Citation: ZHAO Guo-bin, ZHENG Qing-rong, ZHANG Wei-dong, ZHANG Xuan. Adsorption equilibrium and charge/discharge characteristics of methane on MIL-101[J]. Journal of Fuel Chemistry and Technology, ;2019, 47(12): 1529-1536. shu

Adsorption equilibrium and charge/discharge characteristics of methane on MIL-101

  • Corresponding author: ZHENG Qing-rong, zhengqr@jmu.edu.cn
  • Received Date: 30 September 2019
    Revised Date: 9 November 2019

    Fund Project: The project was supported by National Natural Science Foundation of China (51979121), the Science and Technology Bureau of Xiamen(3502Z20173026)National Natural Science Foundation of China 51979121the Science and Technology Bureau of Xiamen 3502Z20173026

Figures(10)

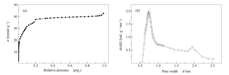
  • For developing metal organic frameworks (MOFs) suitable for the storage of nature gas by adsorption, the MIL-101 (Cr) sample was synthesized by solvothermal method, with which the characterization by adsorption of nitrogen at 77.15 K and the adsorption equilibrium and charge/discharge of methane were conducted. The adsorption equilibrium data of methane on the sample were measured volumetrically at temperature range of 293-313 K within a pressure range of 0-100 kPa and 0-7 MPa, respectively. The limit isosteric heat of adsorption was determined by employing the Henry's law using the adsorption data at very low pressure region, and the absolute adsorption amounts of methane on the sample were determined via nonlinear fit of the adsorption data at high pressure range by using Toth's equation. Isosteric heats of methane adsorption were then calculated through Clausius-Clapeyron equation and Toth's potential function. The charge and discharge tests of methane were performed at a flow rate range of 10-30 L/min on a 3.2 L conformable vessel packed with samples about 940 g. The results show that the mean limit isosteric heat is 23.89 kJ/mol, and the average relative error of the result predicted by the Toth equation is about 1.06%. The mean isosteric heat of adsorption determined by Clausius-Clapeyron equation and Toth's potential function is about 15.51 kJ/mol and 13.56 kJ/mol, respectively. The results also reveal that the total amount of charge/discharge at the flow rate of 10 L/min and 30 L/min is about 347 L/338 L and 341 L/318 L, respectively, which are in correspondence with the ratios of discharge about 98.3% and 94.1%. It suggests that the isosteric heat of methane adsorption determined by Clausius-Clapeyron equation is more reasonable for practical applications, and slower charging/discharging with a smaller flow rate is beneficial to increasing the total amount of charge/discharge and the discharging of the adsorbent bed.
  • 加载中
    1. [1]

      ZHANG H D, DERIA P, FARHA O K, HUPP J T, SNURR R Q. A thermodynamic tank model for studying the effect of higher hydrocarbons on natural gas storage in metal-organic frameworks[J]. Energy Environ Sci, 2015,8(5):1501-1510. doi: 10.1039/C5EE00808E

    2. [2]

      KAYAL S, SUN B, CHAKRABORTY A. Study of metal-organic framework MIL-101(Cr) for natural gas (methane) storage and compare with other MOFs (metal-organic frameworks)[J]. Energy, 2015,91:772-781. doi: 10.1016/j.energy.2015.08.096

    3. [3]

      WU Y, TANG D, VERPLOEGH R J, XI H X, SHOLL D S. Impacts of gas impurities from pipeline natural gas on methane storage in metal-organic frameworks during long term cycling[J]. J Phys Chem C, 2017,121(29):15735-15745. doi: 10.1021/acs.jpcc.7b03459

    4. [4]

      KUMAR K V, PRESUU K, TITIRICI M M, RODRIGUEZ-RRINOSO F. Nanoporous materials for the onboard storage of natural gas[J]. Chem Rev, 2017,117(3):1796-1825. doi: 10.1021/acs.chemrev.6b00505

    5. [5]

