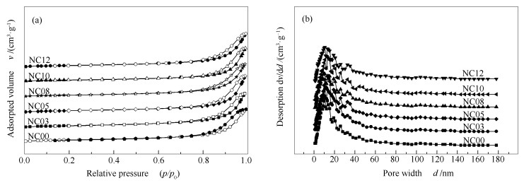
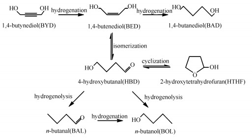
The deposition-precipitation method was employed for the purpose of bringing in metallic promoters into Ni/Al2O3 catalysts. The effects of various metallic promoters on the catalytic performance in 1, 4-butynediol (BYD) hydrogenation were investigated. Besides, the contents of the suitable promoter were further studied, which were combined with BET, XRD, H2-TPR, EDX-MAPPING, TEM, XPS, and NH3-TPD techniques, aimed at exploring physico-chemical characteristics in catalysts. As the findings suggested, the addition of different promoters substantially impacted the interaction between Ni2+ and support, acting as the key factor impacting the catalytic performance. The introduction of Cu and Fe had the potential to prominently lower the strong interaction between Ni2+ and support for the improvement of the BYD conversion of 95%. Furthermore, different contents of Cu were further studied and discovered that it was the phenomenon of hydrogen spillover arisen on Cu surfaces, efficiently lowering the interaction between Ni2+ and support. Nevertheless, the aggregation in Ni particles cannot be evitable, but for the existence of Ni-Cu alloying in Cu-added catalysts. As the Cu content reached up to 5%, the catalyst manifested the excellent catalytic performance in hydrogenation owing to the abundant amount of Ni0 active sites in the form of the high dispersion and the fitting acidity.
-
Keywords:
- Ni/Al2O3 catalysts,
- Ni-Cu,
- modification,
- BYD,
- BED
-
-
-
[1]
LI Chang-you, YANG Le-fu, CAI Fan, HUANG Bo, HU Yu-xiang, CAI Jun-xiu. Study on Pd-Pb/CaCO3 catalyst for selective hydrogenation of acetylenic link in hydrocarbon[J]. J Xiamen Univ (Nat Sci), 2005(4):515-519. doi: 10.3321/j.issn:0438-0479.2005.04.018
-
[2]
NATIVIDAD R, CRUZ OLIVARES J, FISHWICK R P, WOOD J, WINTERBOTTOM J M. Scaling-out selective hydrogenation reactions:From single capillary reactor to monolith[J]. Fuel, 2007,86(9):1304-1312. doi: 10.1016/j.fuel.2006.12.005
-
[3]
TELKAR M M, RODE C V, RANE V H, JAGANATHAN R, CHAUDHARI R V. Selective hydrogenation of 2-butyne-1, 4-diol to 2-butene-1, 4-diol:Roles of ammonia, catalyst pretreatment and kinetic studies[J]. Appl Catal A:Gen, 2001,216(1):13-22.
-
[4]
LIU Xiang, LIAO Qi-jiang, ZHANG Min-qing. Research progress of 1, 4-butynediol hydrogenation process[J]. Chem Ind Eng Prog, 2017,36(8):2787-2797.
-
[5]
CHEN X, ZHANG M M, YANG K X, WILLIAMS C T, LIANG C H. Raney Ni-Si catalysts for selective hydrogenation of highly concentrated 2-butyne-1, 4-diol to 2-butene-1, 4-diol[J]. Catal Lett, 2014,144(7):1118-1126. doi: 10.1007/s10562-014-1259-8
-
[6]
TANIELYAN S, SCHIMIDT S, MARIN N, ALVEZ G, AUGUSTINE R. Selective hydrogenation of 2-butyne-1, 4-diol to 1, 4-butanediol over particulate raney(R) nickel catalysts[J]. Top Catal, 2010,53(15/18):1145-1149.
