Citation: TAN Li, WU Ying-quan, ZHANG Tao, XIE Hong-juan, CHEN Jian-gang. Effect of precipitation temperature on the performance of K-CuLaZrO2 catalyst for isobutanol synthesis from syngas[J]. Journal of Fuel Chemistry and Technology, ;2019, 47(9): 1096-1103. shu

Effect of precipitation temperature on the performance of K-CuLaZrO2 catalyst for isobutanol synthesis from syngas

  • Corresponding author: TAN Li, tan@fzu.edu.cn WU Ying-quan, wuyq@sxicc.ac.cn
  • Received Date: 26 June 2019
    Revised Date: 12 August 2019

    Fund Project: The project was supported by Open Subject Fund of State Key Laboratory of Coal Coversion (J19-20-612)Open Subject Fund of State Key Laboratory of Coal Coversion J19-20-612

Figures(5)

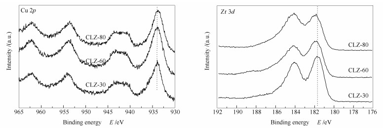
  • The synthesis of isobutanol from syngas is a such complicated process, and the relationship between catalyst properties and isobutanol formation is still not fully understood yet. Coprecipitation is a common preparation method for solid composite oxides synthesis, by which, the catalyst will have high dispersion, strong interaction. However, it also remains many factors affecting the preparation process. In this work, the effect of precipitation temperature on the properties of catalysts at the beginning of precipitation reaction was investigated, and the relationship between the properties of catalysts and the formation of isobutanol was studied by different characterization methods in combination with the catalysts evaluation results, in order to further improve the formation mechanism of isobutanol. The results revealed that at lower precipitation temperature (30 ℃), the CuO was easier to be reduced due to the better Cu dispersion and stronger interaction in CuO and ZrO2, at the same time as the CuO and ZrO2 could form better solid solutions at this condition. Meanwhile, hydroxyl groups were formed on the catalyst surface at lower precipitation temperature during the catalyst preparation process, therefore these hydroxyl groups could react with CO to form surface C1 species, which further promoted the growth of carbon chain and improved the selectivity of isobutanol. With the increase of precipitation temperature, CuO particles were enlarged; CuO-ZrO2 solid solution was gradually destroyed; the interaction in CuO and ZrO2 was weakened; and the content of surface hydroxyl was decreased, resulting in a decrease of surface C1 species and isobutanol selectivity. Among all the catalysts, the highest selectivity of isobutanol (38.7%) was obtained over the CLZ-30 catalyst.
  • 加载中
    1. [1]

      CHEN T, SU J, ZHANG Z, CAO C, WANG X, SI R, LIU X, SHI B, XU J, HAN Y. Structure evolution of Co-CoOx interface for higher alcohol synthesis from syngas over Co/CeO2 catalysts[J]. ACS Catal, 2018,8(9):8606-8617. doi: 10.1021/acscatal.8b00453

    2. [2]

      SUN K, GAO X, BAI Y, TAN M, YANG G, TAN Y. Synergetic catalysis of bimetallic copper-cobalt nanosheets for direct synthesis of ethanol and higher alcohols from syngas[J]. Catal Sci Technol, 2018,8(15):3936-3947. doi: 10.1039/C8CY01074A

    3. [3]

      LUK H T, MONDELLI C, MITCHELL S, SIOL S, STEWART J A, FERRE D C, PEREZ-RAMIREZ J. Role of carbonaceous supports and potassium promoter on higher alcohols synthesis over copper-iron catalysts[J]. ACS Catal, 2018,8(10):9604-9618. doi: 10.1021/acscatal.8b02714

    4. [4]

      AO M, PHAM G H, SUNARSO J, TADE M O, LIU S. Active centers of catalysts for higher alcohol synthesis from syngas:A review[J]. ACS Catal, 2018,8(8):7025-7050. doi: 10.1021/acscatal.8b01391

    5. [5]

      TAN L, YANG G, YONEYAMA Y, KOU Y, TAN Y, VITIDSANTC T, TSUBAKIA N. Iso-butanol direct synthesis from syngas over the alkali metals modified Cr/ZnO catalysts[J]. Appl Catal A:Gen, 2015,505:141-149. doi: 10.1016/j.apcata.2015.08.002

