Citation: CHENG Xiao-cai, HUANG Jin-bao, PAN Gui-ying, TONG Hong, CAI Xun-ming. Theoretical study on thermal degradation mechanism of polystyrene[J]. Journal of Fuel Chemistry and Technology, ;2019, 47(7): 884-896. shu

Theoretical study on thermal degradation mechanism of polystyrene

  • Corresponding author: HUANG Jin-bao, huangjinbao76@126.com
  • Received Date: 30 January 2019
    Revised Date: 10 April 2019

    Fund Project: National Natural Science Foundation of China 51863004the Major Research Project of Innovation Group of Guizhou Provincial Department of Education [2016]028The project was supported by the Major Research Project of Innovation Group of Guizhou Provincial Department of Education ([2016]028) and National Natural Science Foundation of China (51863004)

Figures(10)

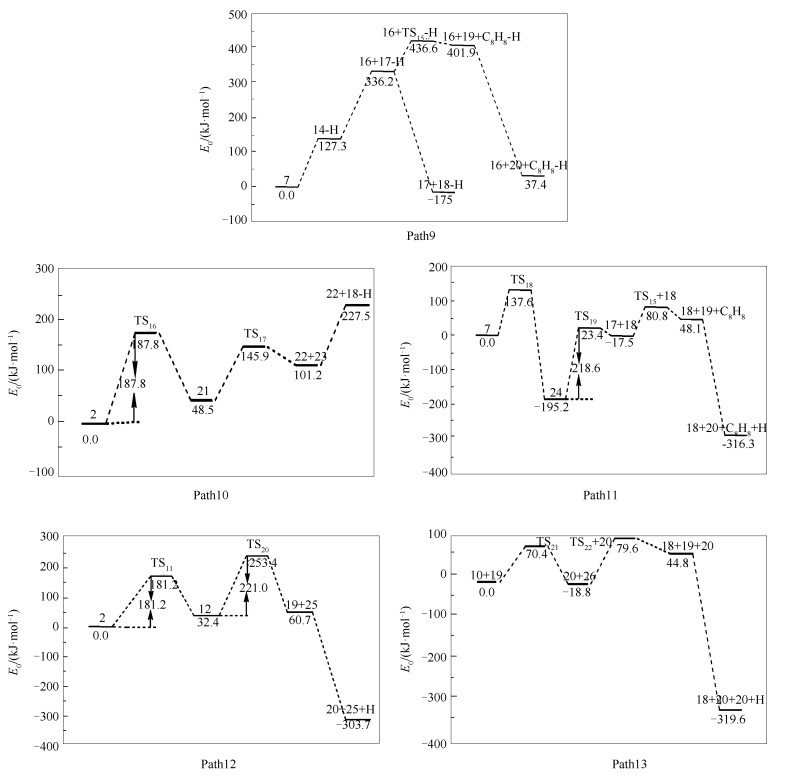
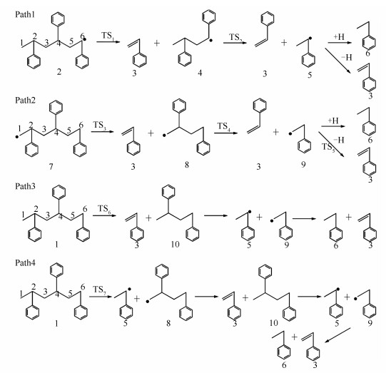
  • The reaction mechanism of thermal degradation of polystyrene has been studied theoretically using density functional theory B3LYP/6-311G(d) method. The main products of PS thermal degradation are styrene, followed by aromatic compounds such as toluene, α-methylstyrene, ethylbenzene and dimer. It is reported that the thermal degradation of PS mainly includes the homolytic reaction of carbon-carbon bond, β-cleavage reactions, hydrogen transfer reaction and free radical termination reaction. Base on the above reaction, the pathways was designed, and the theoretical calculation and analysis were carried out. Furthermore, the geometrical structure of all the reaction molecules was optimized for the reaction process and the reaction frequency was calculated, which were obtained the standard kinetic parameters and thermodynamic parameters of each thermal degradation path. The results of calculation show that the major formation mechanism of styrene is the chain-end β-cleavage reactions of free radicals, the producing of dimer mainly depends on the intermolecular 1, 3 hydrogen transfer reactions, α-methylstyrene is generated through intermolecular 1, 2 hydrogen transfer and β-cleavage reactions, the radicals of benzyl and phenethyl captured hydrogen atoms to form toluene and ethylbenzene, respectively. Kinetic analysis exhibit that the energy barrier for the formation of styrene was lower than that needed for the generating of other products, so styrene was the main thermal degradation product. This is consistent with the relevant experimental results.
  • 加载中
    1. [1]