-
[7]
LI C, ZHANG M, DI X, YIN D, LI W, LIANG C. One-step synthesis of Pt@ZIF-8 catalyst for the selective hydrogenation of 1, 4-butynediol to 1, 4-butenediol[J]. Chin J Catal, 2016,37(9):1555-1561. doi: 10.1016/S1872-2067(16)62497-X
-
[8]
ZHANG M M, YANG Y B, LI C, LIU Q, WILLIAMS C T, LIANG C H. PVP-Pd@ZIF-8 as highly efficient and stable catalysts for selective hydrogenation of 1, 4-butynediol[J]. Catal Sci Technol, 2014,4(2):329-332. doi: 10.1039/C3CY00873H
-
[9]
SAVVA P G, GOUNDANI K, VAKROS J, BOURIKAS K, FOUNTZOULA C, VATTIS D, LYCOURGHIOTIS A, KORDULIS C. Benzene hydrogenation over Ni/Al2O3 catalysts prepared by conventional and sol-gel techniques[J]. Appl Catal B:Environ, 2008,79(3):199-207. doi: 10.1016/j.apcatb.2007.10.023
-
[10]
XIONG J, CHEN J, ZHANG J. Liquid-phase hydrogenation of o-chloronitrobenzene over supported nickel catalysts[J]. Catal Commun, 2007,8(3):345-350. doi: 10.1016/j.catcom.2006.06.028
-
[11]
MICHALSKA K, KOWALIK P, KONKOL M, PROCHNIAK W, STOLECKI K, SLOWIK G, BOROWIECKI T. The effect of copper on benzene hydrogenation to cyclohexane over Ni/Al2O3 catalyst[J]. Appl Catal A:Gen, 2016,523(5):54-60.
-
[12]
PEYROVI M, TOOSI M. Study of benzene hydrogenation catalyzed by nickel supported on alumina in a fixed bed reactor[J]. React Kinet Catal Lett, 2008,94(1):115-119. doi: 10.1007/s11144-008-5277-7
-
[13]
LOULOUDI A, MICHALOPOULOS J, GANGAS N H, PAPAYANNAKOS N. Hydrogenation of benzene on Ni/Al-pillared saponite catalysts[J]. Appl Catal A:Gen, 2003,242(1):41-49. doi: 10.1016/S0926-860X(02)00503-3
-
[14]
ZIELINSKI M. The catalytic and physico-chemical properties of Ni/MgF2-MgO catalysts[J]. Appl Catal A:Gen, 2012,449:15-22. doi: 10.1016/j.apcata.2012.09.033
-
[15]
BOUDJAHEM A G, BOUDERBALA W, BETTAHAR M. Benzene hydrogenation over Ni-Cu/SiO2 catalysts prepared by aqueous hydrazine reduction[J]. Fuel Process Technol, 2011,92(3):500-506. doi: 10.1016/j.fuproc.2010.11.003
-
[16]
DONG X F, CAI X L, SONG Y B, LIN W M. Effect of transition metals (Cu, Co and Fe) on the autothermal reforming of methane over Ni/Ce0.2Zr0.1Al0.7Oδ catalyst[J]. J Nat Gas Chem, 2007,16(1):31-36. doi: 10.1016/S1003-9953(07)60022-X
-
[17]
LI Hai-tao. Study of deactivation and promotion of catalyst employed in hydrogenation of butynediol to 1, 4-butanediol[D].Taiyuan: Shanxi University, 2011.
-
[18]
KANG L N, GUO J Y, ZHANG H X, LI H T, XU Y L, ZHAO Y X. Activity and stability of Ni/SiO2-Al2O3 catalyst in the aqueous phase hydrogenation system[J]. J Mol Catal, 2014,2:119-125.
