Citation: LIANG Kun, ZHANG Cheng-hua, XIANG Hong-wei, YANG Yong, LI Yong-wang. Effects of modified SiO2 on H2 and CO adsorption and hydrogenation of iron-based catalysts[J]. Journal of Fuel Chemistry and Technology, ;2019, 47(7): 769-779. shu

Effects of modified SiO2 on H2 and CO adsorption and hydrogenation of iron-based catalysts

  • Corresponding author: ZHANG Cheng-hua, zhangchh@sxicc.ac.cn
  • Received Date: 19 March 2019
    Revised Date: 24 April 2019

    Fund Project: The project was supported by the Major Research Program of National Natural Science Foundation of China (91545109)the Major Research Program of National Natural Science Foundation of China 91545109

Figures(10)

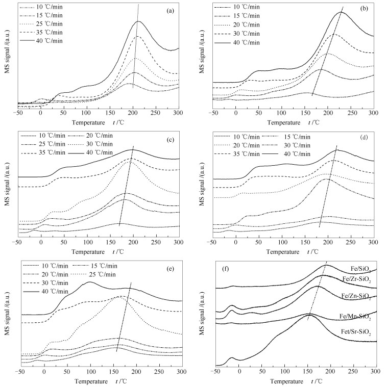
  • Metal-modified SiO2 supports were prepared by sol-gel method with Mn, Zn, Zr, and Sr cations doping, and then iron-based catalysts supported on modified SiO2 were prepared by the impregnation method. The iron-based catalysts were characterized by XRD, N2 adsorption, and XPS. The reduction adsorption property of H2 and hydrogenation property of CO were studied by temperature programmed methods. The interaction between catalyst and H was studied by kinetic analysis. The results indicate that metal modification has no influence on phase composition of Fe and surface electronic state of Fe species. However, the modification reduces surface area of catalyst and dispersion of active phase, weakens adsorption ability of H2 and lowers H2 desorption activation energy of the catalyst. Zn and Zr doping restrain reduction of catalysts, while Mn and Sr doping promotes reduction of catalysts. The doping of Mn, Zn and Zr inhibits adsorption of CO on the catalyst surface, while Sr promotes dissociation and adsorption of CO. Mn, Zn, Zr and Sr promote C-C coupling and hydrogenation reaction. Among them, Mn and Zr are more prominent.
  • 加载中
    1. [1]

      DRY M E. The Fischer-Tropsch process:1950-2000[J]. Catal Today, 2002,71(3):227-241.  

    2. [2]

      DRY M E. Present and future applications of the Fischer-Tropsch process[J]. Appl Catal A:Gen, 2004,276(1):1-3.  

    3. [3]

      ZHANG Q H, KANG J C, WANG Y. Development of novel catalysts for Fischer-Tropsch synthesis:Tuning the product selectivity[J]. ChemCatChem, 2010,2(9):1030-1058. doi: 10.1002/cctc.201000071

    4. [4]

      ZHANG Q H, DENG W P, WANG Y. Recent advances in understanding the key catalyst factors for Fischer-Tropsch synthesis[J]. J Energy Chem, 2013,22(1):27-38.

    5. [5]

      DE SMIT E, SWART I, CREEMER J F, HOVELING G H, GILLES M K, TYLISZCZAK T, KOOYMAN P J, ZANDBERGEN H W, MORIN C, WECKHUYSEN B M, DE GROOT F. Nanoscale chemical imaging of a working catalyst by scanning transmission X-ray microscopy[J]. Nature, 2008,456(7219):222-225. doi: 10.1038/nature07516

    6. [6]

      CHANG Q, ZHANG C H, LIU C W, WEI Y X, AJIN V C, IULIAN DUGULAN A, NIEMANTSVERDRIET J W, LIU X W, He Y R, QING M, ZHENG L R, YUN Y F, YANG Y, LI Y W. Relationship between iron carbide phases (ε-Fe2C, Fe7C3, and x-Fe5C2) and catalytic performances of Fe/SiO2 Fischer-Tropsch catalysts[J]. ACS Catal, 2018,8(4):3304-3316. doi: 10.1021/acscatal.7b04085

    7. [7]

      DE SMIT E, BEALE A M, NIKITENTO S, WECKHUYSEN B M. Local and long range order in promoted iron-based Fischer-Tropsch catalysts:A combined in situ X-ray absorption spectroscopy/wide angle X-ray scattering study[J]. J Catal, 2009,262(2):244-256.

