Citation: JIN Ya-mei, DONG Mei, WANG Guo-fu, WANG Hao, LI Jun-fen, FAN Wei-bin, WANG Jian-guo, QIN Zhang-feng. Synthesis of Silicalite-1 hollow sphere catalyst and its application for Beckmann rearrangement reaction[J]. Journal of Fuel Chemistry and Technology, ;2016, 44(8): 1001-1009. shu

Synthesis of Silicalite-1 hollow sphere catalyst and its application for Beckmann rearrangement reaction

Figures(10)

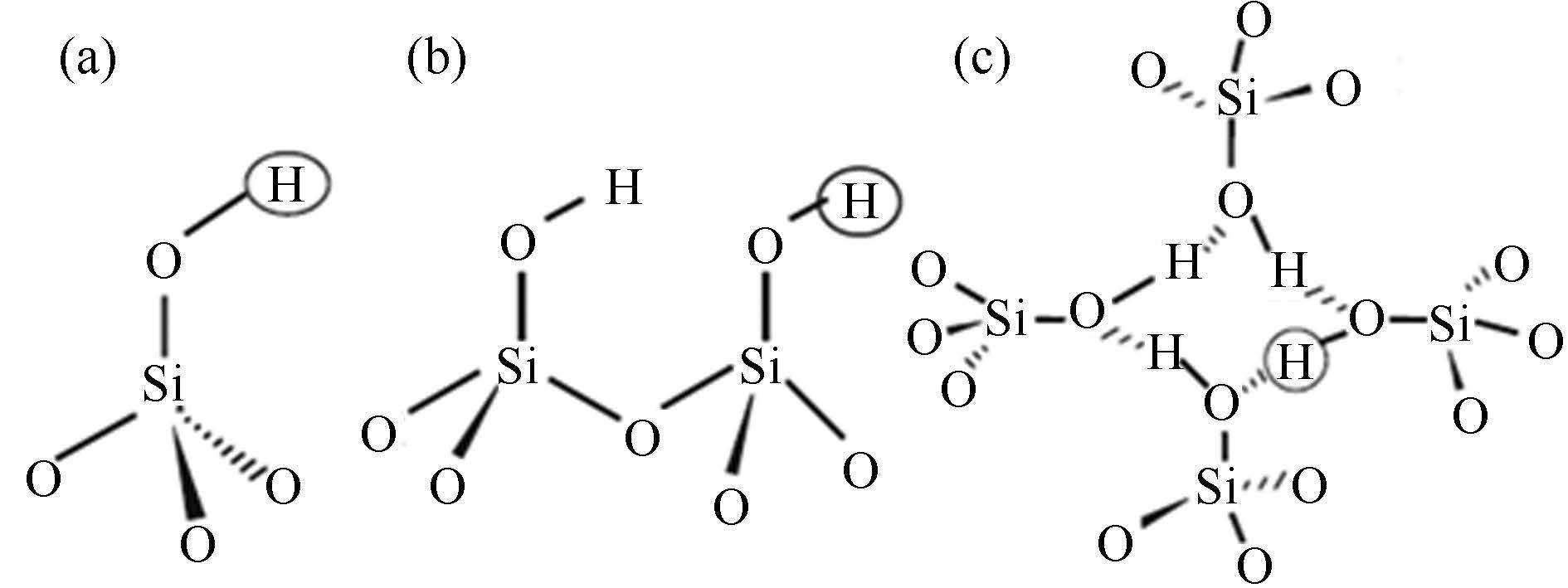
  • Silicalite-1 zeolite hollow sphere structured material was hydrothermally synthesized via the aid of carbon microspheres as hard-template. The morphology, structure, textural and physicochemical properties of the material were characterized with XRD, SEM, FT-IR, N2 adsorption-desorption isotherm, 29Si MAS NMR, TG, and XPS techniques. It was suggested that the obtained Silicalite-1 hollow spheres were highly crystallized with developed multiple channel structure and abundant surface hydroxyl groups, which endowed the material with excellent catalytic properties in Beckmann rearrangement reaction of cyclohexanone-oxime. Compared with the Silicalite-1 catalyst prepared from conventional method, the Silicalite-1 hollow sphere catalyst showed much higher activity to the conversion of cyclohexanone-oxime (99%) and selectivity of caprolactam (94%), with excellent stability at the same time. The abundant nest silanols and terminal silanols in Silicalite-1 hollow sphere were main active sites for Beckmann rearrangement reaction, and could be easily recovered from the deactivated catalysts by calcination.
  • 加载中
    1. [1]

