Citation: MA Long, ZHANG Yu-xi, GAO Xin-hua, MA Qing-xiang, ZHANG Jian-li, ZHAO Tian-sheng. Preparation of Fe3O4@PI and its catalytic performances in Fischer-Tropsch synthesis[J]. Journal of Fuel Chemistry and Technology, ;2020, 48(7): 813-820. shu

Preparation of Fe3O4@PI and its catalytic performances in Fischer-Tropsch synthesis

  • Corresponding author: GAO Xin-hua, gxh@nxu.edu.cn ZHANG Jian-li, zhangjl@nxu.edu.cn
  • Received Date: 3 April 2020
    Revised Date: 4 June 2020

    Fund Project: the National Natural Science Foundation of China 21965029the National Natural Science Foundation of China 21968025The project was supported by the Key R & D Project of Ningxia (2018BEE03010) and the National Natural Science Foundation of China (21968025, 21965029)the Key R & D Project of Ningxia 2018BEE03010

Figures(11)

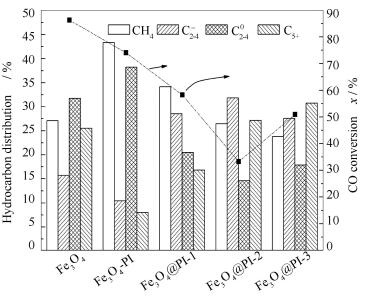
  • Polyimide (PI) modified Fe3O4@PI and Fe3O4-PI catalyst samples were prepared by hydrothermal-coating and ball milling methods, respectively. The effect of PI modification on the product distribution of the Fe-based catalysts for Fischer-Tropsch synthesis was investigated. The catalysts were characterized by XRD, SEM, TEM, H2-TPR, CO-TPD, FT-IR, XPS, TG and contact angle measurements. The results showed that Fe3O4, Fe3O4@PI and Fe3O4-PI were spherical with uniform particle size, and the Fe3O4@PI particle size was smaller. PI modification promoted the reduction and the hydrophilicity of Fe3O4. For Fe3O4@PI sample, PI was uniformly coated on Fe3O4 surface, which led to good thermal stability. Compared with Fe3O4 and Fe3O4-PI samples, CO adsorption was promoted on Fe3O4@PI. Compared with Fe3O4, the catalytic activity of Fe3O4@PI and Fe3O4-PI decreased, and the secondary hydrogenation ability was inhibited, resulting in increase of olefin selectivity. For Fe3O4@PI, the olefin selectivity was enhanced significantly with olefin to alkane ratio in C2-4 fraction increased from 0.50 to 2.15. PI modification with suitable content favored the formation of C5+ hydrocarbons.
  • 加载中
    1. [1]

      LU Y W, YAN Q G, HAN J, CAO B B, STREET J, YU F. Fischer-Tropsch synthesis of olefin-rich liquid hydrocarbons from biomass-derived syngas over carbon-encapsulated iron carbide/iron nanoparticles catalyst[J]. Fuel, 2017,193:369-384. doi: 10.1016/j.fuel.2016.12.061

    2. [2]

      TORRES GALVIS H M, DE JONG K P. Catalysts for production of lower olefins from synthesis gas:A review[J]. ACS Catal, 2013,3(9):2130-2149. doi: 10.1021/cs4003436

    3. [3]

      YANG J, MA W, CHENG D, HOLMEN A, DAVIS B H. Fischer-Tropsch synthesis:A review of the effect of CO conversion on methane selectivity[J]. Appl Catal A:Gen, 2014,470:250-260. doi: 10.1016/j.apcata.2013.10.061

    4. [4]

      LI Z H, LIU R J, XU Y, MA X B. Enhanced Fischer-Tropsch synthesis performance of iron-based catalysts supported on nitric acid treated N-doped CNTs[J]. Appl Surf Sci, 2015,347:643-650. doi: 10.1016/j.apsusc.2015.04.169

    5. [5]