-
[19]
REN Yong, YUAN Tao, LIU De-rong, XIONG Wei, WU Xiao-hai, YI Fei, MENG Xiao-jing. Study on selective hydrogenation of 1, 4-butynediol by Pd-Cu/Fe3O4@C catalyst[J]. Chem Res Appl, 2017,29(11):1686-1692. doi: 10.3969/j.issn.1004-1656.2017.11.012
-
[20]
LI Xia, HU Yu-fang, LIU De-rong, FENG Jian, XIONG Wei, SONG Fa-yi. Hydrogenolysis of glycerol to 1, 2-propanediol over Ru-Cu/Fe3O4-TiO2 catalyst[J]. Chem Res Appl, 2016,28(5):629-635. doi: 10.3969/j.issn.1004-1656.2016.05.011
-
[21]
BANG Y J, SEO J G, SONG I K. Hydrogen production by steam reforming of liquefied natural gas (LNG) over Ni-Al2O3 catalysts prepared by a sequential precipitation method:Effect of precipitation agent[J]. Int J Hydrogen Energy, 2009,34(19):8053-8060. doi: 10.1016/j.ijhydene.2009.08.020
-
[22]
CAI B, ZHOU X C, MIAO Y C, LUO J Y, PAN H, HUANG Y B. Enhanced catalytic transfer hydrogenation of ethyl levulinate to γ-valerolactone over a robust Cu-Ni bimetallic catalyst[J]. ACS Sustainable Chem Eng, 2017,5(2):1322-1331. doi: 10.1021/acssuschemeng.6b01677
-
[23]
WANG A, YIN H, LU H, XUE J, REN M, JIANG T. Effect of organic modifiers on the structure of nickel nanoparticles and catalytic activity in the hydrogenation of p-nitrophenol to p-aminophenol[J]. Langmuir, 2009,25(21):12736-12741. doi: 10.1021/la901815b
-
[24]
BAYAT N, REZAEI M, MESHKANI F. Methane decomposition over Ni-Fe/Al2O3 catalysts for production of COx-free hydrogen and carbon nanofiber[J]. Int J Hydrogen Energy, 2016,41(3):1574-1584. doi: 10.1016/j.ijhydene.2015.10.053
-
[25]
ZENG Y, WANG Z, LIN W, SONG W, CHRISTENSEN J M, JENSEN A. Hydrodeoxygenation of phenol over Pd catalysts by in-situ generated hydrogen from aqueous reforming of formic acid[J]. Catal Commun, 2016,82(5):46-49.
-
[26]
CHEN J, QIAO Y, LI Y. Promoting effects of doping ZnO into coprecipitated NiAl2O3catalyst on methane decomposition to hydrogen and carbon nanofibers[J]. Appl Catal A:Gen, 2008,337(2):148-154. doi: 10.1016/j.apcata.2007.12.007
-
[27]
YADAV G D, KHARKARA M R. Liquid-phase hydrogenation of saturated and unsaturated nitriles:Activities and selectivities of bimetallic nickel-copper and Nickel-Iron catalysts supported on silica[J]. Appl Catal A:Gen, 1995,126(1):115-123. doi: 10.1016/0926-860X(95)00039-9
-
[28]
DONG F, ZHU Y, ZHENG H, ZHU Y, LI X, LI Y. Cr-free Cu-catalysts for the selective hydrogenation of biomass-derived furfural to 2-methylfuran:The synergistic effect of metal and acid sites[J]. J Mol Catal A:Chem, 2015,398:140-148. doi: 10.1016/j.molcata.2014.12.001
-
[29]
WANG Z, LIU Q, YU J, WU T, WANG G. Surface structure and catalytic behavior of silica-supported copper catalysts prepared by impregnation and Sol-Gel methods[J]. Appl Catal A:Gen, 2003,239(1/2):87-94.
-
[30]
ASHOK J, SUBRAHMANYAM M, AKULA V. Hydrotalcite structure derived Ni-Cu-Al catalysts for the production of H2 by CH4 decomposition[J]. Int J Hydrogen Energy, 2008,33(11):2704-2713. doi: 10.1016/j.ijhydene.2008.03.028
-
[31]
JUSZCZYK W, COLMENARES J C, ŚREBOWATA A, KARPINSKI Z. The effect of copper and gold on the catalytic behavior of nickel/alumina catalysts in hydrogen-assisted dechlorination of 1, 2-dichloroethane[J]. Catal Today, 2011,169(1):186-191. doi: 10.1016/j.cattod.2010.08.019
-
[32]
SHALI N B, SUGUNAN S. Influence of transition metals on the surface acidic properties of titania prepared by sol-gel route[J]. Mater Res Bull, 2007,42(9):1777-1783. doi: 10.1016/j.materresbull.2006.11.016
-
[33]
MORE S, TANIELYAN S L, AUGUSTINE R, SCHMIDT S. Continuous liquid phase hydrogenation of 1, 4-butynediol to high purity 1, 4-Butanediol over particulate catalyst in fixed bed reactor[J]. Org Process Res Dev, 2016,21:327-335.