      LI Y, SHI J. Hollow-structured mesoporous materials:Chemical synthesis, functionalization and applications[J]. Adv Mater, 2014,26(20):3176-3205. doi: 10.1002/adma.v26.20

    2. [2]

      FUJI M, TAKAI C, RIVERA VIRTUDAZO R V. Development of new templating approach for hollow nanoparticles and their applications[J]. Adv Powder Technol, 2014,25(1):91-100. doi: 10.1016/j.apt.2013.12.002

    3. [3]

      OKAMOTO M. Synthesis of core-shell structured porous materials and applications as catalysts and precursors for hollow porous materials[J]. Bull Jpn Petro Inst, 2013,56(4):198-205. doi: 10.1627/jpi.56.198

    4. [4]

      JIN Wei-yang, CHENG Dang-guo, CHEN Feng-qiu, ZHAN Xiao-li. Synthesis and application of zeolite membrane encapsulated catalysts[J]. Prog Chem, 2011,23(10):2021-2030.  

    5. [5]

      WANG X D, TANG Y, WANG Y J, GAO Z, YANG W L, FU S K. Fabrication of hollow zeolite spheres[J]. Chem Commun, 2000,21:2161-2162.  

    6. [6]

      LAI Z, BONILLA G, DIAZ I, NERY J G, SUJAOTI K, AMAT M A, KOKKOLI E, TERASAKI O, THOMPSON R W, TSAPATSIS M, VLACHOS D G. Microstructural optimization of a zeolite membrane for organic vapor separation[J]. Science, 2003,300(5618):456-460.

    7. [7]

      YU G, SUN B, PEI Y, XIE S, YAN S, QIAO M, FAN K, ZHANG X, ZONG B. FexOy@C spheres as an excellent catalyst for Fischer-Tropsch synthesis[J]. J Am Chem Soc, 2010,132(3):935-937. doi: 10.1021/ja906370b

    8. [8]

      KHAN E A, HU E, LAI Z. Preparation of metal oxide/zeolite core-shell nanostructures[J]. Microporous Mesoporous Mater, 2009,118(1/3):210-217.

    9. [9]

      WANG X D, ZHANG B Q, LIU X F, LIN J Y S. Synthesis of b-oriented TS-1 films on chitosan-modifiedα-Al2O3 substrates[J]. Adv Mater, 2006,18(24):3261-3265. doi: 10.1002/(ISSN)1521-4095

    10. [10]

      WANG X, YAN J, HUANG W. Synthesis of b-oriented TS-1 zeolite membranes with high performance in the oxyfunctionalization of n-hexane[J]. Thin Solid Films, 2013,534:40-44. doi: 10.1016/j.tsf.2013.01.075

    11. [11]

      PENG H, XU L, WU H, WANG Z, LIU Y, LI X, HE M, WU P. Synthesis and formation mechanism of TS-1@mesosilica core-shell materials templated by triblock copolymer surfactant[J]. Microporous Mesoporous Mater, 2012,153:8-17. doi: 10.1016/j.micromeso.2011.11.055

    12. [12]

      CHU N, WANG J, ZHANG Y, YANG J, LU J, YIN D. Nestlike hollow hierarchical MCM-22 microspheres:Synthesis and exceptional catalytic properties[J]. Chem Mater, 2010,22(9):2757-2763. doi: 10.1021/cm903645p

    13. [13]

      GARCÍA-MARTÍNEZ J, CAZORLA-AMORÓ S D, LINARES-SOLANO A, LIN Y S. Synthesis and characterisation of MFI-type zeolites supported on carbon materials[J]. Microporous Mesoporous Mater, 2001,42(2/3):255-268.