    6. [6]

      KOU Yong-li, XIE Hong-juan, LIU Guang-bo, WU Ying-quan, ZHANG Xin-yue, HAN Yi-zhuo, Noritatsu Tsubaki, TAN Yi-sheng. Effect of calcination temperature on the performance of ZnCr based catalyst in isobutanol synthesis[J]. J Fuel Chem Technol, 2013,41(6):703-709. doi: 10.3969/j.issn.0253-2409.2013.06.010

    7. [7]

      GAO X, ZHANG T, WU Y, YANG G, TAN M, LI X, XIE H, PAN J, TAN Y. Isobutanol synthesis from syngas on Zn-Cr based catalysts:New insights into the effect of morphology and facet of ZnO nanocrystal[J]. Fuel, 2018,217:21-30. doi: 10.1016/j.fuel.2017.12.065

    8. [8]

      GAO Peng, LI Feng, ZHAO Ning, WANG Hui, WEI Wei, SUN Yu-han. Preparation of Cu/Zn/Al/(Zr)/(Y) catalysts from hydrotalcite-like precursors and their catalytic performance for the hydrogenation of CO2 to methanol[J]. Acta Phys-Chim Sin, 2014,30(6):1155-1162.  

    9. [9]

      MA Z Y, YANG C, WEI W, LI W H, SUN Y H. Catalytic performance of copper supported on zirconia polymorphs for CO hydrogenation[J]. J Mol Catal A:Chem, 2005,231(1/2):75-81.  

    10. [10]

      FORNERO E L, SANGUINETI P B, CHIAVASSA D L, BONIVARDI A L, BALTANAS M A. Performance of ternary Cu-Ga2O3-ZrO2 catalysts in the synthesis of methanol using CO2-rich gas mixtures[J]. Catal Today, 2013,213:163-170. doi: 10.1016/j.cattod.2013.03.012

    11. [11]

      ESPOSITO S, TURCO M, BAGNASCO G, CAMMARANO C, PERNICE P, ARONNE A. Highly dispersed sol-gel synthesized Cu-ZrO2 materials as catalysts for oxidative steam reforming of methanol[J]. Appl Catal A:Gen, 2010,372(1):48-57. doi: 10.1016/j.apcata.2009.10.006

    12. [12]

      CHEN H W, YIN A Y, GUO X Y, DAI W L, FAN K N. Sodium hydroxide-sodium oxalate-assisted co-precipitation of highly active and stable Cu/ZrO2 catalyst in the partial oxidation of methanol to hydrogen[J]. Catal Lett, 2009,131(3/4):632-642.  

    13. [13]

      AGUILA G, VALENZUELA A, GUERRERO S, ARAYA P. WGS activity of a novel Cu-ZrO2 catalyst prepared by a reflux method[J]. Catal Comm, 2013,39:82-85. doi: 10.1016/j.catcom.2013.05.007

    14. [14]

      WANG L X, ZHU W C, ZHENG D F, YU X, CUI J, JIA M J, ZHANG W X, WANG Z L. Direct transformation of ethanol to ethyl acetate on Cu/ZrO2 catalyst[J]. React Kinet Mech Catal, 2010,101(2):365-375. doi: 10.1007/s11144-010-0216-9

    15. [15]

      JIANG Tao, NIU Yu-qin, ZHONG Bing. Study on synthesis of lower alcohols from syngas in supercritical fluids[J]. Chin J Catal, 2000,21(3):319-322.  

    16. [16]

      TAN Yi-sheng, NIU Yu-qin, ZHONG Bing, PENG Shao-yi. Conversion of synthesis gas to methanol and isobutanol over ZrO2 coated catalysts[J]. J Fuel Chem Technol, 1996,24(4):368-371.  

    17. [17]

      CAI Ya-ning, NIU Yu-qin, CHEN Zheng-hua, ZHONG Bing, PENG Shao-yi. Synthesis of methanol and isobutanol from syngas over ZrO2-based catalysts[J]. J Fuel Chem Technol, 1996,24(1):11-16.  