-
[34]
KHOUZ M, GKANAS E I, DU S, WOOD J. Catalytic performance of Ni-Cu/Al2O3 for effective syngas production by methanol steam reforming[J]. Fuel, 2018,232:672-683. doi: 10.1016/j.fuel.2018.06.025
-
[35]
RIAZ N, KAIT C B, MAN Z, DUTTA B, KHAN M. Photodegradation of orange Ⅱ under visible light using Cu-Ni/TiO2:Influence of Cu:Ni mass composition, preparation, and calcination temperature[J]. Ind Eng Chem Res, 2013,52(12):4491-4503. doi: 10.1021/ie303255v
-
[36]
YANG Z, LIU Y, LIU D, MENG X, LIU C. Hydroisomerization of n-octane over bimetallic Ni-Cu/SAPO-11 catalysts[J]. Catal Sci Technol, 2018,8(3):817-828. doi: 10.1039/C7CY02106B
-
[37]
WU Q D L, DUCHSTEIN L, CHIARELLO G L, CHRISTENSEN J M, DAMSGAARD C, ELKJAR C, WAGNER J, TEMEL B, GRUNWALDT J D, JENSEN A. In situ observation of Cu-Ni alloy nanoparticle formation by X-Ray diffraction, X-Ray absorption spectroscopy, and transmission electron microscopy:Influence of Cu/Ni ratio[J]. ChemCatChem, 2013,6(1):301-310.
-
[38]
HAO Z, ZHU Q, JIANG Z, HOU B, LI H. Characterization of aerogel Ni/Al2O3 catalysts and investigation on their stability for CH4-CO2 reforming in a fluidized bed[J]. Fuel Process Technol, 2009,90(1):113-121. doi: 10.1016/j.fuproc.2008.08.004
-
[39]
YANG Z, LIU Y, LIU D, MENG X, LIU C. Hydroisomerization of n-octane over bimetallic Ni-Cu/SAPO-11 catalysts[J]. Appl Catal A:Gen, 2017,543:274-282. doi: 10.1016/j.apcata.2017.06.028
-
[40]
MIRYALA B, REKHA V, PRASAD P S S, PRASAD R B N, NAKKA L. Selective hydrogenolysis of glycerol to 1, 2 propanediol over Cu-ZnO catalysts[J]. Catal Lett, 2008,126(1/2):119-124.
-
[41]
SOUZA G D, BALZARETTI N M, MARCILIO N R, PEREZ-LOPEZ O W. Decomposition of ethanol over Ni-Al catalysts:Effect of copper addition[J]. Procedia Eng, 2012,42:335-345. doi: 10.1016/j.proeng.2012.07.425
-
[42]
KAMEOKA S, TANABE T, PANG T A. Spinel CuFe2O4:A precursor for copper catalyst with high thermal stability and activity[J]. Catal Lett, 2005,100(1/2):89-93.
-
[43]
PRAKASH M G, MAHALAKSHMY R, KRISHNAMURTHY K R, VISWANATHAN B. Studies on Ni-M (M=Cu, Ag, Au) bimetallic catalysts for selective hydrogenation of cinnamaldehyde[J]. Catal Today, 2015,263:105-111.
-
[44]
WANG Da, ZHANG Yin, LI Hai-tao, ZHAO Li-li, ZHANG Hong-xi, ZHAO Yong-xiang. Selective hydrogenation of maleic anhydride to succinic anhydride in liquid phase over Ni-Cu/Al2O3 catalyst[J]. Chin J Catal, 2012,33(7):1229-1235.