      DENG Liang, XU Hai-ping, XIE Hua-qing. Research on techniques of waste polystyrene plastics recycling and reusing[J]. J Shanghai Doly Univ, 2014(2):114-120. doi: 10.3969/j.issn.1001-4543.2014.02.006

    2. [2]

      RUTKOWSKI P, KUBACKI A. Influence of polystyrene addition to cellulose on chemical structure and properties of bio-oil obtained during pyrolysis[J]. Energy Convers Manage, 2006,47(6):716-731. doi: 10.1016/j.enconman.2005.05.017

    3. [3]

      ARTETXE M, LOPEZ G, AMUTIO M. Styrene recovery from polystyrene by flash pyrolysis in a conical spouted bed reactor[J]. Waste Manag, 2015,45(1):26-33.  

    4. [4]

      LI Chun-hua. Study on the degradation of polystyrene[D]. Tianjin: Tianjin University, 2006.

    5. [5]

      LIU Xian-xiang, YIN Du-lin, HUANG Wen-zhi. Catalytic cracking and thermal cracking of waste polystyrene[J]. Petrochem Technol, 2009,38(2):189-192. doi: 10.3321/j.issn:1000-8144.2009.02.015

    6. [6]

      FERNANDES L, GASPAR H, BERNARDO G. Inhibition of thermal degradation of polystyrene by C60 and PCBM:A comparative study[J]. Polym Test, 2014,40(6):3-9.

    7. [7]

      PRATHIBA R, SHRUTHI M, MIRANDA L R. Pyrolysis of polystyrene waste in the presence of activated carbon in conventional and microwave heating using modified thermocouple[J]. Waste Manag, 2018,76:528-536. doi: 10.1016/j.wasman.2018.03.029

    8. [8]

      YANG ZHEN, GAO Song-ting. Study on thermal degradation recovery of styrene monomer from waste polystyrene plastics[J]. Environ Chem, 1997(2):45-47+95-96. doi: 10.3321/j.issn:1001-6929.1997.02.016

    9. [9]

      SHAH, JAN, ADNAN. Metal decorated montmorillonite as a catalyst for the degradation of polystyrene[J]. J Taiwan Inst Chem Eng, 2017.  

    10. [10]

      ZHANG Min-hua, LI Chun-hua, JIANG Hao-xi. Thermal degradation mechanism of polystyrene by TG-MS[J]. Chem Ind Eng Prog, 2008,27(4):609-612. doi: 10.3321/j.issn:1000-6613.2008.04.029

    11. [11]

      ZHU Xin-sheng, DAI Jian-ping, LI Yin-qing. Relationship between thermal degradation mechanism and kineticp parameters of polystyrene[J]. Fire Safe Sci, 2001,10(1):24-28. doi: 10.3969/j.issn.1004-5309.2001.01.004

    12. [12]

      FONDO M, OCAMPO N, GARC A-DEIBE A M. Discovering the complex chemistry of a simple Ni(Ⅱ)/H(3)L system:Magnetostructural characterization and DFT calculations of Di-and polynuclear nickel(Ⅱ) compounds[J]. Inorg Chem, 2009,48(20):9861-9873. doi: 10.1021/ic9014916

    13. [13]

      WANH Guo-cheng. Synthesis, characterization and crystallization properties of isometric polystyrene and ethylene-styrene polymers[J]. Hangzhou: Zhejiang University, 2005. 

    14. [14]

      PENG Xue-cheng. Development advances in physical aging of atatic polystyrene[J]. Qilu Pet Technol, 2007,35(2):137-140. doi: 10.3969/j.issn.1009-9859.2007.02.017

    15. [15]

      LAGASSE R R, MAXWELL B. An experimental study of the kinetics of polymer crystallization during shear flow[J]. Polym Eng Sci, 2010,16(3):189-199.

    16. [16]

      BARTON B D, STEIN S E. Pyrolysis of alkyl benzenes. Relative stabilities of methyl-substituted benzyl radicals[J]. Chem Inf, 1980,11(46):2141-2145.

    17. [17]

      AND M M, GOLDEN D M. Hydrocarbon bond dissociation energies[J]. Annu Rev Phys Chem, 1982,33(33):493-532.  

    18. [18]

      ZHOU Jun-bo. Experimental study on pyrolysis of typical universal vinyl plastics under the condition of secondary reaction minimization[D].Wuhan: Huazhong University of Science and Technology, 2016.

    19. [19]

      POUTSMA M L. Further considerations of the sources of the volatiles from pyrolysis of polystyrene[J]. Polym Degrad Stab, 2009,94(11):2055-2064. doi: 10.1016/j.polymdegradstab.2009.07.011

    20. [20]

      KIM S S, KIM S. Pyrolysis characteristics of polystyrene and polypropylene in a stirred batch reactor[J]. Chem Eng J, 2004,98(1):53-60.  

    21. [21]

      LEHRLE R S, ATKINSON D J, BATE D M. Diagnosing mechanisms of oligomer formation in the thermal degradation of polymers[J]. Polym Degrad Stab, 1996,52(2):183-196. doi: 10.1016/0141-3910(96)00014-6

    22. [22]

      MCNEILL I C, ZULFIQAR M, KOUSAR T. A detailed investigation of the products of the thermal degradation of polystyrene[J]. Polym Degrad Stab, 1990,28(2):131-151. doi: 10.1016/0141-3910(90)90002-O

  • 加载中
    1. [1]

      Bolin Sun Jie Chen Ling Zhou . 乙烯型卤代烃的亲核取代反应. University Chemistry, 2025, 40(8): 152-157. doi: 10.12461/PKU.DXHX202410032

    2. [2]

      Hao XURuopeng LIPeixia YANGAnmin LIUJie BAI . Regulation mechanism of halogen axial coordination atoms on the oxygen reduction activity of Fe-N4 site: A density functional theory study. Chinese Journal of Inorganic Chemistry, 2025, 41(4): 695-701. doi: 10.11862/CJIC.20240302

    3. [3]

      Weina Wang Lixia Feng Fengyi Liu Wenliang Wang . Computational Chemistry Experiments in Facilitating the Study of Organic Reaction Mechanism: A Case Study of Electrophilic Addition of HCl to Asymmetric Alkenes. University Chemistry, 2025, 40(3): 206-214. doi: 10.12461/PKU.DXHX202407022

    4. [4]

      Wei SunYongjing WangKun XiangSaishuai BaiHaitao WangJing ZouArramelJizhou Jiang . CoP Decorated on Ti3C2Tx MXene Nanocomposites as Robust Electrocatalyst for Hydrogen Evolution Reaction. Acta Physico-Chimica Sinica, 2024, 40(8): 2308015-0. doi: 10.3866/PKU.WHXB202308015

    5. [5]

      Jiajie Li Xiaocong Ma Jufang Zheng Qiang Wan Xiaoshun Zhou Yahao Wang . Recent Advances in In-Situ Raman Spectroscopy for Investigating Electrocatalytic Organic Reaction Mechanisms. University Chemistry, 2025, 40(4): 261-276. doi: 10.12461/PKU.DXHX202406117

    6. [6]

      Ronghao Zhao Yifan Liang Mengyao Shi Rongxiu Zhu Dongju Zhang . Investigation into the Mechanism and Migratory Aptitude of Typical Pinacol Rearrangement Reactions: A Research-Oriented Computational Chemistry Experiment. University Chemistry, 2024, 39(4): 305-313. doi: 10.3866/PKU.DXHX202309101

    7. [7]

      Tinghui Hu Junwen Long Yi Long Xuanhe Liu . Plastic Disillusionment. University Chemistry, 2025, 40(7): 249-254. doi: 10.12461/PKU.DXHX202409004

    8. [8]

      Kaifu Zhang Shan Gao Bin Yang . Application of Theoretical Calculation with Fun Practice in Raman Spectroscopy Experimental Teaching. University Chemistry, 2025, 40(3): 62-67. doi: 10.12461/PKU.DXHX202404045

    9. [9]