    14. [14]

      VALTCHEV V, MINTOVA S. Layer-by-layer preparation of zeolite coatings of nanosized crystals[J]. Microporous Mesoporous Mater, 2001,43(1):41-49. doi: 10.1016/S1387-1811(00)00345-0

    15. [15]

      CARUSO F, CARUSO R A, MOHWALD H. Nanoengineering of inorganic and hybrid hollow spheres by colloidal templating[J]. Science, 1998,282(5391):1111-1114. doi: 10.1126/science.282.5391.1111

    16. [16]

      VALTCHEV V. Silicalite-1 hollow spheres and bodies with a regular system of macrocavities[J]. Chem Mater, 2002,14(10):4371-4377. doi: 10.1021/cm020579v

    17. [17]

      VALTCHEV V. Core-shell polystyrene/zeolite a microbeads[J]. Chem Mater, 2002,14(3):956-958. doi: 10.1021/cm010927d

    18. [18]

      JI Y J, ZHANG B, XU L, WU H, PENG H, CHEN L, LIU Y, WU P. Core/shell-structured Al-MWW@B-MWW zeolites for shape-selective toluene disproportionation to para-xylene[J]. J Catal, 2011,283(2):168-177. doi: 10.1016/j.jcat.2011.08.007

    19. [19]

      LV Y, QIAN X, TU B, ZHAO D. Generalized synthesis of core-shell structured nano-zeolite@ordered mesoporous silica composites[J]. Catal Today, 2013,204:2-7. doi: 10.1016/j.cattod.2012.09.031

    20. [20]

      CHAMNANKID B, WITOON T, KONGKACHUICHAY P, CHAREONPANICH M. One-pot synthesis of core-shell silica-aluminosilicate composites:Effect of pH and chitosan addition[J]. Colloids Surf A, 2011,380(1/3):319-326.

    21. [21]

      DONG A, WANG Y, TANG Y, REN N, ZHANG Y, GAO Z. Hollow zeolite capsules:A novel approach for fabrication and guest encapsulation[J]. Chem Mater, 2002,14(8):3217-3219. doi: 10.1021/cm025577p

    22. [22]

      KIM J, PARK W, RYOO R. Surfactant-directed zeolite nanosheets:A high-performance catalyst for gas-phase beckmann rearrangement[J]. ACS Catal, 2011,1(4):337-341. doi: 10.1021/cs100160g

    23. [23]

      TAKAHASHI T, NISHI M, TAGAWA Y, KAI T. Catalyst deactivation of high-silica HZSM-5 in the Beckmann rearrangement reaction of cyclohexanone oxime[J]. Microporous Mater, 1995,3(s 4/5):467-471.

    24. [24]

      KUMAR R, CHOWDHURY B. Comprehensive study for vapor phase beckmann rearrangement reaction over zeolite systems[J]. Ind Eng Chem Res, 2014,53(43):16587-16599. doi: 10.1021/ie503170n

    25. [25]

      LI Qian, YAN Luo-yi, XIA Ding, SHEN Yong-cun. Research progress of Beckmann rearrangement[J]. Chin J Org Chem, 2011,31(12):2034-2042.  

    26. [26]

      LI W C, LU A H, PALKOVITS R, SCHMIDT W, SPLIETHOFF B, SCHVTH F. Hierarchically structured monolithic silicalite-1 consisting of crystallized nanoparticles and its performance in the beckmann rearrangement of cyclohexanone oxime[J]. J Am Chem Soc, 2005,127(36):12595-12600. doi: 10.1021/ja052693v

    27. [27]

      HEITMANN G P, DAHLHOFF G, HOLDERICH W F. Catalytically active sites for the beckmann rearrangement of cyclohexanone oxime to epsilon-caprolactam[J]. J Catal, 1999,186(1):12-19. doi: 10.1006/jcat.1999.2552

    28. [28]

      YIN C, NI R, BAO X, CHEN Y. Synthesis of hierarchical porous silicalite-1 and its catalytic performance in Beckmann rearrangement[J]. Microporous Mesoporous Mater, 2015,202:133-137. doi: 10.1016/j.micromeso.2014.08.047

    29. [29]

      SONG H, XING C, LI B, SHEN W. Spherical carbon with SO3H groups as an efficient solid acid catalyst for 2, 4, 5-triphenyl-imidazole synthesis[J]. Chem Select, 2016,1(2):301-308.

    30. [30]

      BERENGUER-MURCIAÁ , GARCÍA-MARTÍNEZ J, CAZORLA-AMORÓ S D, LINARES-SOLANO Á, FUERTES A B. Silicalite-1 membranes supported on porous carbon discs[J]. Microporous Mesoporous Mater, 2003,59(2/3):147-159.