    18. [18]

      ZHAO Ning, YANG Cheng, WEI Wei, WANG Tai-ying, SUN Yu-han, ZHANG Jing, XIE Ya-ning, HU Tian-dou. Effect of calcination temperature on Cu/Mn/Ni/ZrO2 catalyst for synthesis of higher alcohols[J]. Chin J Catal, 2002,23(6):571-574. doi: 10.3321/j.issn:0253-9837.2002.06.022

    19. [19]

      HE Dai-ping, DING Yun-jie. Synthesis of methanol and isobutanol by CO hydrogenation over Pd-modified K/MnOx-ZrO2 catalyst[J]. Chin J Catal, 2005,26(11):961-964. doi: 10.3321/j.issn:0253-9837.2005.11.008

    20. [20]

      WANG Jun-wei, TAN Yi-sheng, NIU Yu-qin, ZHONG Bing, PENG Shao-yi. Relations between ZrO2 crystal structure and its catalytic activity to methanol and isobutanol[J]. J Fuel Chem Technol, 1998,26(5):390-394.  

    21. [21]

      WU Y, XIE H, TIAN S, TSUBAKIC N, HAN Y, TAN Y. Isobutanol synthesis from syngas over K-Cu/ZrO2-La2O3(x) catalysts:Effect of La-loading[J]. J Mol Catal A:Chem, 2015,396:254-260. doi: 10.1016/j.molcata.2014.10.003

    22. [22]

      ZHANG Ya-wen, YAN Zheng-guang, LI Ang, JIANG Xiao-cheng, GU Luo, LIAO Chun-sheng, YAN Chun-hua. Effects of precipitation conditions on specific surface area and morphology of rare earth oxides[J]. J Rare Earths, 2001,19(5):471-473. doi: 10.3321/j.issn:1000-4343.2001.05.022

    23. [23]

      DU Ming-xian, ZHAI Xiao-zhen, LI Yuan, LI Lin-dong, ZHU Hua-qing, TAN Chang-yu. Preparation of alumina with high specific surface area and narrow pore size distribution Ⅰ. Effect of precipitation conditions[J]. Chin J Catal, 2002,23(5):465-468. doi: 10.3321/j.issn:0253-9837.2002.05.019

    24. [24]

      ZHENG Jian-dong, REN Xiao-guang, SONG Yong-ji, SHEN Guo-liang. Influences of precipitation temperature on LaMnAl11O19 catalysts prepared by co-precipitation[J]. J Fuel Chem Technol, 2007,35(1):117-120. doi: 10.3969/j.issn.0253-2409.2007.01.023

    25. [25]

      FANG De-ren, LIU Zhong-min, ZHANG Hui-min, XU Lei, XU Xiu-feng, SUO Zhang-huai. Influence of precipitation temperature on phase composition of precursor of CuO/ZnO/Al2O3 catalyst and its catalytic activity for water gas shift reaction[J]. Nat Gas Chem Ind, 2004,29(4):28-32. doi: 10.3969/j.issn.1001-9219.2004.04.007

    26. [26]

      CUI Y, FANG R, SHANG H, SHI Z, GONG M, CHEN Y. The influence of precipitation temperature on the properties of ceria-zirconia solid solution composites[J]. J Alloys Comp, 2015,628:213-221. doi: 10.1016/j.jallcom.2014.12.149

    27. [27]

      JITTIARPORN P, SIKONG L, KOOPTARNOND K, TAWEEPREDA W. Effects of precipitation temperature on the photochromic properties of h-MoO3[J]. Ceram Int, 2014,40(8):13487-13495. doi: 10.1016/j.ceramint.2014.05.076

    28. [28]

      FREI E, SCHAADT A, LUDWIG T, HILLEBRECHT H. The Influence of the precipitation/ageing temperature on a Cu/ZnO/ZrO2 catalyst for methanol synthesis from H2 and CO2[J]. ChemCatChem, 2014,6(6):1721-1730. doi: 10.1002/cctc.201300665

    29. [29]

      WU Ying-quan, WANG Si-chen, XIE Hong-juan, GAO Jun-wen, TIAN Shao-peng, HAN Yi-zhuo, TAN Yi-sheng. Influence of Cu on the K-LaZrO2 catalyst for isobutanol synthesis[J]. Acta Phys-Chim Sin, 2015,31(1):166-172.  