    8. [8]

      DE SMIT E, CINQUINI F, BEALE A M. Stability and reactivity of ε-x-θ iron carbide catalyst phases in Fischer-Tropsch synthesis:Controlling μC[J]. J Am Chem Soc, 2010,132(42):14928-14941. doi: 10.1021/ja105853q

    9. [9]

      SUO H Y, WANG S G, ZHANG C H, XU J, WU B S, YANG Y, XIANG H W, LI Y W. Chemical and structural effects of silica in iron-based Fischer-Tropsch synthesis catalysts[J]. J Catal, 2012,286(3):111-123.  

    10. [10]

      CHEN Jia-ning, LIU Yong-mei. Effects of Mn-K synergistic action on iron-based catalyst for CO hydrogenation to light olefins[J]. J Fuel Chem Technol, 2013,41(12):1488-1494.  

    11. [11]

      TAO Z C, YANG Y, ZHANG C H, LI T Z, DING M Y, XIANG H W, LI Y W. Study of manganese promoter on a precipitated iron-based catalyst for Fischer-Tropsch synthesis[J]. J Nat Gas Chem, 2007,16(3):278-285. doi: 10.1016/S1003-9953(07)60060-7

    12. [12]

      SAGLAM M. Effects of vanadium and zinc promotion on the olefin selectivity of iron Fischer-Tropsch catalysts[J]. Ind Eng Chem Res, 1989,28(2):150-154. doi: 10.1021/ie00086a004

    13. [13]

      GAO X H, ZHANG J L, CHEN N, MA Q X, FAN S B, ZHAO T S, TSUBAKI N. Effects of zinc on Fe-based catalysts during the synthesis of light olefins from the Fischer-Tropsch process[J]. Chin J Catal, 2016,37(4):510-516. doi: 10.1016/S1872-2067(15)61051-8

    14. [14]

      LI S Z, LI A W, KEISHNAMOORTHY S, IGLESIA E. Effects of Zn, Cu, and K promoters on the structure and on the reduction, carburization, and catalytic behavior of iron-based Fischer-Tropsch synthesis catalysts[J]. Catal Lett, 2001,77(4):197-205.

    15. [15]

      QING M, YANG Y, WU B, XU J, ZHANG C H, GAO P, LI Y W. Modification of Fe-SiO2 interaction with zirconia for iron-based Fischer-Tropsch catalysts[J]. J Catal, 2011,279(1):111-122.  

    16. [16]

      LI J F, ZHANG C H, CHENG X F, QING M, XU J, WU B S, YANG Y, LI Y W. Effects of alkaline-earth metals on the structure, adsorption and catalytic behavior of iron-based Fischer-Tropsch synthesis catalysts[J]. Appl Catal A:Gen, 2013,464/465(16):10-19.  

    17. [17]

      AMENOMIYA Y, CVETANOVIC R J. Application of flash-desorption method to catalyst studies. Ⅰ. Ethylene-alumina system[J]. J Phys Chem, 1963,67(1):2046-2049.

    18. [18]

      KOMERS R, AMENOMIYA Y, CVETANOVIC R J. Study of metal catalysts by temperature programmed desorption: Ⅰ. Chemisorption of ethylene on silica-supported platinum[J]. J Catal, 1969,15(3):293-300.

    19. [19]

      LIN H Q, QU H Y, CHEN W K, XU K, ZHENG J W, DUAN X P, ZHAI H S, YUAN Y Z. Promoted chemoselective crotonaldehyde hydrogenation on zirconia-doped SiO2 supported Ag catalysts:Interfacial catalysis over ternary Ag-ZrO2-SiO2 interfaces[J]. J Catal, 2019,372(4):19-32.

    20. [20]

      YAMASHITA T, HAYES P. Analysis of XPS spectra of Fe2+ and Fe3+ ions in oxide materials[J]. Appl Surf Sci, 2008,254(8):2441-2449. doi: 10.1016/j.apsusc.2007.09.063

    21. [21]

      WACHS I E, DWYER D J, IGLESIA E. Characterization of Fe, Fe-Cu, and Fe-Ag Fischer-Tropsch catalysts[J]. Appl Catal, 1984,12(2):201-217.

    22. [22]

      XU J, BARTHOLOMEW C H, SUDWEEKS J, EGGET D L. Design, synthesis, and catalytic properties of silica-supported, Pt-promoted iron Fischer-Tropsch catalysts[J]. Top Catal, 2003,26(1/4):55-71.  

    23. [23]

      ZHANG C H, YANG Y, TENG B T, LI T Z, XIANG H W, LI Y W. Study of an iron-manganese Fischer-Tropsch synthesis catalyst promoted with copper[J]. J Catal, 2006,237(2):405-415.

