Determination of Ciprofloxacin by Electrochemical Sensor Based on Metal Organic Framework Material
- Corresponding author: Hong Chen, redastar@163.com Jianrong Li, lijr6491@163.com
Citation:
Hong Chen, Yue Wang, Wenting Zhang, Yu Zhu, Jianrong Li. Determination of Ciprofloxacin by Electrochemical Sensor Based on Metal Organic Framework Material[J]. Chemistry,
;2021, 84(2): 167-171.
Zhang G F, Liu X, Zhang S. Eur. J. Med. Chem., 2018, 146: 599~612.
Liu Y, Liu J, Liu J, et al. Microchim. Acta, 2017, 184: 1285~1294.
Lin′an CAO , Dengyue MA , Gang XU . Research advances in electrically conductive metal-organic frameworks-based electrochemical sensors. Chinese Journal of Inorganic Chemistry, 2025, 41(10): 1953-1972. doi: 10.11862/CJIC.20250160
Lu XU , Chengyu ZHANG , Wenjuan JI , Haiying YANG , Yunlong FU . Zinc metal-organic framework with high-density free carboxyl oxygen functionalized pore walls for targeted electrochemical sensing of paracetamol. Chinese Journal of Inorganic Chemistry, 2024, 40(5): 907-918. doi: 10.11862/CJIC.20230431
Jing SU , Bingrong LI , Yiyan BAI , Wenjuan JI , Haiying YANG , Zhefeng Fan . Highly sensitive electrochemical dopamine sensor based on a highly stable In-based metal-organic framework with amino-enriched pores. Chinese Journal of Inorganic Chemistry, 2024, 40(7): 1337-1346. doi: 10.11862/CJIC.20230414
Jiarong Feng , Yejie Duan , Chu Chu , Dezhen Xie , Qiu'e Cao , Peng Liu . Preparation and Application of a Streptomycin Molecularly Imprinted Electrochemical Sensor: A Suggested Comprehensive Analytical Chemical Experiment. University Chemistry, 2024, 39(8): 295-305. doi: 10.3866/PKU.DXHX202401016
Min WANG , Dehua XIN , Wei ZHANG , Haiying YANG , Yuchun WANG , Zhaorong LIU , Meng SHI , Le SHI . Preparation and full-spectrum catalytic degradation performance of nitrogen vacancy g-C3N4/Bi/BiOBr/BiOI heterojunction material. Chinese Journal of Inorganic Chemistry, 2025, 41(11): 2283-2298. doi: 10.11862/CJIC.20250109
Zizheng LU , Wanyi SU , Qin SHI , Honghui PAN , Chuanqi ZHAO , Chengfeng HUANG , Jinguo PENG . Surface state behavior of W doped BiVO4 photoanode for ciprofloxacin degradation. Chinese Journal of Inorganic Chemistry, 2024, 40(3): 591-600. doi: 10.11862/CJIC.20230225
Shuhui Li , Xucen Wang , Yingming Pan . Exploring the Role of Electrochemical Technologies in Everyday Life. University Chemistry, 2025, 40(3): 302-307. doi: 10.12461/PKU.DXHX202406059
Hao BAI , Weizhi JI , Jinyan CHEN , Hongji LI , Mingji LI . Preparation of Cu2O/Cu-vertical graphene microelectrode and detection of uric acid/electroencephalogram. Chinese Journal of Inorganic Chemistry, 2024, 40(7): 1309-1319. doi: 10.11862/CJIC.20240001
Tiantian MA , Sumei LI , Chengyu ZHANG , Lu XU , Yiyan BAI , Yunlong FU , Wenjuan JI , Haiying YANG . Methyl-functionalized Cd-based metal-organic framework for highly sensitive electrochemical sensing of dopamine. Chinese Journal of Inorganic Chemistry, 2024, 40(4): 725-735. doi: 10.11862/CJIC.20230351