    31. [31]

      LI Q, HEDLUND J, STERTE J, CREASER D, BONS A J. Synthesis and characterization of zoned MFI films by seeded growth[J]. Microporous Mesoporous Mater, 2002,56(3):291-302. doi: 10.1016/S1387-1811(02)00503-6

    32. [32]

      KULKARNI S B S V P, KOTASTHANE A N BORADE R B, RATNASAMY P. Studies in the synthesis of ZSM-5 zeolites[J]. Zeolites, 1982,2(4):313-318. doi: 10.1016/S0144-2449(82)80077-8

    33. [33]

      SUGIMOTO M K H, TAKATSU K, KAWATA N. Correlation between the crystal size and catalytic properties of ZSM-5 zeolite[J]. Zeolites, 1987,7(6):503-507. doi: 10.1016/0144-2449(87)90087-X

    34. [34]

      OUTIRITE M, LAGRENÉE M, LEBRINI M, TRAISNEL M, JAMA C, VEZIN H, BENTISS F. Ac impedance, X-ray photoelectron spectroscopy and density functional theory studies of 3, 5-bis (n-pyridyl)-1, 2, 4-oxadiazoles as efficient corrosion inhibitors for carbon steel surface in hydrochloric acid solution[J]. Electrochim Acta, 2010,55(5):1670-1681. doi: 10.1016/j.electacta.2009.10.048

    35. [35]

      BOUMHARA K, TABYAOUI M, JAMA C, BENTISS F. Artemisia Mesatlantica essential oil as green inhibitor for carbon steel corrosion in 1M HCl solution:Electrochemical and XPS investigations[J]. J Ind Eng Chem, 2015,29:146-155. doi: 10.1016/j.jiec.2015.03.028

    36. [36]

      HUNGER M, KÄRGER J, PFEIFER H, CARO J, ZIBROWIUS B, BVLOW M, MOSTOWICZ R. Investigation of internal silanol groups as structural defects in ZSM-5-type zeolites[J]. J Chem Soc Faraday Trans, 1987,83(1):3459-3468.

    37. [37]

      KUHN J, MOTEGH M, GROSS J, KAPTEIJN F. Detemplation of[B]MFI zeolite crystals by ozonication[J]. Microporous Mesoporous Mater, 2009,120(1/2):35-38.

    38. [38]

      YAMAGISHI K, NAMBA S, YASHIMA T. Defect sites in highly siliceous HZSM-5 zeolites:A study performed by alumination and IR spectroscopy[J]. J Phy Chem, 1991,95(2):872-877. doi: 10.1021/j100155a071

    39. [39]

      BARBERA K, BONINO F, BORDIGA S, JANSSENS T V W, BEATO P. Structure-deactivation relationship for ZSM-5 catalysts governed by framework defects[J]. J Catal, 2011,280(2):196-205. doi: 10.1016/j.jcat.2011.03.016

    40. [40]

      VASCHETTO E G, CASUSCELLI S G, EIMER G A. Improvements in the Beckmann rearrangement process by using highly selective mesoporous catalysts[J]. Microporous Mesoporous Mater, 2016,221:175-181. doi: 10.1016/j.micromeso.2015.09.038

    41. [41]

      IZUMI Y, ICHIHASHI H, SHIMAZU Y, KITAMURA M, SATO H. Development and industrialization of the vapor-phase beckmann rearrangement process[J]. Bull Chem Soc Jpn, 2007,80(7):1280-1287. doi: 10.1246/bcsj.80.1280

    42. [42]

      ICHIHASHI H, SATO H. The development of new heterogeneous catalytic processes for the production of ε-caprolactam[J]. Appl Catal A:Gen, 2001,221(1/2):359-366.

    43. [43]

      SINGH P S, BANDYOPADHYAY R, HEGDE S G, RAO B S. Vapor phase Beckmann rearrangement of cyclohexanone oxime over SAPO-11 molecular sieve[J]. Appl Catal A:Gen, 1996,136:249-263. doi: 10.1016/0926-860X(95)00303-7

    44. [44]

      RÖSELER J, HEITMANN G, HÖLDERICH W F. Vapor-phase Beckmann using B-MFI zeolites[J]. Appl Catal A:Gen, 1996,144:319-333. doi: 10.1016/0926-860X(96)00127-5

    45. [45]

      KO A N, HUNG C C, CHEN C W, OUYANG K H. Mesoporous molecular sieve Al-MCM-41 as a novel catalyst for vapor-phase Beckmann rearrangement of cyclohexanone oxime[J]. Catal Lett, 2001,71(3/4):219-224. doi: 10.1023/A:1009038701442

    46. [46]

      KELEMEN S R, M.AFEWORKI A, GORBATY M L, COHEN A D. Characterization of organically bound oxygen forms in lignites, peats, and pyrolyzed peats by X-ray photoelectron spectroscopy (XPS) and solid-state 13C NMR methods[J]. Energy Fuels, 2002,16(6):1450-1462. doi: 10.1021/ef020050k

  • 加载中
    1. [1]

      Jiabo Huang Quanxin Li Zhongyan Cao Li Dang Shaofei Ni . Elucidating the Mechanism of Beckmann Rearrangement Reaction Using Quantum Chemical Calculations. University Chemistry, 2025, 40(3): 153-159. doi: 10.12461/PKU.DXHX202405172

    2. [2]

      Yongqing Kuang Jie Liu Jianjun Feng Wen Yang Shuanglian Cai Ling Shi . Experimental Design for the Two-Step Synthesis of Paracetamol from 4-Hydroxyacetophenone. University Chemistry, 2024, 39(8): 331-337. doi: 10.12461/PKU.DXHX202403012

    3. [3]

      Zhuo WangXue BaiKexin ZhangHongzhi WangJiabao DongYuan GaoBin Zhao . MOF-Templated Synthesis of Nitrogen-Doped Carbon for Enhanced Electrochemical Sodium Ion Storage and Removal. Acta Physico-Chimica Sinica, 2025, 41(3): 100026-0. doi: 10.3866/PKU.WHXB202405002

    4. [4]

      Xue XiaoJiachun LiXiangtong MengJieshan Qiu . Sulfur-Doped Carbon-Coated Fe0.95S1.05 Nanospheres as Anodes for High-Performance Sodium Storage. Acta Physico-Chimica Sinica, 2024, 40(6): 2307006-0. doi: 10.3866/PKU.WHXB202307006

    5. [5]

      Zhicheng JUWenxuan FUBaoyan WANGAo LUOJiangmin JIANGYueli SHIYongli CUI . MOF-derived nickel-cobalt bimetallic sulfide microspheres coated by carbon: Preparation and long cycling performance for sodium storage. Chinese Journal of Inorganic Chemistry, 2025, 41(4): 661-674. doi: 10.11862/CJIC.20240363

    6. [6]

      Tong WANGQinyue ZHONGQiong HUANGWeimin GUOXinmei LIU . Mn-doped carbon quantum dots/Fe-doped ZnO flower-like microspheres heterojunction: Construction and photocatalytic performance. Chinese Journal of Inorganic Chemistry, 2025, 41(8): 1589-1600. doi: 10.11862/CJIC.20250011

    7. [7]

      Guimin ZHANGWenjuan MAWenqiang DINGZhengyi FU . Synthesis and catalytic properties of hollow AgPd bimetallic nanospheres. Chinese Journal of Inorganic Chemistry, 2024, 40(5): 963-971. doi: 10.11862/CJIC.20230293

    8. [8]

      Kun JIANGYutong XUEKelin LIUMiao WANGTongming SUNYanfeng TANG . CeVO4 hollow microspheres: Fabrication and adsorption performance for dyes. Chinese Journal of Inorganic Chemistry, 2025, 41(11): 2229-2236. doi: 10.11862/CJIC.20250223

    9. [9]

      Xiaojun LiuLang QinYanlei Yu . Dynamic Manipulation of Photonic Bandgaps in Cholesteric Liquid Crystal Microdroplets for Applications. Acta Physico-Chimica Sinica, 2024, 40(5): 2305018-0. doi: 10.3866/PKU.WHXB202305018

    10. [10]

      Sumiya Akter DristyMd Ahasan HabibShusen LinMehedi Hasan JoniRutuja MandavkarYoung-Uk ChungMd NajibullahJihoon Lee . Exploring Zn doped NiBP microspheres as efficient and stable electrocatalyst for industrial-scale water splitting. Acta Physico-Chimica Sinica, 2025, 41(7): 100079-0. doi: 10.1016/j.actphy.2025.100079

    11. [11]

      Liuyun ChenWenju WangTairong LuXuan LuoXinling XieKelin HuangShanli QinTongming SuZuzeng QinHongbing Ji . Soft template-induced deep pore structure of Cu/Al2O3 for promoting plasma-catalyzed CO2 hydrogenation to DME. Acta Physico-Chimica Sinica, 2025, 41(6): 100054-0. doi: 10.1016/j.actphy.2025.100054

    12. [12]

      Jiaxing CaiWendi XuHaoqiang ChiQian LiuWa GaoLi ShiJingxiang LowZhigang ZouYong Zhou . Highly Efficient InOOH/ZnIn2S4 Hollow Sphere S-Scheme Heterojunction with 0D/2D Interface for Enhancing Photocatalytic CO2 Conversion. Acta Physico-Chimica Sinica, 2024, 40(11): 2407002-0. doi: 10.3866/PKU.WHXB202407002

    13. [13]

      Xiutao XuChunfeng ShaoJinfeng ZhangZhongliao WangKai Dai . Rational Design of S-Scheme CeO2/Bi2MoO6 Microsphere Heterojunction for Efficient Photocatalytic CO2 Reduction. Acta Physico-Chimica Sinica, 2024, 40(10): 2309031-0. doi: 10.3866/PKU.WHXB202309031

    14. [14]

      Chengyan GeJiawei HuXingyu LiuYuxi SongChao LiuZhigang Zou . Self-integrated black NiO clusters with ZnIn2S4 microspheres for photothermal-assisted hydrogen evolution by S-scheme electron transfer mechanism. Acta Physico-Chimica Sinica, 2026, 42(1): 100154-0. doi: 10.1016/j.actphy.2025.100154

    15. [15]

      Feifan ZhaoFeiyan XuJiaguo Yu . Interfacial stabilization of alkali metal oxides on carbon spheres for high-performance CO2 chemisorption. Acta Physico-Chimica Sinica, 2026, 42(5): 100234-0. doi: 10.1016/j.actphy.2025.100234

    16. [16]

      Chunhui GaoLurong LiGuanwei PengJinni ShenWenxin DaiZizhong Zhang . Efficient photocatalytic NADH regeneration and enzymatic CO2 reduction over[Cp*Rh(bpy)H2O]2+ self-assembled CdIn2S4 flower-like microspheres. Acta Physico-Chimica Sinica, 2026, 42(3): 100165-0. doi: 10.1016/j.actphy.2025.100165

    17. [17]

      Qi LiPingan LiZetong LiuJiahui ZhangHao ZhangWeilai YuXianluo Hu . Fabricating Micro/Nanostructured Separators and Electrode Materials by Coaxial Electrospinning for Lithium-Ion Batteries: From Fundamentals to Applications. Acta Physico-Chimica Sinica, 2024, 40(10): 2311030-0. doi: 10.3866/PKU.WHXB202311030

    18. [18]

      Shuting Zhuang Lida Zhao . Teaching through Research: A Comprehensive Experiment on Carbon Quantum Dots from Microplastic Waste. University Chemistry, 2025, 40(10): 217-224. doi: 10.12461/PKU.DXHX202412010

    19. [19]

      Tongyan Yu Pan Xu . Visible-Light Photocatalyzed Radical Rearrangement Reaction. University Chemistry, 2025, 40(7): 169-176. doi: 10.12461/PKU.DXHX202409070

    20. [20]

      Xiangyu CAOJiaying ZHANGYun FENGLinkun SHENXiuling ZHANGJuanzhi YAN . Synthesis and electrochemical properties of bimetallic-doped porous carbon cathode material. Chinese Journal of Inorganic Chemistry, 2025, 41(3): 509-520. doi: 10.11862/CJIC.20240270

Metrics
  • PDF Downloads(9)
  • Abstract views(2782)
  • HTML views(683)

通讯作者: 陈斌, bchen63@163.com
  • 1. 

    沈阳化工大学材料科学与工程学院 沈阳 110142

  1. 本站搜索
  2. 百度学术搜索
  3. 万方数据库搜索
  4. CNKI搜索
Address:Zhongguancun North First Street 2,100190 Beijing, PR China Tel: +86-010-82449177-888
Powered By info@rhhz.net

/

DownLoad:  Full-Size Img  PowerPoint
Return