    24. [24]

      HARKNESS R W, EMMETT P H. Two types of activated adsorption of hydrogen on the surface of a promoted iron synthetic ammonia catalyst[J]. J Am Chem Soc, 1934,56(2):490-491.

    25. [25]

      WALCH S P. Model studies of the interaction of H atoms with BCC iron[J]. Surf Sci, 1984,143(1):188-203. doi: 10.1016/0039-6028(84)90418-7

    26. [26]

      BLYHOLDER G, NEFF L D. Infrared study of the interaction of carbon monoxide and hydrogen on silica-supported iron[J]. J Phys Chem, 1962,66(9):1664-1667. doi: 10.1021/j100815a024

    27. [27]

      WANG T, WANG S G, LUO Q Q, LI Y W, WANG J G, BELLER M, JIAO H J. Hydrogen adsorption structures and energetics on iron surfaces at high coverage[J]. J Phys Chem C, 2014,118(8):4181-4188. doi: 10.1021/jp410635z

    28. [28]

      ROFER-DEPOORTER C K. A comprehensive mechanism for the Fischer-Tropsch synthesis[J]. Chem Rev, 1981,81(5):447-474. doi: 10.1021/cr00045a002

    29. [29]

      MUETTERTIES E L, STEIN J. Mechanistic features of catalytic carbon monoxide hydrogenation reactions[J]. Chem Rev, 1979,79(6):479-490. doi: 10.1021/cr60322a001

  • 加载中
    1. [1]

      Zhiquan ZhangBaker RhimiZheyang LiuMin ZhouGuowei DengWei WeiLiang MaoHuaming LiZhifeng Jiang . Insights into the Development of Copper-Based Photocatalysts for CO2 Conversion. Acta Physico-Chimica Sinica, 2024, 40(12): 2406029-0. doi: 10.3866/PKU.WHXB202406029

    2. [2]

      Hailang JIAPengcheng JIHongcheng LI . Preparation and performance of nickel doped ruthenium dioxide electrocatalyst for oxygen evolution. Chinese Journal of Inorganic Chemistry, 2025, 41(8): 1632-1640. doi: 10.11862/CJIC.20240398

    3. [3]

      Jiayi Yang Jianxiu Hao Huacong Zhou Quansheng Liu . “Gorgeous Transformation” of Carbon Dioxide into Cyclic Carbonates: Catalyst Types and Roles. University Chemistry, 2026, 41(2): 178-189. doi: 10.12461/PKU.DXHX202502105

    4. [4]

      Bing WEIJianfan ZHANGZhe CHEN . Research progress in fine tuning of bimetallic nanocatalysts for electrocatalytic carbon dioxide reduction. Chinese Journal of Inorganic Chemistry, 2025, 41(3): 425-439. doi: 10.11862/CJIC.20240201

    5. [5]

      Huiwei DingBo PengZhihao WangQiaofeng Han . Advances in Metal or Nonmetal Modification of Bismuth-Based Photocatalysts. Acta Physico-Chimica Sinica, 2024, 40(4): 2305048-0. doi: 10.3866/PKU.WHXB202305048

    6. [6]

      Qin′ai FENGJianjun LILili ZHANGLinxin WUHuiling WANGWenjing HOULei WANGMingjie REN . Amphiphilic surface modification of magnetic adsorbents and its adsorption properties of two microplastics. Chinese Journal of Inorganic Chemistry, 2026, 42(4): 789-807. doi: 10.11862/CJIC.20250208

    7. [7]

      Wang WangYucheng LiuShengli Chen . Use of NiFe Layered Double Hydroxide as Electrocatalyst in Oxygen Evolution Reaction: Catalytic Mechanisms, Electrode Design, and Durability. Acta Physico-Chimica Sinica, 2024, 40(2): 2303059-0. doi: 10.3866/PKU.WHXB202303059

    8. [8]

      Jichao XUMing HUXichang CHENChunhui WANGLeichen WANGLingyi ZHOUXing HEXiamin CHENGSu JING . Construction and hydrogen peroxide-activated chemodynamic activity of ferrocene?benzoselenadiazole conjugate. Chinese Journal of Inorganic Chemistry, 2025, 41(8): 1495-1504. doi: 10.11862/CJIC.20250144

    9. [9]

      Chao WUQingxiu SHITao XUZhengxi PENGZhongping XIONGYinglin ZHANGYujun SIChaozhong GUO . Enhancement of oxygen reduction reaction performance of iron-nitrogen doped carbon based catalysts by sodium carboxymethyl cellulose pre-deoxygenation. Chinese Journal of Inorganic Chemistry, 2026, 42(4): 737-746. doi: 10.11862/CJIC.20250305