-
[45]
IRIONDO A, CAMBRA J F, GUEMEZ M B, BARRIO V L, REQUIES J, SANCHEZ M C, NAVARRO R M. Effect of ZrO2 addition on Ni/Al2O3 catalyst to produce H2 from glycerol[J]. Int J Hydrogen Energy, 2012,37(8):7084-7093. doi: 10.1016/j.ijhydene.2011.11.075
-
[46]
SHI Y, CHEN W, DONGg L, LI H, FU Y. Enhancing copper infiltration into alumina using spark plasma sintering to achieve high performance Al2O3/Cu composites[J]. Ceram Int, 2018,44(1):57-64. doi: 10.1016/j.ceramint.2017.09.062
-
[47]
PRAKRUTHI H R, CHANDRASHEKARA B M, JAI PRAKASH B S, BHAT Y S. Hydrogenation efficiency of highly porous Cu-Al oxides derived from dealuminated LDH in the conversion of furfural to furfuryl alcohol[J]. J Ind Eng Chem, 2018,62:96-105. doi: 10.1016/j.jiec.2017.12.048
-
[48]
NAGHASH A R, ETSELL T H, XU S. XRD and XPS study of Cu-Ni interactions on reduced copper-nickel-aluminum oxide solid solution catalysts[J]. Chem Mater, 2006,18(10):2480-2488. doi: 10.1021/cm051910o
-
[49]
XU S, WANG X. Highly active and coking resistant Ni/CeO2-ZrO2 catalyst for partial oxidation of methane[J]. Fuel, 2005,84(5):563-567. doi: 10.1016/j.fuel.2004.10.008
-
[1]
-
-
-
[1]
Xuejiao Wang , Suiying Dong , Kezhen Qi , Vadim Popkov , Xianglin Xiang . Photocatalytic CO2 Reduction by Modified g-C3N4. Acta Physico-Chimica Sinica, 2024, 40(12): 2408005-0. doi: 10.3866/PKU.WHXB202408005
-
[2]
Yu Liu , Pengfei Li , Yize Liu , Zaicheng Sun . Recent advances in carbon dots as a single photocatalyst. Acta Physico-Chimica Sinica, 2026, 42(2): 100167-0. doi: 10.1016/j.actphy.2025.100167
-
[3]
Xiaosong PU , Hangkai WU , Taohong LI , Huijuan LI , Shouqing LIU , Yuanbo HUANG , Xuemei LI . Adsorption performance and removal mechanism of Cd(Ⅱ) in water by magnesium modified carbon foam. Chinese Journal of Inorganic Chemistry, 2024, 40(8): 1537-1548. doi: 10.11862/CJIC.20240030
-
[4]
Liuyun Chen , Wenju Wang , Tairong Lu , Xuan Luo , Xinling Xie , Kelin Huang , Shanli Qin , Tongming Su , Zuzeng Qin , Hongbing Ji . Soft template-induced deep pore structure of Cu/Al2O3 for promoting plasma-catalyzed CO2 hydrogenation to DME. Acta Physico-Chimica Sinica, 2025, 41(6): 100054-0. doi: 10.1016/j.actphy.2025.100054
-
[5]
Xiaorui Chen , Xuan Luo , Tongming Su , Xinling Xie , Liuyun Chen , Yuejing Bin , Zuzeng Qin , Hongbing Ji . Ga-doped Cu/γ-Al2O3 bifunctional interface sites promote the direct hydrogenation of CO2 to DME. Acta Physico-Chimica Sinica, 2025, 41(10): 100126-0. doi: 10.1016/j.actphy.2025.100126
-
[6]
Yuanyuan Ping , Wangqing Kong . 光催化碳氢键官能团化合成1-苯基-1,2-乙二醇. University Chemistry, 2025, 40(6): 238-247. doi: 10.12461/PKU.DXHX202408092
-
[7]
Yajin Li , Huimin Liu , Lan Ma , Jiaxiong Liu , Dehua He . Photothermal Synthesis of Glycerol Carbonate via Glycerol Carbonylation with CO2 over Au/Co3O4-ZnO Catalyst. Acta Physico-Chimica Sinica, 2024, 40(9): 2308005-0. doi: 10.3866/PKU.WHXB202308005
-
[8]
Hongyi LI , Aimin WU , Liuyang ZHAO , Xinpeng LIU , Fengqin CHEN , Aikui LI , Hao HUANG . Effect of Y(PO3)3 double-coating modification on the electrochemical properties of Li[Ni0.8Co0.15Al0.05]O2. Chinese Journal of Inorganic Chemistry, 2024, 40(7): 1320-1328. doi: 10.11862/CJIC.20230480
-
[9]
Shuhui Li , Rongxiuyuan Huang , Yingming Pan . Electrochemical Synthesis of 2,5-Diphenyl-1,3,4-Oxadiazole: A Recommended Comprehensive Organic Chemistry Experiment. University Chemistry, 2025, 40(5): 357-365. doi: 10.12461/PKU.DXHX202407028
-
[10]