      Jie ZHAOSen LIUQikang YINXiaoqing LUZhaojie WANG . Theoretical calculation of selective adsorption and separation of CO2 by alkali metal modified naphthalene/naphthalenediyne. Chinese Journal of Inorganic Chemistry, 2024, 40(3): 515-522. doi: 10.11862/CJIC.20230385

    10. [10]

      Jie ZHAOHuili ZHANGXiaoqing LUZhaojie WANG . Theoretical calculations of CO2 capture and separation by functional groups modified 2D covalent organic framework. Chinese Journal of Inorganic Chemistry, 2025, 41(2): 275-283. doi: 10.11862/CJIC.20240213

    11. [11]

      Wentao Lin Wenfeng Wang Yaofeng Yuan Chunfa Xu . Concerted Nucleophilic Aromatic Substitution Reactions. University Chemistry, 2024, 39(6): 226-230. doi: 10.3866/PKU.DXHX202310095

    12. [12]

      Zhi Chai Huashan Huang Xukai Shi Yujing Lan Zhentao Yuan Hong Yan . Wittig反应的立体选择性. University Chemistry, 2025, 40(8): 192-201. doi: 10.12461/PKU.DXHX202410046

    13. [13]

      Hongting Yan Aili Feng Rongxiu Zhu Lei Liu Dongju Zhang . Reexamination of the Iodine-Catalyzed Chlorination Reaction of Chlorobenzene Using Computational Chemistry Methods. University Chemistry, 2025, 40(3): 16-22. doi: 10.12461/PKU.DXHX202403010

    14. [14]

      Aili Feng Xin Lu Peng Liu Dongju Zhang . Computational Chemistry Study of Acid-Catalyzed Esterification Reactions between Carboxylic Acids and Alcohols. University Chemistry, 2025, 40(3): 92-99. doi: 10.12461/PKU.DXHX202405072

    15. [15]

      Guowen Xing Guangjian Liu Le Chang . Five Types of Reactions of Carbonyl Oxonium Intermediates in University Organic Chemistry Teaching. University Chemistry, 2025, 40(4): 282-290. doi: 10.12461/PKU.DXHX202407058

    16. [16]

      Ling Fan Meili Pang Yeyun Zhang Yanmei Wang Zhenfeng Shang . Quantum Chemistry Calculation Research on the Diels-Alder Reaction of Anthracene and Maleic Anhydride: Introduction to a Computational Chemistry Experiment. University Chemistry, 2024, 39(4): 133-139. doi: 10.3866/PKU.DXHX202309024

    17. [17]

      Wanping Chen . Construction of Knowledge Logic and Discovery through Reasoning: Summarizing the Reaction Patterns of Reactive Metals with Oxygen. University Chemistry, 2026, 41(2): 95-102. doi: 10.12461/PKU.DXHX202503108

    18. [18]

      Jiabo Huang Quanxin Li Zhongyan Cao Li Dang Shaofei Ni . Elucidating the Mechanism of Beckmann Rearrangement Reaction Using Quantum Chemical Calculations. University Chemistry, 2025, 40(3): 153-159. doi: 10.12461/PKU.DXHX202405172

    19. [19]

      Peng YUELiyao SHIJinglei CUIHuirong ZHANGYanxia GUO . Effects of Ce and Mn promoters on the selective oxidation of ammonia over V2O5/TiO2 catalyst. Chinese Journal of Inorganic Chemistry, 2025, 41(2): 293-307. doi: 10.11862/CJIC.20240210

    20. [20]

      Tongqi Ye Yanqing Wang Qi Wang Huaiping Cong Xianghua Kong Yuewen Ye . Reform of Classical Thermodynamics Curriculum from the Perspective of Computational Chemistry. University Chemistry, 2025, 40(7): 387-392. doi: 10.12461/PKU.DXHX202409128

Metrics
  • PDF Downloads(40)
  • Abstract views(2853)
  • HTML views(791)

通讯作者: 陈斌, bchen63@163.com
  • 1. 

    沈阳化工大学材料科学与工程学院 沈阳 110142

  1. 本站搜索
  2. 百度学术搜索
  3. 万方数据库搜索
  4. CNKI搜索
Address:Zhongguancun North First Street 2,100190 Beijing, PR China Tel: +86-010-82449177-888
Powered By info@rhhz.net

/

DownLoad:  Full-Size Img  PowerPoint
Return