      YAN B, MA L, GAO X H, ZHANG J L, MA Q X, ZHAO T S. Amphiphobic surface fabrication of iron catalyst and effect on product distribution of Fischer-Tropsch synthesis[J]. Appl Catal A:Gen, 2019,585117184. doi: 10.1016/j.apcata.2019.117184

    6. [6]

      TORRES GALVIS H M, KOEKEN A C J, BITTER J H, DAVIDIAN T, RUITENBEEK M, IULIAN DUGULAN A, DE JONG K P. Effect of precursor on the catalytic performance of supported iron catalysts for the Fischer-Tropsch synthesis of lower olefins[J]. Catal Today, 2013,215:95-102. doi: 10.1016/j.cattod.2013.03.018

    7. [7]

      WANG H Y, HUANG S Y, WANG J, ZHAO Q, WANG Y F, WANG Y, MA X B. Effect of Ca promoter on the structure and catalytic behavior of FeK/Al2O3 catalyst in Fischer-Tropsch synthesis[J]. ChemCatChem, 2019,11(14):3220-3226. doi: 10.1002/cctc.201900501

    8. [8]

      CHEN X Q, DENG D H, PAN X L, HU Y F, BAO X H. N-doped graphene as an electron donor of iron catalysts for CO hydrogenation to light olefins[J]. Chem Commun, 2015,51(1):217-220. doi: 10.1039/C4CC06600F

    9. [9]

      AN B, CHENG K, WANG C, WANG Y, LIN W B. Pyrolysis of metal-organic frameworks to Fe3O4@Fe5C2 core-shell nanoparticles for Fischer-Tropsch synthesis[J]. ACS Catal, 2016,6(6):3610-3618. doi: 10.1021/acscatal.6b00464

    10. [10]

      TIAN Z P, WANG C G, SI Z, MA L L, CHEN L G, LIU Q Y, ZHANG Q, HUANG H Y. Fischer-Tropsch synthesis to light olefins over iron-based catalysts supported on KMnO4 modified activated carbon by a facile method[J]. Appl Catal A:Gen, 2017,541:50-59. doi: 10.1016/j.apcata.2017.05.001

    11. [11]

      YUAN Y, HUANG S Y, WANG H Y, WANG Y F, WANG J, LV J, LI Z H, MA X B. Monodisperse nano-Fe3O4 on α-Al2O3 catalysts for Fischer-Tropsch synthesis to lower olefins:Promoter and size effects[J]. ChemCatChem, 2017,9(16):3144-3152. doi: 10.1002/cctc.201700792

    12. [12]

      LIU Y, CHEN J F, BAO J, ZHANG Y. Manganese-modified Fe3O4 microsphere catalyst with effective active phase of forming light olefins from syngas[J]. ACS Catal, 2015,5(6):3905-3909. doi: 10.1021/acscatal.5b00492

    13. [13]

      MARTÍNEZ DEL MONTE D, VIZCAÍNO A J, DUFOUR J, C , MARTOS C. Effect of K, Co and Mo addition in Fe-based catalysts for aviation biofuels production by Fischer-Tropsch synthesis[J]. Fuel Process Technol, 2019,194106102. doi: 10.1016/j.fuproc.2019.05.025

    14. [14]

      GU B, HE S, ZHOU W, KANG J C, CHENG K, ZHANG Q H, WANG Y. Polyaniline-supported iron catalyst for selective synthesis of lower olefins from syngas[J]. J Energy Chem, 2017,26:608-615. doi: 10.1016/j.jechem.2017.04.009

    15. [15]

      YU X F, ZHANG J L, WANG X, MA Q X, GAO X H, XIA H Q, LAI X Y, FAN S B, ZHAO T S. Fischer-Tropsch synthesis over methyl modified Fe2O3@SiO2 catalysts with low CO2 selectivity[J]. Appl Catal B:Environ, 2018,232:420-428. doi: 10.1016/j.apcatb.2018.03.048

    16. [16]

      SHI L H, CHEN J G, FANG K G, SUN Y H. CH3-modified Co/Ru/SiO2 catalysts and the performances for Fischer-Tropsch synthesis[J]. Fuel, 2008,87(4/5):521-526.  