Jingzhao Cheng , Shiyu Gao , Bei Cheng , Kai Yang , Wang Wang , Shaowen Cao . Construction of 4-Amino-1H-imidazole-5-carbonitrile Modified Carbon Nitride-Based Donor-Acceptor Photocatalyst for Efficient Photocatalytic Hydrogen Evolution. Acta Physico-Chimica Sinica, 2024, 40(11): 2406026-0. doi: 10.3866/PKU.WHXB202406026
-
[11]
Lina Guo , Ruizhe Li , Chuang Sun , Xiaoli Luo , Yiqiu Shi , Hong Yuan , Shuxin Ouyang , Tierui Zhang . Effect of Interlayer Anions in Layered Double Hydroxides on the Photothermocatalytic CO2 Methanation of Derived Ni-Al2O3 Catalysts. Acta Physico-Chimica Sinica, 2025, 41(1): 100002-0. doi: 10.3866/PKU.WHXB202309002
-
[12]
Xinpeng LIU , Liuyang ZHAO , Hongyi LI , Yatu CHEN , Aimin WU , Aikui LI , Hao HUANG . Ga2O3 coated modification and electrochemical performance of Li1.2Mn0.54Ni0.13Co0.13O2 cathode material. Chinese Journal of Inorganic Chemistry, 2024, 40(6): 1105-1113. doi: 10.11862/CJIC.20230488
-
[13]
Yi YANG , Shuang WANG , Wendan WANG , Limiao CHEN . Photocatalytic CO2 reduction performance of Z-scheme Ag-Cu2O/BiVO4 photocatalyst. Chinese Journal of Inorganic Chemistry, 2024, 40(5): 895-906. doi: 10.11862/CJIC.20230434
-
[14]
Tianlong Zhang , Rongling Zhang , Hongsheng Tang , Yan Li , Hua Li . Online Monitoring and Mechanistic Analysis of 3,5-diamino-1,2,4-triazole (DAT) Synthesis via Raman Spectroscopy: A Recommendation for a Comprehensive Instrumental Analysis Experiment. University Chemistry, 2024, 39(6): 303-311. doi: 10.3866/PKU.DXHX202312006
-
[15]
Shiyi Chen , Jialong Fu , Jianping Qiu , Guoju Chang , Shiyou Hao . Waste medical mask-derived carbon quantum dots enhance the photocatalytic degradation of polyethylene terephthalate (PET) over BiOBr/g-C3N4 S-scheme heterojunction. Acta Physico-Chimica Sinica, 2026, 42(1): 100135-0. doi: 10.1016/j.actphy.2025.100135
-
[16]
Gaofeng WANG , Shuwen SUN , Yanfei ZHAO , Lixin MENG , Bohui WEI . Structural diversity and luminescence properties of three zinc coordination polymers based on bis(4-(1H-imidazol-1-yl)phenyl)methanone. Chinese Journal of Inorganic Chemistry, 2024, 40(5): 849-856. doi: 10.11862/CJIC.20230479
-
[17]
Jiali Lei , Juan Wang , Wenhui Zhang , Guohong Wang , Zihui Liang , Jinmao Li . TiO2/CdIn2S4 S-scheme heterojunction photocatalyst promotes photocatalytic hydrogen evolution coupled vanillyl alcohol oxidation. Acta Physico-Chimica Sinica, 2025, 41(12): 100174-0. doi: 10.1016/j.actphy.2025.100174
-
[18]
Wei Zhong , Dan Zheng , Yuanxin Ou , Aiyun Meng , Yaorong Su . Simultaneously Improving Inter-Plane Crystallization and Incorporating K Atoms in g-C3N4 Photocatalyst for Highly-Efficient H2O2 Photosynthesis. Acta Physico-Chimica Sinica, 2024, 40(11): 2406005-0. doi: 10.3866/PKU.WHXB202406005
-
[19]
Xi YANG , Chunxiang CHANG , Yingpeng XIE , Yang LI , Yuhui CHEN , Borao WANG , Ludong YI , Zhonghao HAN . Co-catalyst Ni3N supported Al-doped SrTiO3: Synthesis and application to hydrogen evolution from photocatalytic water splitting. Chinese Journal of Inorganic Chemistry, 2025, 41(3): 440-452. doi: 10.11862/CJIC.20240371
-
[20]
Qingyun Yang , Yue Ma , Quanyi Ye , Yiqing Liu , Yuhong Luo , Yongbo Wu , Zhiguang Xu , Xiaoming Lin . Prussian blue analogues derived MO/MFe2O4 (M = Ni, Cu, Zn) nanoparticles as a high-performance anode material for enhanced lithium storage. Chinese Journal of Structural Chemistry, 2025, 44(8): 100631-100631. doi: 10.1016/j.cjsc.2025.100631
-
[1]
Metrics
- PDF Downloads(11)
- Abstract views(2497)
- HTML views(178)
Login In
DownLoad: