Citation: YU Zhi-hao, JIN Jing, ZHANG Rui-pu, ZHAO Bing, ZHU Yi-zhou, WANG Guang-xu. Influence of dolomite additive on the ash fusion and potassium fixation characteristics of rice straw[J]. Journal of Fuel Chemistry and Technology, ;2020, 48(7): 795-803. shu

Influence of dolomite additive on the ash fusion and potassium fixation characteristics of rice straw

  • Corresponding author: JIN Jing, alicejin001@163.com
  • Received Date: 2 June 2020
    Revised Date: 7 July 2020

    Fund Project: the National Key R & D Program of China 2017YFF0209800Technology Development Project of University of Shanghai for Science and Technology 2019KJFZ192National Natural Science Foundation of China 51976129The project was supported by National Natural Science Foundation of China (51976129), the National Key R & D Program of China (2017YFF0209800), and Technology Development Project of University of Shanghai for Science and Technology (2019KJFZ192)

Figures(6)

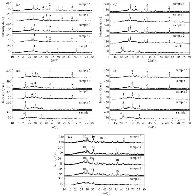
  • The influence of dolomite as an additive on the slagging and potassium fixation characteristics of rice straw upon burning was investigated in a tube furnace; the slagging mechanism as well as the interaction between the rice straw ash and dolomite were explored by using the inductively coupled plasma optical emission spectrometry (ICP-OES) and X-ray diffraction (XRD). The results show that the slagging characteristics of rice straw are significantly influenced by adding 5% dolomite. Dolomite can greatly improve the potassium fixation ability, especially at 900-1000℃; moreover, the Mg and Ca elements rich in dolomite can react with SiO2 in the rice straw ash, forming high-melting silicate minerals including diopside, monticellite and merwinite.
  • 加载中
    1. [1]

      ZHAO Hai-bo, SONG Qiang, WU Xing-yuan, YAO Qiang. Transformation of alkali and alkaline earth metallic species during pyrolysis and CO2 gasification of rice straw char[J]. J Fuel Chem Technol, 2018,46(1):27-33. doi: 10.3969/j.issn.0253-2409.2018.01.004 

    2. [2]

      WANG Qian, HAN Kui-hua, LI Hui, QI Jian-hui, LU Chun-mei. Influence of ammonium dihydrogen phosphates additive on potassium fixation capacity and ash fusibility for rice straw combustion in an O2/CO2 atmosphere[J]. J Fuel Chem Technol, 2015,43(8):955-960. doi: 10.3969/j.issn.0253-2409.2015.08.008 

    3. [3]

      MU L, ZHAO L, LIU L, YIN H. Elemental distribution and mineralogical composition of ash deposits in a large-scale wastewater incineration plant:A case study[J]. Ind Eng Chem Res, 2012,51(25):8684-8694. doi: 10.1021/ie301074m

    4. [4]

      SANDBERG J, KARLSSON C, FDHILA B. A 7year long measurement period investigating the correlation of corrosion, deposit and fuel in a biomass fired circulated fluidized bed boiler[J]. Appl Energy, 2011,88(1):99-110.  

    5. [5]

      LI G, LI S, XU X, HUANG Q, YAO Q. Dynamic behavior of biomass ash deposition in a 25 kW one-dimensional down-fired combustor[J]. Energy Fuels, 2013,28(1):219-227.  

    6. [6]

      NIU Y, ZHU Y, TAN H, HUI S, JING Z, XU W. Investigations on biomass slagging in utility boiler:Criterion numbers and slagging growth mechanisms[J]. Fuel Process Technol, 2014,128:499-508. doi: 10.1016/j.fuproc.2014.07.038

    7. [7]

      WANG L, HUSTAD E, SKREIBERG Ø, SKJEVRAK G, GRØNLI M. A critical review on additives to reduce ash related operation problems in biomass combustion applications[J]. Energy Procedia, 2012,20:20-29.  

    8. [8]

      YANG M, XIE Q, WANG X, DONG H, ZHANG H, LI C. Lowering ash slagging and fouling tendency of high-alkali coal by hydrothermal pretreatment[J]. Int J Min Sci Technol, 2019,29(3):521-525.  

    9. [9]

      NINOMIYA Y, ZHANG L, SAKANO T, KANAOKA C, MASUI M. Transformation of mineral and emission of particulate matters during co-combustion of coal with sewage sludge[J]. Fuel, 2004,83(6):751-764.  

    10. [10]

      STRINGER J, WRIGHT G. Current limitations of high-temperature alloys in practical applications[J]. Oxid Met, 1995,44(1/2):265-308.  

    11. [11]

      WANG Q, CHEN N, YU Y, FENG C, NING Q, HU W. Chromium(Ⅵ) removal from aqueous solution using a new synthesized adsorbent[J]. Desalin Water Treat, 2016,57(10):4537-4547.  

    12. [12]

      YI Qi-guo, ZHANG Yong-guang, QI Fang-jie, XIAO bo, LI Fang-hua. Experimental studies on co-firing lignocellulosic biomass with biochar[J]. J Environ Sci-China, 2014,34(9):2407-2412.  

    13. [13]

      NIU Yong-hong, HAN Feng-tao, ZHANG Xue-feng, WANG Li, XU Jia, CHEN Yi-sheng. Transactions of the Chinese Society for Agricultural Machinery[J]. Trans Chin Soc Agric Mach, 2016,47(12):246-252. doi: 10.6041/j.issn.1000-1298.2016.12.030

    14. [14]

      LLORENTE F, AROCAS D, NEBOT G, GARCÍA C. The effect of the addition of chemical materials on the sintering of biomass ash[J]. Fuel, 2008,87(12):2651-2658.  

    15. [15]

      WANG L, BECIDAN M, SKREIBERG Ø. Sintering behavior of agricultural residues ashes and effects of additives[J]. Energy Fuels, 2012,26(9):5917-5929. doi: 10.1021/ef3004366

    16. [16]

      THY P, JENKINS M, GRUNDVIG S, SHIRAKI R, LESHER E. High temperature elemental losses and mineralogical changes in common biomass ashes[J]. Fuel, 2006,85(5):783-795.  

    17. [17]

      CHIN K, H'NG P, MAMINSKI M, GO W, LEE C, RAJA-NAZRIN R, KHOO P, ASHIKIN S, HALIMATUN I. Additional additives to reduce ash related operation problems of solid biofuel from oil palm biomass upon combustion[J]. Ind Crop Prod, 2018,123:285-295. doi: 10.1016/j.indcrop.2018.06.081

    18. [18]

      CHIN K, H'NG P, PARIDAH M, SZYMONA K, MAMINSKI M, LEE S, LUM W, NURLIYANA M, CHOW M, GO W. Reducing ash related operation problems of fast growing timber species and oil palm biomass for combustion applications using leaching techniques[J]. Energy, 2015,90:622-630.  

    19. [19]

      ZHOU Shang-kun, WANG Meng, TAN Hou-zhang, XIONG Xiao-he, LÜ Zhao-min, YANG Fu-xin. Effect of vermiculite on the slagging characteristics of high sodium and high calcium Zhundong coal[J]. J Fuel Chem Technol, 2019,47(4):419-427.  

    20. [20]

      SCHMITT E, KALTSCHMITT M. Effect of straw proportion and Ca-and Al-containing additives on ash composition and sintering of wood-straw pellets[J]. Fuel, 2013,109:551-558. doi: 10.1016/j.fuel.2013.02.064

    21. [21]

      WANG C, ZHAO L, HAN T, CHEN W, YAN Y, JIN X, CHE D. Release and transformation behaviors of sodium, calcium, and Iron during Oxy-fuel combustion of Zhundong coals[J]. Energy Fuels, 2018,32(2):1242-1254. doi: 10.1021/acs.energyfuels.7b03200

    22. [22]

      LI X, LI J, WU G, BAI Z, LI W. Clean and efficient utilization of sodium-rich Zhundong coals in China:Behaviors of sodium species during thermal conversion processes[J]. Fuel, 2018,218:162-173. doi: 10.1016/j.fuel.2018.01.027

    23. [23]

      KNUDSEN N, JENSEN A, LIN W, DAM-JOHANSEN K. Secondary capture of chlorine and sulfur during thermal conversion of biomass[J]. Energy Fuels, 2005,19(2):606-617. doi: 10.1021/ef049874n

    24. [24]

      WU H, GLARBORG P, FRANDSEN J, DAM-JOHANSEN K, JENSEN A. Dust-firing of straw and additives:Ash chemistry and deposition behavior[J]. Energy Fuels, 2011,25(7):2862-2873. doi: 10.1021/ef200452d

  • 加载中
    1. [1]

      Yang ZHOULili YANWenjuan ZHANGPinhua RAO . Thermal regeneration of biogas residue biochar and the ammonia nitrogen adsorption properties. Chinese Journal of Inorganic Chemistry, 2025, 41(8): 1574-1588. doi: 10.11862/CJIC.20250032

    2. [2]

      Tao XuWei SunTianci KongJie ZhouYitai Qian . Stable Graphite Interface for Potassium Ion Battery Achieving Ultralong Cycling Performance. Acta Physico-Chimica Sinica, 2024, 40(2): 2303021-0. doi: 10.3866/PKU.WHXB202303021

    3. [3]

      Chongjing LiuYujian XiaPengjun ZhangShiqiang WeiDengfeng CaoBeibei ShengYongheng ChuShuangming ChenLi SongXiaosong Liu . Understanding Solid-Gas and Solid-Liquid Interfaces through Near Ambient Pressure X-Ray Photoelectron Spectroscopy. Acta Physico-Chimica Sinica, 2025, 41(2): 100013-0. doi: 10.3866/PKU.WHXB202309036

    4. [4]

      Fan YangZheng LiuDa WangKwunNam HuiYelong ZhangZhangquan Peng . Preparation and Properties of P-Bi2Te3/MXene Superstructure-based Anode for Potassium-Ion Battery. Acta Physico-Chimica Sinica, 2024, 40(2): 2303006-0. doi: 10.3866/PKU.WHXB202303006

    5. [5]

      Qingtang ZHANGXiaoyu WUZheng WANGXiaomei WANG . Performance of nano Li2FeSiO4/C cathode material co-doped by potassium and chlorine ions. Chinese Journal of Inorganic Chemistry, 2024, 40(9): 1689-1696. doi: 10.11862/CJIC.20240115

    6. [6]

      Mengyao Shi Kangle Su Qingming Lu Bin Zhang Xiaowen Xu . Determination of Potassium Content in Tobacco Stem Ash by Flame Atomic Absorption Spectroscopy. University Chemistry, 2024, 39(10): 255-260. doi: 10.12461/PKU.DXHX202404105

    7. [7]

      Chunai Dai Yongsheng Han Luting Yan Zhen Li Yingze Cao . Ideological and Political Design of Solid-liquid Contact Angle Measurement Experiment. University Chemistry, 2024, 39(2): 28-33. doi: 10.3866/PKU.DXHX202306065

    8. [8]

      Fang Niu Rong Li Qiaolan Zhang . Analysis of Gas-Solid Adsorption Behavior in Resistive Gas Sensing Process. University Chemistry, 2024, 39(8): 142-148. doi: 10.3866/PKU.DXHX202311102

    9. [9]

      Xianglan Zhang Jingwen Ma Junya Cao Weibin Cai Zhibing Chang Jinchang Liu . “价值引领,固基强能”的化工原理教改与实践. University Chemistry, 2025, 40(8): 11-17. doi: 10.12461/PKU.DXHX202410041

    10. [10]

      Siwei Hou Yaxin Niu Guanglu Zhang Yanmei Yang Xu Wang Zhenzhen Chen . Application of Solid-Phase Microextraction and Mass Spectrometry in Environmental Detection. University Chemistry, 2026, 41(3): 297-306. doi: 10.12461/PKU.DXHX202504078

    11. [11]

      Shuhong XiangLv YangYingsheng XuGuoxin CaoHongjian Zhou . Selective electrosorption of Cs(Ⅰ) from high-salinity radioactive wastewater using CNT-interspersed potassium zinc ferrocyanide electrodes. Acta Physico-Chimica Sinica, 2025, 41(9): 100097-0. doi: 10.1016/j.actphy.2025.100097

    12. [12]

      Yiru Wang Chanzi Ruan Juanjuan Song Yongxian Fan Dongcheng Liu Yanping Ren Xiuqiong Zeng Faqiong Zhao Wenwei Zhang Mei Shi Min Hu Wan Li Xiuyun Wang Weihong Li Xiaohang Qiu Yong Fan Jianrong Zhang Shuyong Zhang . Solid-Liquid Separation and Suggestions on the Operation Standards (I): Decantation and Centrifugation with Centrifuge Operation. University Chemistry, 2026, 41(3): 122-129. doi: 10.12461/PKU.DXHX202507037

    13. [13]

      Yiru Wang Zhiqiang Dong Juanjuan Song Yongxian Fan Dongcheng Liu Yanping Ren Xiuqiong Zeng Faqiong Zhao Wenwei Zhang Mei Shi Min Hu Wan Li Xiuyun Wang Weihong Li Xiaohang Qiu Yong Fan Jianrong Zhang Shuyong Zhang . Solid-Liquid Separation and Suggestions on the Operation Standards (II): Gravity Filtration and Vacuum Filtration with Vacuum Pump Operation. University Chemistry, 2026, 41(3): 130-142. doi: 10.12461/PKU.DXHX202507042

    14. [14]

      Yanhui Zhong Ran Wang Zian Lin . Analysis of Halogenated Quinone Compounds in Environmental Water by Dispersive Solid-Phase Extraction with Liquid Chromatography-Triple Quadrupole Mass Spectrometry. University Chemistry, 2024, 39(11): 296-303. doi: 10.12461/PKU.DXHX202402017

    15. [15]

      Xiaohang JINQi LIUJianping LANG . Room‑temperature solid‑state synthesis, structure, and third‑order nonlinear optical properties of phosphine‑ligand‑protected silver thiolate clusters. Chinese Journal of Inorganic Chemistry, 2025, 41(8): 1505-1512. doi: 10.11862/CJIC.20250125

    16. [16]

      Wan Li Mei Shi Yanping Ren Faqiong Zhao Min Hu Xiuyun Wang Juanjuan Song Yongxian Fan Dongcheng Liu Xiuqiong Zeng Wenwei Zhang Weihong Li Xiaohang Qiu Yong Fan Jianrong Zhang Shuyong Zhang . Suggestions on Heating and Heating Instruments (Part V): Solid-State Synthesis and High-Temperature Heating Using Muffle and Tube Furnaces. University Chemistry, 2026, 41(3): 182-190. doi: 10.12461/PKU.DXHX202507046

    17. [17]

      Jingwen Wang Minghao Wu Xing Zuo Yaofeng Yuan Yahao Wang Xiaoshun Zhou Jianfeng Yan . Advances in the Application of Electrochemical Regulation in Investigating the Electron Transport Properties of Single-Molecule Junctions. University Chemistry, 2025, 40(3): 291-301. doi: 10.12461/PKU.DXHX202406023

    18. [18]

      Junqing WENRuoqi WANGJianmin ZHANG . Regulation of photocatalytic hydrogen production performance in GaN/ZnO heterojunction through doping with Li and Au. Chinese Journal of Inorganic Chemistry, 2025, 41(5): 923-938. doi: 10.11862/CJIC.20240243

    19. [19]

      Haodong JINQingqing LIUChaoyang SHIDanyang WEIJie YUXuhui XUMingli XU . NiCu/ZnO heterostructure photothermal electrocatalyst for efficient hydrogen evolution reaction. Chinese Journal of Inorganic Chemistry, 2025, 41(6): 1068-1082. doi: 10.11862/CJIC.20250048

    20. [20]

      Yifan ZHAOQiyun MAOMeijing GUOGuoying ZHANGTongliang HU . Z-scheme bismuth-based multi-site heterojunction: Synthesis and hydrogen production from photocatalytic hydrogen production. Chinese Journal of Inorganic Chemistry, 2025, 41(7): 1318-1330. doi: 10.11862/CJIC.20250001

Metrics
  • PDF Downloads(4)
  • Abstract views(1682)
  • HTML views(192)

通讯作者: 陈斌, bchen63@163.com
  • 1. 

    沈阳化工大学材料科学与工程学院 沈阳 110142

  1. 本站搜索
  2. 百度学术搜索
  3. 万方数据库搜索
  4. CNKI搜索
Address:Zhongguancun North First Street 2,100190 Beijing, PR China Tel: +86-010-82449177-888
Powered By info@rhhz.net

/

DownLoad:  Full-Size Img  PowerPoint
Return