    17. [17]

      ZHANG Juan, CHEN Jian-gang, CHEN Cong-biao, WANG Zhan-xiu, WANG Jun-gang, SUN Yu-han. Secondary reaction of olefin over Co-based catalyst for Fischer-Tropsch synthesis[J]. Petrochem Technol, 2010,39(8):855-860.  

    18. [18]

      GAO Jun-hu, WU Bao-shan, ZHOU Li-ping, YANG Yong, HAO Xu, XU Yuan-yuan, LI Yong-wang. Product distribution of Fischer-Tropsch synthesis in polar liquids[J]. Chin J Catal, 2011,32(12):1790-1802.  

    19. [19]

      WANG Lu-kai, FENG Jun-zong, LI Liang-jun, JIANG Yong-gang, FENG Jian. Research progress on hydrophobic modification of polyimide[J]. Mater Rep, 2018,32(S2):264-269.  

    20. [20]

      WANG L, LU J J, LIU M Q, LIN L, LI J J. Preparation of porous polyimide microspheres by thermal degradation of block copolymers[J]. Particuology, 2014,14(3):63-70.  

    21. [21]

      QU C Y, LIU C W, ZHOU H R, YU W M, WANG D Z, WANG D X. One-step synthesis of PI@Fe3O4 composite microspheres and practical application in Cu(Ⅱ) ion adsorption[J]. RSC Adv, 2015,5(108):88943-88949. doi: 10.1039/C5RA18756G

    22. [22]

      YAN H J, CHEN Y, XU S M. Synthesis of graphitic carbon nitride by directly heating sulfuric acid treated melamine for enhanced photocatalytic H2 production from water under visible light[J]. Int J Hydrogen Energy, 2012,37(1):125-133. doi: 10.1016/j.ijhydene.2011.09.072

    23. [23]

      ZENG S Z, GUO L M, CUI F M, GAO Z, ZHOU J, SHI J L. Template-free synthesis of crystalline polyimide spheres with radiate branches[J]. Mater Lett, 2010,64(5):625-627. doi: 10.1016/j.matlet.2009.12.024

    24. [24]

      NI Z J, QIN H F, KANG S F, BAI J R, WANG Z L, LI Y G, ZHENG Z, LI X. Effect of graphitic carbon modification on the catalytic performance of Fe@SiO2-GC catalysts for forming lower olefins via Fischer-Tropsch synthesis[J]. J Colloid Interf Sci, 2018,516:16-22. doi: 10.1016/j.jcis.2018.01.017

    25. [25]

      ZHANG Jian-li, WANG Xu, MA Li-ping, YU Xu-fei, MA Qing-xiang, FAN Su-bing, ZHAO Tian-sheng. Preparation of layered K/Mg-Fe-Al catalysts and its catalytic performances in CO hydrogenation[J]. J Fuel Chem Technol, 2017,45(12):1489-1498. doi: 10.3969/j.issn.0253-2409.2017.12.011 

    26. [26]

      WU X, MA H F, ZHANG H T, QIAN W X, LIU D H, SUN Q W, YING W Y. High-temperature Fischer-Tropsch synthesis of light olefins over nano-Fe3O4@MnO2 core-shell catalysts[J]. Ind Eng Chem Res, 2019,58(47):21350-21362. doi: 10.1021/acs.iecr.9b04221

    27. [27]

      ROMERO-SARRIA F, BOBADILLA L F, JIMÉNEZ BARRERA E M, ODRIOZOLA J A. Experimental evidence of HCO species as intermediate in the Fischer-Tropsch reaction using operando techniques[J]. Appl Catal B:Environ, 2020,272119032. doi: 10.1016/j.apcatb.2020.119032

    28. [28]

      DING M Y, YANG Y, WU B S, LI Y W, WANG T J, MA L L. Study on reduction and carburization behaviors of iron phases for iron-based Fischer-Tropsch synthesis catalyst[J]. Appl Energy, 2015,160:982-989. doi: 10.1016/j.apenergy.2014.12.042

  • 加载中
    1. [1]

      Wenhao Dong Qin Ma Xiaocan Wu . Large Unit Teaching Design in Physical Chemistry from the Perspective of Curriculum Ideological and Political Educaiton: A Case of the “Coal-to-Liquids Project in Ningxia”. University Chemistry, 2025, 40(11): 134-140. doi: 10.12461/PKU.DXHX202501017

    2. [2]

      Xue DongXiaofu SunShuaiqiang JiaShitao HanDawei ZhouTing YaoMin WangMinghui FangHaihong WuBuxing Han . Electrochemical CO2 Reduction to C2+ Products with Ampere-Level Current on Carbon-Modified Copper Catalysts. Acta Physico-Chimica Sinica, 2025, 41(3): 100024-0. doi: 10.3866/PKU.WHXB202404012

    3. [3]

      Yajin LiHuimin LiuLan MaJiaxiong LiuDehua He . Photothermal Synthesis of Glycerol Carbonate via Glycerol Carbonylation with CO2 over Au/Co3O4-ZnO Catalyst. Acta Physico-Chimica Sinica, 2024, 40(9): 2308005-0. doi: 10.3866/PKU.WHXB202308005

    4. [4]

      Wei ZhongDan ZhengYuanxin OuAiyun MengYaorong Su . Simultaneously Improving Inter-Plane Crystallization and Incorporating K Atoms in g-C3N4 Photocatalyst for Highly-Efficient H2O2 Photosynthesis. Acta Physico-Chimica Sinica, 2024, 40(11): 2406005-0. doi: 10.3866/PKU.WHXB202406005

    5. [5]

      Yachao HUANGChuanwang ZENGGuiyong LIUJinming ZENGChao LIUXiaopeng QI . Oxygen vacancies and phosphorus doping enhanced metal-organic framework derived nitrogen-doped carbon-coated Co3O4 bifunctional electrocatalyst. Chinese Journal of Inorganic Chemistry, 2025, 41(11): 2251-2260. doi: 10.11862/CJIC.20250133

    6. [6]

      Haoyu SunDun LiYuanyuan MinYingying WangYanyun MaYiqun ZhengHongwen Huang . Hierarchical Palladium-Copper-Silver Porous Nanoflowers as Efficient Electrocatalysts for CO2 Reduction to C2+ Products. Acta Physico-Chimica Sinica, 2024, 40(6): 2307007-0. doi: 10.3866/PKU.WHXB202307007

    7. [7]

      Xiaofang LiZhigang Wang . 调节金助催化剂的dz2占据轨道增强光催化合成H2O2. Acta Physico-Chimica Sinica, 2025, 41(7): 100080-0. doi: 10.1016/j.actphy.2025.100080

    8. [8]

      Zhiqiang XINGJinling LIUMingmin SULei ZHANGLijun YANG . CoNi dual-single-atom catalyst for electrocatalytic H2O2 production and in situ electro-Fenton degradation of pollutants. Chinese Journal of Inorganic Chemistry, 2025, 41(12): 2479-2490. doi: 10.11862/CJIC.20250181

    9. [9]

      Xuejie WangGuoqing CuiCongkai WangYang YangGuiyuan JiangChunming Xu . Research Progress on Carbon-based Catalysts for Catalytic Dehydrogenation of Liquid Organic Hydrogen Carriers. Acta Physico-Chimica Sinica, 2025, 41(5): 100044-0. doi: 10.1016/j.actphy.2024.100044

    10. [10]

      Xi YANGChunxiang CHANGYingpeng XIEYang LIYuhui CHENBorao WANGLudong YIZhonghao HAN . Co-catalyst Ni3N supported Al-doped SrTiO3: Synthesis and application to hydrogen evolution from photocatalytic water splitting. Chinese Journal of Inorganic Chemistry, 2025, 41(3): 440-452. doi: 10.11862/CJIC.20240371

    11. [11]

      Yu LiuPengfei LiYize LiuZaicheng Sun . Recent advances in carbon dots as a single photocatalyst. Acta Physico-Chimica Sinica, 2026, 42(2): 100167-0. doi: 10.1016/j.actphy.2025.100167

    12. [12]

      Yuchen ZhouHuanmin LiuHongxing LiXinyu SongYonghua TangPeng Zhou . Designing thermodynamically stable noble metal single-atom photocatalysts for highly efficient non-oxidative conversion of ethanol into high-purity hydrogen and value-added acetaldehyde. Acta Physico-Chimica Sinica, 2025, 41(6): 100067-0. doi: 10.1016/j.actphy.2025.100067

    13. [13]

      Dong XiangKunzhen LiKanghua MiaoRan LongYujie XiongXiongwu Kang . Amine-Functionalized Copper Catalysts: Hydrogen Bonding Mediated Electrochemical CO2 Reduction to C2 Products and Superior Rechargeable Zn-CO2 Battery Performance. Acta Physico-Chimica Sinica, 2024, 40(8): 2308027-0. doi: 10.3866/PKU.WHXB202308027

    14. [14]

      Wenlong LIXinyu JIAJie LINGMengdan MAAnning ZHOU . Photothermal catalytic CO2 hydrogenation over a Mg-doped In2O3-x catalyst. Chinese Journal of Inorganic Chemistry, 2024, 40(5): 919-929. doi: 10.11862/CJIC.20230421

    15. [15]

      Hailang JIAHongcheng LIPengcheng JIYang TENGMingyun GUAN . Preparation and performance of N-doped carbon nanotubes composite Co3O4 as oxygen reduction reaction electrocatalysts. Chinese Journal of Inorganic Chemistry, 2024, 40(4): 693-700. doi: 10.11862/CJIC.20230402

    16. [16]

      Jia WangQing QinZhe WangXuhao ZhaoYunfei ChenLiqiang HouShangguo LiuXien Liu . P-Doped Carbon-Supported ZnxPyOz for Efficient Ammonia Electrosynthesis under Ambient Conditions. Acta Physico-Chimica Sinica, 2024, 40(3): 2304044-0. doi: 10.3866/PKU.WHXB202304044

    17. [17]

      Ying Chen Ronghua Yan Weiyan Yin . Research Progress on the Synthesis of Metal Single-Atom Catalysts and Their Applications in Electrocatalytic Hydrogen Evolution Reactions. University Chemistry, 2025, 40(9): 344-353. doi: 10.12461/PKU.DXHX202503066

    18. [18]

      Qi WangYuqing LiuJiefei WangYuan-Yuan MaJing DuZhan-Gang Han . Catalysts for electrocatalytic dechlorination of chlorinated aromatic hydrocarbons: synthetic strategies, applications, and challenges. Acta Physico-Chimica Sinica, 2025, 41(10): 100120-0. doi: 10.1016/j.actphy.2025.100120

    19. [19]

      Guoqiang ChenZixuan ZhengWei ZhongGuohong WangXinhe Wu . Molten Intermediate Transportation-Oriented Synthesis of Amino-Rich g-C3N4 Nanosheets for Efficient Photocatalytic H2O2 Production. Acta Physico-Chimica Sinica, 2024, 40(11): 2406021-0. doi: 10.3866/PKU.WHXB202406021

    20. [20]

      Yuhang ZhangYi LiYuehan CaoYingjie ShuaiYu ZhouYing Zhou . Regulating the formation type by Ir of intermediates to suppress product overoxidation in photocatalytic methane conversion. Acta Physico-Chimica Sinica, 2026, 42(2): 100173-0. doi: 10.1016/j.actphy.2025.100173

Metrics
  • PDF Downloads(7)
  • Abstract views(1194)
  • HTML views(140)

通讯作者: 陈斌, bchen63@163.com
  • 1. 

    沈阳化工大学材料科学与工程学院 沈阳 110142

  1. 本站搜索
  2. 百度学术搜索
  3. 万方数据库搜索
  4. CNKI搜索
Address:Zhongguancun North First Street 2,100190 Beijing, PR China Tel: +86-010-82449177-888
Powered By info@rhhz.net

/

DownLoad:  Full-Size Img  PowerPoint
Return