    10. [10]

      Haiqiang Lin Weizheng Weng Jingdong Lin Mingshu Chen Xueming Fang Lefu Yang . Diverse Variables-Driven Catalytic Optimization: Experimental Enhancement and Instructional Design for Selective Methane Oxidation on Supported Nickel-based Catalysts. University Chemistry, 2025, 40(11): 327-336. doi: 10.12461/PKU.DXHX202505106

    11. [11]

      Ruifeng CHENChao XUJianting JIANGTianshe YANG . Gold nanorod/zinc oxide/mesoporous silica nanoplatform: A triple-modal platform for synergistic anticancer therapy. Chinese Journal of Inorganic Chemistry, 2025, 41(11): 2272-2282. doi: 10.11862/CJIC.20250117

    12. [12]

      Linlin Wu Yonghua Zhou Zhongbei Li Liu Deng Younian Liu Limiao Chen Jianhan Huang . Digital Education Promoting Applied Chemistry Comprehensive Experiments: A Case Study of Catalytic Oxidation of Hydrogen Chloride and Reaction Kinetics. University Chemistry, 2025, 40(9): 273-278. doi: 10.12461/PKU.DXHX202411018

    13. [13]

      Xinyu XuJiale LuBo SuJiayi ChenXiong ChenSibo Wang . Steering charge dynamics and surface reactivity for photocatalytic selective methane oxidation to ethane over Au/Ti-CeO2. Acta Physico-Chimica Sinica, 2025, 41(11): 100153-0. doi: 10.1016/j.actphy.2025.100153

    14. [14]

      Xuejie WangGuoqing CuiCongkai WangYang YangGuiyuan JiangChunming Xu . Research Progress on Carbon-based Catalysts for Catalytic Dehydrogenation of Liquid Organic Hydrogen Carriers. Acta Physico-Chimica Sinica, 2025, 41(5): 100044-0. doi: 10.1016/j.actphy.2024.100044

    15. [15]

      Feifei YangWei ZhouChaoran YangTianyu ZhangYanqiang Huang . Enhanced Methanol Selectivity in CO2 Hydrogenation by Decoration of K on MoS2 Catalyst. Acta Physico-Chimica Sinica, 2024, 40(7): 2308017-0. doi: 10.3866/PKU.WHXB202308017

    16. [16]

      Dan Li Hui Xin Xiaofeng Yi . Comprehensive Experimental Design on Ni-based Catalyst for Biofuel Production. University Chemistry, 2024, 39(8): 204-211. doi: 10.3866/PKU.DXHX202312046

    17. [17]

      Yushan CaiFang-Xing Xiao . Revisiting MXenes-based Photocatalysis Landscape: Progress, Challenges, and Future Perspectives. Acta Physico-Chimica Sinica, 2024, 40(8): 2306048-0. doi: 10.3866/PKU.WHXB202306048

    18. [18]

      Yuanyin CuiJinfeng ZhangHailiang ChuLixian SunKai Dai . Rational Design of Bismuth Based Photocatalysts for Solar Energy Conversion. Acta Physico-Chimica Sinica, 2024, 40(12): 2405016-0. doi: 10.3866/PKU.WHXB202405016

    19. [19]

      Xue LiuLipeng WangLuling LiKai WangWenju LiuBiao HuDaofan CaoFenghao JiangJunguo LiKe Liu . Research on Cu-Based and Pt-Based Catalysts for Hydrogen Production through Methanol Steam Reforming. Acta Physico-Chimica Sinica, 2025, 41(5): 100049-0. doi: 10.1016/j.actphy.2025.100049

    20. [20]

      Juntao YanLiang Wei . 2D S-Scheme Heterojunction Photocatalyst. Acta Physico-Chimica Sinica, 2024, 40(10): 2312024-0. doi: 10.3866/PKU.WHXB202312024

Metrics
  • PDF Downloads(3)
  • Abstract views(1265)
  • HTML views(144)

通讯作者: 陈斌, bchen63@163.com
  • 1. 

    沈阳化工大学材料科学与工程学院 沈阳 110142

  1. 本站搜索
  2. 百度学术搜索
  3. 万方数据库搜索
  4. CNKI搜索
Address:Zhongguancun North First Street 2,100190 Beijing, PR China Tel: +86-010-82449177-888
Powered By info@rhhz.net

/

DownLoad:  Full-Size Img  PowerPoint
Return