    30. [30]

      WU Ying-quan, XIE Hong-juan, KOU Yong-li, TAN Li, HAN Yi-zhuo, TAN Yi-sheng. Effect of calcination temperature on performance of K-Cu/Zn/La/ZrO2 for isobutanol synthesis[J]. J Fuel Chem Technol, 2013,41(7):868-874. doi: 10.3969/j.issn.0253-2409.2013.07.014

    31. [31]

      WU Ying-quan, ZHANG Tao, ZHANG Jun-feng, WANG li-yan, XIE Hong-juan, YANG Guo-hui, TAN Yi-sheng. Influence of Cu on the K-LaZrO2 catalyst for isobutanol synthesis[J]. J Shaanxi Normal Univ (Nat Sci Ed), 2019,47(1):52-59.  

    32. [32]

      KIKUYAMA S, MIURA A, KIKUCHI R, TAKEGUCHI T, EGUCHI K. SOx sorption-desorption characteristics by ZrO2-based mixed oxides[J]. Appl Catal A:Gen, 2004,259(2):191-197. doi: 10.1016/j.apcata.2003.09.042

    33. [33]

      HLEIS D, LABAKI M, LAVERSIN H, COURCOT D, ABOUKAIS A. Comparison of alkali-promoted ZrO2 catalysts towards carbon black oxidation[J]. Colloids Surf A:Physicochem Eng Asp, 2008,33(2/3):193-200.  

    34. [34]

      GRAF P O, DE VLIEGER D J M, MOJET B L, LEFFERTS L. New insights in reactivity of hydroxyl groups in water gas shift reaction on Pt/ZrO2[J]. J Catal, 2009,262(2):181-187.  

    35. [35]

      KARWACKI C J, GANESH P, KENT P R C, GORDON W O, PETERSON G W, NIU J J, GOGOTSI Y. Structure-activity relationship of Au/ZrO2 catalyst on formation of hydroxyl groups and its influence on CO oxidation[J]. J Mater Chem A, 2013,1(19):6051-6062. doi: 10.1039/c3ta00081h

    36. [36]

      SLOCZYNSKI J, GRABOWSKI R, KOZLOWSKA A, OLSZEWSKI P K. Reduction kinetics of CuO in CuO/ZnO/ZrO2 systems[J]. Phys Chem Chem Phys, 2003,5(20):4631-4640. doi: 10.1039/B306132A

    37. [37]

      YAO C Z, WANG L C, LIU Y M, WU G S, CAO Y, DAI W L, HE H Y, FAN K N. Effect of preparation method on the hydrogen production from methanol steam reforming over binary Cu/ZrO2 catalysts[J]. Appl Catal A:Gen, 2006,297(2):151-158. doi: 10.1016/j.apcata.2005.09.002

    38. [38]

      BIANCHI D, CHAFIK T, KHALFALLAH M, TEICHNER S J. Intermediate species on zirconia supported methanol aerogel catalysts. 5. Adsorption of methanol[J]. Appl Catal A:Gen, 1995,123(1):89-110. doi: 10.1016/0926-860X(94)00242-8

    39. [39]

      ARENA F, ITALIANO G, BARBERA K, BORDIGA S, BONURA G, SPADARO L, Frusteri F. Solid-state interactions, adsorption sites and functionality of Cu-ZnO/ZrO2 catalysts in the CO2 hydrogenation to CH3OH[J]. Appl Catal A:Gen, 2008,350(1):16-23. doi: 10.1016/j.apcata.2008.07.028

    40. [40]

      WU Y, ZHANG J, ZHANG T, SUN K, WANG L, XIE H, TAN Y. Effect of Potassium on the regulation of C1 intermediates in isobutyl alcohol synthesis from syngas over CuLaZrO2 catalysts[J]. Ind Eng Chem Res, 2019,58(22):9343-9351. doi: 10.1021/acs.iecr.9b01436