Yang Meiqing , Lu Wang , Haozi Lu , Yaocheng Yang , Song Liu . Recent Advances of Functional Nanomaterials for Screen-Printed Photoelectrochemical Biosensors. Acta Physico-Chimica Sinica, 2025, 41(2): 100018-0. doi: 10.3866/PKU.WHXB202310046
Jun LUO , Baoshu LIU , Yunchang ZHANG , Bingkai WANG , Beibei GUO , Lan SHE , Tianheng CHEN . Europium(Ⅲ) metal-organic framework as a fluorescent probe for selectively and sensitively sensing Pb2+ in aqueous solution. Chinese Journal of Inorganic Chemistry, 2024, 40(12): 2438-2444. doi: 10.11862/CJIC.20240240
Shengbiao Zheng , Liang Li , Nini Zhang , Ruimin Bao , Ruizhang Hu , Jing Tang . Metal-Organic Framework-Derived Materials Modified Electrode for Electrochemical Sensing of Tert-Butylhydroquinone: A Recommended Comprehensive Chemistry Experiment for Translating Research Results. University Chemistry, 2024, 39(7): 345-353. doi: 10.3866/PKU.DXHX202310096
Fugui XI , Du LI , Zhourui YAN , Hui WANG , Junyu XIANG , Zhiyun DONG . Functionalized zirconium metal-organic frameworks for the removal of tetracycline from water. Chinese Journal of Inorganic Chemistry, 2025, 41(4): 683-694. doi: 10.11862/CJIC.20240291
Yongjian Zhang , Fangling Gao , Hong Yan , Keyin Ye . Electrochemical Transformation of Organosulfur Compounds. University Chemistry, 2025, 40(5): 311-317. doi: 10.12461/PKU.DXHX202407035
Wei GUO , Zhuoyi GUO , Xiaoxin LI , Wei ZHANG , Juanzhi YAN , Tingting GUO . Electrochemical sensor based on a Co(Ⅱ)-based metal-organic framework for the detection of Cd2+ and Pb2+. Chinese Journal of Inorganic Chemistry, 2025, 41(9): 1889-1902. doi: 10.11862/CJIC.20250097
Mengzhen JIANG , Qian WANG , Junfeng BAI . Research progress on low-cost ligand-based metal-organic frameworks for carbon dioxide capture from industrial flue gas. Chinese Journal of Inorganic Chemistry, 2025, 41(1): 1-13. doi: 10.11862/CJIC.20240355
Aiai WANG , Lu ZHAO , Yunfeng BAI , Feng FENG . Research progress of bimetallic organic framework in tumor diagnosis and treatment. Chinese Journal of Inorganic Chemistry, 2024, 40(10): 1825-1839. doi: 10.11862/CJIC.20240225
Ran HUO , Zhaohui ZHANG , Xi SU , Long CHEN . Research progress on multivariate two dimensional conjugated metal organic frameworks. Chinese Journal of Inorganic Chemistry, 2024, 40(11): 2063-2074. doi: 10.11862/CJIC.20240195
Bin HE , Hao ZHANG , Lin XU , Yanghe LIU , Feifan LANG , Jiandong PANG . Recent progress in multicomponent zirconium?based metal-organic frameworks. Chinese Journal of Inorganic Chemistry, 2024, 40(11): 2041-2062. doi: 10.11862/CJIC.20240161
. Synthesis and properties of metal‐organic frameworks. Chinese Journal of Inorganic Chemistry, 2025, 41(10): 1-2.
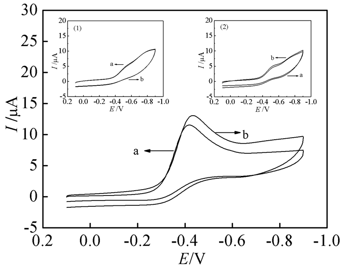
(a): Co(BDC)-PAAS/GCE; (b): GCE; (c): PAAS/GCE