      KONDO M, YOSHITOMI T, MATSUZAKA H, MATSUZAKA H, KITAGAWA S. Three-dimensional framework with channeling cavities for small molecules:{M2(4, 4'-bpy)3(NO3)4xH2O}n(M=Co, Ni, Zn)[J]. Angew Chem (Int Ed Engl), 1997,36(16):1725-1727. doi: 10.1002/anie.199717251

    6. [6]

      MA S, ZHOU H C. A metal-organic framework with entatic metal centers exhibiting high gas-adsorption affinity[J]. J Am Chem Soc, 2006,128(36):11734-11735. doi: 10.1021/ja063538z

    7. [7]

      DÜREN T, SARKISOV L, YAGHI O M, SNURR R Q. Design of new materials for methane storage[J]. Langmuir, 2004,20(7):2683-2689. doi: 10.1021/la0355500

    8. [8]

      LIANG C, SHI Z, HE C T, TAN J, ZHOU H D, ZHOU H L, LEE Y J, ZHANG Y B. Engineering of pore geometry for ultrahigh capacity methane storage in mesoporous metal-organic frameworks[J]. J Am Chem Soc, 2017,139(38):13300-13303. doi: 10.1021/jacs.7b08347

    9. [9]

      FEREY C, MELLOT-DRAZNIEKS C, SERRE C, MILLANGE F, DUTOUR J, SURBLE S, MARGIOLAKI I. A chromium terephthalate-based solid with unusually large pore volumes and surface area[J]. Science, 2005,309(5743):2040-2042. doi: 10.1126/science.1116275

    10. [10]

      BIMBO N, PHYSICK J A, NOGUERA-DIAZ A, PUGSLEY A, HOLYFIELD L T, TING V P, MAYS T J. High volumetric and energy densities of methane stored in nanoporous materials at ambient temperatures and moderate pressures[J]. Chem Eng J, 2015,272:38-47. doi: 10.1016/j.cej.2015.02.088

    11. [11]

      THORNTON A W, SIMON C M, KIM J, KWON O, DEEG K S, KONSTAS K, PAS S J, HILL M R, WINKLER D A, HARANCZYK M, SMIT B. Materials genome in action:Identifying the performance limits of physical hydrogen storage[J]. Chem Mater, 2017,29(7):2844-2854. doi: 10.1021/acs.chemmater.6b04933

    12. [12]

      WILMER C E, LEAF M, LEE C Y, FARHA O K, HAUSER B G, HUPP J T, SNURR R Q. Large-scale screening of hypothetical metal-organic frameworks[J]. Nat Chem, 2011,4(2):83-89.

    13. [13]

      CHUNG Y G, CAMP J, HARANCZYK M, SIKORA B J, BURY W, KRUNGLEVICIUTE V, YILDIRIM T, FARHA , O K, SHOLL D S, SNURR R Q. Experimental metal-organic frameworks:A tool to enable high-throughput screening of nanoporous crystals[J]. Chem Mater, 2014,26(21):6185-6192. doi: 10.1021/cm502594j

    14. [14]

      RAHMAN K A, LOH W S, CHAKRABORTYA , BIDYUT B S, WON G C, KIM C N. Thermal enhancement of charge and discharge cycles for adsorbed natural gas storage[J]. Appl Therm Eng, 2011,31(10):1630-1639. doi: 10.1016/j.applthermaleng.2011.02.002

    15. [15]

      LIU S, SUN L, XU F, ZHANG J, JIAO C L, LI F, LI Z B, WANG S, WANG Z Q, JIANG X, ZHOU H Y, YANG L N, SCHICK C. Nanosized Cu-MOFs induced by graphene oxide and enhanced gas storage capacity[J]. Energy Environ Sci, 2013,6(3):818-823. doi: 10.1039/c3ee23421e

    16. [16]

      SZCZESNIAK B, CHOMA J, JARONIEC M. Development of activated graphene-MOF composites for H2 and CH4 adsorption[J]. Adsorpt, 2019,25(3):521-528. doi: 10.1007/s10450-019-00024-6

    17. [17]

      RAHMAN K A, LOH W S, CHAKRABORTY A, SAHA B B, CHUN W G, NG K C. Thermal enhancement of charge and discharge cycles for adsorbed natural gas storage[J]. Appl Therm Eng, 2011,31(10):1630-1639. doi: 10.1016/j.applthermaleng.2011.02.002

    18. [18]

      ZHENG Q R, ZHU Z W, WANG X H. Experimental studies of storage by adsorption of domestically used natural gas on activated carbon[J]. Appl Therm Eng, 2015,77:134-141. doi: 10.1016/j.applthermaleng.2014.12.022

    19. [19]

      ZHOU Y P, WANG Y X, CHEN H H, ZHOU L. Methane storage in wet activated carbon:Studies on the charging/discharging process[J]. Carbon, 2005,43(9):2007-2012. doi: 10.1016/j.carbon.2005.03.017

    20. [20]

      PROSNIEWSKI M J, RASH T A, KNIGHT E W, GILLESPIE A K, STALLA D, SCHULZ C J, PFEIFER P. Controlled charge and discharge of a 40-L monolithic adsorbed natural gas tank[J]. Adsorpt, 2018,24(6):541-550. doi: 10.1007/s10450-018-9961-2

    21. [21]

      ZHU Zi-wen. Research on the application of MOFs as hydrogen storage materials in fuel cell electric propulsion system for ships[D]. Xiamen: Jimei University, 2019.

    22. [22]

      CAO Da-peng, GAO Guang-tu, WANG Wen-chuan. Grand canonical ensemble monte carlo simulation of adsorption storage of methane inslit micropores[J]. CIESC J, 2000,51(1):23-30. doi: 10.3321/j.issn:0438-1157.2000.01.005

    23. [23]

      CLARK A. The Theory of Adsorption and Catalysis[M]. New York:Academic Press, 1970.

    24. [24]

      ZHENG Q R, ZHU Z W, FENG Y L, WANG X H. Development of composite adsorbents and storage vessels for domestically used adsorbed natural gas[J]. Appl Therm Eng, 2016,98:778-785. doi: 10.1016/j.applthermaleng.2015.12.127

    25. [25]

      LUO Wan-zhen. Numerical simulation of combustion process of an engine powered by mixing fuel[D]. Xiamen: Jimei University, 2015. 

    26. [26]

      MEEKS O R, RYBOLT T R. Correlations of adsorption energies with physical and structural properties of adsorbate molecules[J]. J Colloid Interface Sci, 1997,196(1):103-109. doi: 10.1006/jcis.1997.5198

    27. [27]

      MENON P G. Adsorption at high pressures[J]. Chem Rev, 1968,68(3):277-294. doi: 10.1021/cr60253a002

    28. [28]

      BIMBO N, XU W, SHARPE J E, TING V P, MAYS T J. High-pressure adsorptive storage of hydrogen in MIL-101(Cr) and AX-21 for mobile applications:Cryocharging and cryokinetics[J]. Mater Des, 2016,89:1086-1094. doi: 10.1016/j.matdes.2015.10.069

    29. [29]

      SOAVE G. Equilibrium constants from a modified redlich-kwong equation of state[J]. Chem Eng Sci, 1972,27(6):1197-1203. doi: 10.1016/0009-2509(72)80096-4

    30. [30]

      ZHANG Wei-dong, ZHENG Qing-rong, WANG Ze-hao, ZHANG Xuan. Adsorption e quilibrium of me thane on laye re dgraphe ne she e ts and activate d carbon[J]. J Fuel Chem Technol, 2019,47(8):1008-1015. doi: 10.3969/j.issn.0253-2409.2019.08.015 

    31. [31]

      GAO Shuai, ZHENG Qing-rong. Comparisons of adsorption mode ls forme thane adsorption e quilibrium on activate d carbon[J]. J Fuel Chem Technol, 2013,41(3):380-384. doi: 10.3969/j.issn.0253-2409.2013.03.019

    32. [32]

      KLOUTSE A F, ZACHARIA R, COSSEMENT D, CHAHINE R, BALDERAS-XICOHTENCATL R, O H, H , STREPPEL B, SCHLICHTENMAYER M, HIRSCHER M. Isosteric heat of hydrogen adsorption on MOFs:Comparison between adsorption calorimetry, sorption isosteric method, and analytical models[J]. Appl Phys A, 2015,121(4):1417-1424. doi: 10.1007/s00339-015-9484-6

    33. [33]

      WANG Ze-hao. Studies of adsorption equilibrium of methane on typical materials[D]. Xiamen: Jimei University, 2018. 

  • 加载中
    1. [1]

      Huihui LIUBaichuan ZHAOChuanhui WANGZhi WANGCongyun ZHANG . Green synthesis of MIL-101/Au composite particles and their sensitivity to Raman detection of thiram. Chinese Journal of Inorganic Chemistry, 2024, 40(10): 2021-2030. doi: 10.11862/CJIC.20240059

    2. [2]

      Yutong Liu Xuemin Jing . Research Progress on the Catalytic Conversion of Methane in the Context of the “Dual Carbon” Goals. University Chemistry, 2025, 40(10): 101-113. doi: 10.12461/PKU.DXHX202412018

    3. [3]

      Xinyi Fan Wancai Shi Zhenyu Sun . 甲烷——温室效应中的“隐形杀手”与绿色转机. University Chemistry, 2025, 40(11): 1-10. doi: 10.12461/PKU.DXHX202412060

    4. [4]

      Feifei YangWei ZhouChaoran YangTianyu ZhangYanqiang Huang . Enhanced Methanol Selectivity in CO2 Hydrogenation by Decoration of K on MoS2 Catalyst. Acta Physico-Chimica Sinica, 2024, 40(7): 2308017-0. doi: 10.3866/PKU.WHXB202308017

    5. [5]

      Xun ZhuChenchen ZhangYingying LiYin LuNa HuangDawei Wang . Degradation of perfluorooctanoic acid by inductively heated Fenton-like process over the Fe3O4/MIL-101 composite. Chinese Chemical Letters, 2024, 35(12): 109753-. doi: 10.1016/j.cclet.2024.109753

    6. [6]

      Chunchun WangChangjun YouKe RongChuqi ShenFang YangShijie Li . An S-Scheme MIL-101(Fe)-on-BiOCl Heterostructure with Oxygen Vacancies for Boosting Photocatalytic Removal of Cr(Ⅵ). Acta Physico-Chimica Sinica, 2024, 40(7): 2307045-0. doi: 10.3866/PKU.WHXB202307045

    7. [7]

      Wenlong WangWentao HaoLang HeJia QiaoNing LiChaoqiu ChenYong Qin . Bandgap and adsorption engineering of carbon dots/TiO2 S-scheme heterojunctions for enhanced photocatalytic CO2 methanation. Acta Physico-Chimica Sinica, 2025, 41(9): 100116-0. doi: 10.1016/j.actphy.2025.100116

    8. [8]

      Tong WUYi ZHONGWeimin ZHAOHong XUZhiping MAOLinping ZHANG . BiOBr/NH2-MIL-101(Fe): Preparation and performance on photocatalytic reduction of CO2. Chinese Journal of Inorganic Chemistry, 2025, 41(9): 1765-1775. doi: 10.11862/CJIC.20250103

    9. [9]

      Yanzhe WANGXiaoming GUOQiangsheng GUOLiang LIBin LUPeihang YE . Effect of Ce introduction on the low-temperature performance of NiAl catalyst for CO2 methanation. Chinese Journal of Inorganic Chemistry, 2025, 41(11): 2218-2228. doi: 10.11862/CJIC.20250202

    10. [10]

      Wen YANGDidi WANGZiyi HUANGYaping ZHOUYanyan FENG . La promoted hydrotalcite derived Ni-based catalysts: In situ preparation and CO2 methanation performance. Chinese Journal of Inorganic Chemistry, 2024, 40(3): 561-570. doi: 10.11862/CJIC.20230276

    11. [11]

      Yuhang ZhangYi LiYuehan CaoYingjie ShuaiYu ZhouYing Zhou . Regulating the formation type by Ir of intermediates to suppress product overoxidation in photocatalytic methane conversion. Acta Physico-Chimica Sinica, 2026, 42(2): 100173-0. doi: 10.1016/j.actphy.2025.100173

    12. [12]

      Yiting HuoXin ZhouFeifan ZhaoChenbin AiZhen WuZhidong ChangBicheng Zhu . Boosting photocatalytic CO2 methanation through TiO2/CdS S-scheme heterojunction and fs-TAS mechanism study. Acta Physico-Chimica Sinica, 2025, 41(11): 100148-0. doi: 10.1016/j.actphy.2025.100148

    13. [13]

      Xinyu XuJiale LuBo SuJiayi ChenXiong ChenSibo Wang . Steering charge dynamics and surface reactivity for photocatalytic selective methane oxidation to ethane over Au/Ti-CeO2. Acta Physico-Chimica Sinica, 2025, 41(11): 100153-0. doi: 10.1016/j.actphy.2025.100153

    14. [14]

      Haiqiang Lin Weizheng Weng Jingdong Lin Mingshu Chen Xueming Fang Lefu Yang . Diverse Variables-Driven Catalytic Optimization: Experimental Enhancement and Instructional Design for Selective Methane Oxidation on Supported Nickel-based Catalysts. University Chemistry, 2025, 40(11): 327-336. doi: 10.12461/PKU.DXHX202505106

    15. [15]

      Yinuo Wang Siran Wang Yilong Zhao Dazhen Xu . Selective Synthesis of Diarylmethyl Anilines and Triarylmethanes via Multicomponent Reactions: Introduce a Comprehensive Experiment of Organic Chemistry. University Chemistry, 2024, 39(8): 324-330. doi: 10.3866/PKU.DXHX202401063

    16. [16]

      Lina GuoRuizhe LiChuang SunXiaoli LuoYiqiu ShiHong YuanShuxin OuyangTierui Zhang . Effect of Interlayer Anions in Layered Double Hydroxides on the Photothermocatalytic CO2 Methanation of Derived Ni-Al2O3 Catalysts. Acta Physico-Chimica Sinica, 2025, 41(1): 100002-0. doi: 10.3866/PKU.WHXB202309002

    17. [17]

      Xiaowu Zhang Pai Liu Qishen Huang Shufeng Pang Zhiming Gao Yunhong Zhang . Acid-Base Dissociation Equilibrium in Multiphase System: Effect of Gas. University Chemistry, 2024, 39(4): 387-394. doi: 10.3866/PKU.DXHX202310021

    18. [18]

      Lianghong Ye Junqing Ni Zhongyi Yan Zhanming Zhang Can Zhu Mo Sun . Chemical Fuel-Driven Non-Equilibrium Color Change. University Chemistry, 2025, 40(3): 349-354. doi: 10.12461/PKU.DXHX202406109

    19. [19]

      Juan Yang . Construction of General Chemistry Course in the Chemistry “101 Plan”. University Chemistry, 2024, 39(10): 8-13. doi: 10.12461/PKU.DXHX202408026

    20. [20]

      Hongyan Chen Yajun Hou Shui Hu Zhuoxun Wei Fang Zhu Chengyong Su . Construction of Synthetic Chemistry Experiment of the Chemistry “101 Plan”. University Chemistry, 2024, 39(10): 58-63. doi: 10.12461/PKU.DXHX202409109

Metrics
  • PDF Downloads(8)
  • Abstract views(1825)
  • HTML views(242)

通讯作者: 陈斌, bchen63@163.com
  • 1. 

    沈阳化工大学材料科学与工程学院 沈阳 110142

  1. 本站搜索
  2. 百度学术搜索
  3. 万方数据库搜索
  4. CNKI搜索
Address:Zhongguancun North First Street 2,100190 Beijing, PR China Tel: +86-010-82449177-888
Powered By info@rhhz.net

/

DownLoad:  Full-Size Img  PowerPoint
Return