  • 加载中
    1. [1]

      Weihan ZhangMenglu WangAnkang JiaWei DengShuxing Bai . Surface Sulfur Species Influence Hydrogenation Performance of Palladium-Sulfur Nanosheets. Acta Physico-Chimica Sinica, 2024, 40(11): 2309043-0. doi: 10.3866/PKU.WHXB202309043

    2. [2]

      Ruizhi DuanXiaomei WangPanwang ZhouYang LiuCan Li . The role of hydroxyl species in the alkaline hydrogen evolution reaction over transition metal surfaces. Acta Physico-Chimica Sinica, 2025, 41(9): 100111-0. doi: 10.1016/j.actphy.2025.100111

    3. [3]

      Junjian WangQingquan YuShunyao LiuYuke ChenXiaoyu LiuGuodong LiXiaoyan LiuHong LiuWeijia Zhou . Laser-Induced Carbonization of Hydroxyapatite Sandwich Paper for Inkless Printing. Acta Physico-Chimica Sinica, 2024, 40(4): 2304024-0. doi: 10.3866/PKU.WHXB202304024

    4. [4]

      Yuting ZHANGZunyi LIUNing LIDongqiang ZHANGShiling ZHAOYu ZHAO . Nickel vanadate anode material with high specific surface area through improved co-precipitation method: Preparation and electrochemical properties. Chinese Journal of Inorganic Chemistry, 2024, 40(11): 2163-2174. doi: 10.11862/CJIC.20240204

    5. [5]

      Wenlong LIXinyu JIAJie LINGMengdan MAAnning ZHOU . Photothermal catalytic CO2 hydrogenation over a Mg-doped In2O3-x catalyst. Chinese Journal of Inorganic Chemistry, 2024, 40(5): 919-929. doi: 10.11862/CJIC.20230421

    6. [6]

      Hailian TangSiyuan ChenQiaoyun LiuGuoyi BaiBotao QiaoLiu Fei . Stabilized Rh/hydroxyapatite Catalyst for Furfuryl Alcohol Hydrogenation: Application of Oxidative Strong Metal-Support Interactions in Reducing Conditions. Acta Physico-Chimica Sinica, 2025, 41(4): 100036-0. doi: 10.3866/PKU.WHXB202408004

    7. [7]

      Feifei YangWei ZhouChaoran YangTianyu ZhangYanqiang Huang . Enhanced Methanol Selectivity in CO2 Hydrogenation by Decoration of K on MoS2 Catalyst. Acta Physico-Chimica Sinica, 2024, 40(7): 2308017-0. doi: 10.3866/PKU.WHXB202308017

    8. [8]

      Qinhui GuanYuhao GuoNa LiJing LiTingjiang Yan . Molecular sieve-mediated indium oxide catalysts for enhancing photocatalytic CO2 hydrogenation. Acta Physico-Chimica Sinica, 2025, 41(11): 100133-0. doi: 10.1016/j.actphy.2025.100133

    9. [9]

      Liuyun ChenWenju WangTairong LuXuan LuoXinling XieKelin HuangShanli QinTongming SuZuzeng QinHongbing Ji . Soft template-induced deep pore structure of Cu/Al2O3 for promoting plasma-catalyzed CO2 hydrogenation to DME. Acta Physico-Chimica Sinica, 2025, 41(6): 100054-0. doi: 10.1016/j.actphy.2025.100054

    10. [10]

      Yongqing XuYuyao YangMengna WuXiaoxiao YangXuan BieShiyu ZhangQinghai LiYanguo ZhangChenwei ZhangRobert E. PrzekopBogna SztorchDariusz BrzakalskiHui Zhou . Review on Using Molybdenum Carbides for the Thermal Catalysis of CO2 Hydrogenation to Produce High-Value-Added Chemicals and Fuels. Acta Physico-Chimica Sinica, 2024, 40(4): 2304003-0. doi: 10.3866/PKU.WHXB202304003

    11. [11]

      Xiaorui ChenXuan LuoTongming SuXinling XieLiuyun ChenYuejing BinZuzeng QinHongbing Ji . Ga-doped Cu/γ-Al2O3 bifunctional interface sites promote the direct hydrogenation of CO2 to DME. Acta Physico-Chimica Sinica, 2025, 41(10): 100126-0. doi: 10.1016/j.actphy.2025.100126

    12. [12]

      Zhipeng Bao Yilin Wang Yu Chen Beirui Jia Congcong Wang Zean Xie Xuehua Yu Zhen Zhao . Digital and Intelligent Integration under the “Dual Carbon” Strategy: Plasma Reaction-Separation Coupling for CO2 Hydrogenation to Methanol. University Chemistry, 2026, 41(1): 29-40. doi: 10.12461/PKU.DXHX202506009

    13. [13]

      Beibei Gao Lipeng Zhou Dexin Yang . Integrating the “Dual Carbon” Concept into Teaching Reform of Physical Chemistry: A Case of CO2 Hydrogenation to CH3OH. University Chemistry, 2026, 41(3): 248-253. doi: 10.12461/PKU.DXHX202504011

    14. [14]

      Huijuan Liao Yulin Xiao Dong Xue Mingyu Yang Jianyang Dong . Synthesis of 1-Benzyl Isoquinoline via the Minisci Reaction. University Chemistry, 2025, 40(7): 294-299. doi: 10.12461/PKU.DXHX202409092

    15. [15]

      Yangrui XuYewei RenXinlin LiuHongping LiZiyang Lu . NH2-UIO-66 Based Hydrophobic Porous Liquid with High Mass Transfer and Affinity Surface for Enhancing CO2 Photoreduction. Acta Physico-Chimica Sinica, 2024, 40(11): 2403032-0. doi: 10.3866/PKU.WHXB202403032

    16. [16]

      Wanchun Zhu Yongmei Liu Li Wang Yunshan Bai Shu'e Song Xiaokui Wang Zhongyun Wu Hong Yuan Yunchao Li Fuping Tian Yuan Chun Jianrong Zhang Shuyong Zhang . Suggestions on Operating Specifications of Physical Chemistry Experiment: Measurement and Control of Temperature. University Chemistry, 2025, 40(5): 128-136. doi: 10.12461/PKU.DXHX202503028

    17. [17]

      Xian BISisi WANGJinyue ZHANGYujia PENGZhen SHENHua LU . Discovery, development, and perspectives of circularly polarized luminescent materials based on β-isoindigo skeletons. Chinese Journal of Inorganic Chemistry, 2025, 41(6): 1049-1057. doi: 10.11862/CJIC.20240456

    18. [18]

      Tieping CAOYuejun LIDawei SUN . Surface plasmon resonance effect enhanced photocatalytic CO2 reduction performance of S-scheme Bi2S3/TiO2 heterojunction. Chinese Journal of Inorganic Chemistry, 2025, 41(5): 903-912. doi: 10.11862/CJIC.20240366

    19. [19]

      Qiaoqiao BAIAnqi ZHOUXiaowei LITang LIUSong LIU . Construction of pressure-temperature dual-functional flexible sensors and applications in biomedicine. Chinese Journal of Inorganic Chemistry, 2024, 40(12): 2259-2274. doi: 10.11862/CJIC.20240128

    20. [20]

      Mingxin LULiyang ZHOUXiaoyu XUXiaoying FENGHui WANGBin YANJie XUChao CHENHui MEIFeng GAO . Preparation of La-doped lead-based piezoelectric ceramics with both high electrical strain and Curie temperature. Chinese Journal of Inorganic Chemistry, 2025, 41(2): 329-338. doi: 10.11862/CJIC.20240206

Metrics
  • PDF Downloads(10)
  • Abstract views(1920)
  • HTML views(365)

通讯作者: 陈斌, bchen63@163.com
  • 1. 

    沈阳化工大学材料科学与工程学院 沈阳 110142

  1. 本站搜索
  2. 百度学术搜索
  3. 万方数据库搜索
  4. CNKI搜索
Address:Zhongguancun North First Street 2,100190 Beijing, PR China Tel: +86-010-82449177-888
Powered By info@rhhz.net

/

DownLoad:  Full-Size Img  PowerPoint
Return