Citation: CHEN Jun-hao, LU Liang, WANG Shu-rong. Mild hydrogenation of simulated bio-oil based on molecular distillation[J]. Journal of Fuel Chemistry and Technology, ;2017, 45(9): 1056-1063. shu

Mild hydrogenation of simulated bio-oil based on molecular distillation

  • Corresponding author: WANG Shu-rong, zzk@zjut.edu.cn
  • Received Date: 3 May 2017
    Revised Date: 11 June 2017

    Fund Project: National Natural Science Foundation of China 51476142National Basic Research Program of China 973 Program, 2013CB228101National Science and Technology Supporting Plan Through Contract 2015BAD15B06The project was supported by the National Science and Technology Supporting Plan Through Contract (2015BAD15B06), the National Natural Science Foundation of China (51476142) and the National Basic Research Program of China (973 Program, 2013CB228101)

Figures(6)

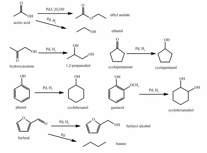
  • A mild hydrogenation of simulated bio-oil was carried out in a fixed-bed reactor. Based on the experimental results, 300℃/4 MPa was chosen as an optimum condition for the mild hydrogenation, the simulated bio-oil was nearly completely converted. Besides, the liquid product selectivity achieved 85.0% and its (H/C)eff was significantly promoted from 1.266 to 1.554. The liquid composition was greatly improved and a notable decrease of phenols and acids contents was observed. In this case, the product activity was significantly enhanced and then the subsequent catalytic cracking was favored.
  • 加载中
    1. [1]

      CZERNIK S, BRIDGWATER A V. Overview of applications of biomass fast pyrolysis oil[J]. Energy Fuels, 2004,18(2):590-598. doi: 10.1021/ef034067u

    2. [2]

      WANG Qi, LIU Qian, HE Bo, WANG Shu-rong, LUO Zhong-yang, CEN Ke-fa. Experimental research on biomass flash pyrolysis for bio-oil in a fluidized bed reactor[J]. J Eng Thermophys, 2008,29(5):885-888.  

    3. [3]

      ZHANG Q, CHANG J, WANG T J, XU Y. Review of biomass pyrolysis oil properties and upgrading research[J]. Energy Convers Manage, 2007,48(1):87-92. doi: 10.1016/j.enconman.2006.05.010

    4. [4]

      XIU S, SHAHBAZI A. Bio-oil production and upgrading research:A review[J]. Renewable Sustainable Energy Rev, 2012,16(7):4406-4414. doi: 10.1016/j.rser.2012.04.028

    5. [5]

      GUO Xiao-ya, YAN Yong-jie. Catalytic cracking of biomass fast pyrolysis oil[J]. Chem React Eng Technol, 2005,21(3):227-233.  

    6. [6]

      CHEN Jiao-jiao, CHEN Guan-yi, MA Wen-chao, MA Long-long, WANG Tie-jun, ZHANG Qi, LÜ Wei. Experimental study of aromatics production from catalytic cracking of bio-oil model compounds[J]. J Fuel Chem Technol, 2013,41(2):183-188.  

    7. [7]

      GAYUBO A G, AGUAYO A T, ATUTXA A, AGUADO R, BILBAO J. Transformation of oxygenate components of biomass pyrolysis oil on a HZSM-5 zeolite. I. Alcohols and phenols[J]. Ind Eng Chem Res, 2004,43(11):2610-2618. doi: 10.1021/ie030791o

    8. [8]

      GAYUBO A G, AGUAYO A T, ATUTXA A, AGUADO R, OLAZAR M, BILBAO J. Transformation of oxygenate components of biomass pyrolysis oil on a HZSM-5 zeolite.Ⅱ. Aldehydes, ketones, and acids[J]. Ind Eng Chem Res, 2004,43(11):2619-2626. doi: 10.1021/ie030792g

    9. [9]

      CARLSON T R, JAE J, LIN Y C, TOMPSETT G A, HUBER G W. Catalytic fast pyrolysis of glucose with HZSM-5:The combined homogeneous and heterogeneous reactions[J]. J Catal, 2010,270(1):110-124. doi: 10.1016/j.jcat.2009.12.013

    10. [10]

      WANG Yu-rong, WANG Shu-rong, WANG Xiang-yu, GUO Zuo-gang. Molecular distillation separation characteristic of bio-oil under different pressures[J]. J Fuel Chem Technol, 2013,41(2):177-182.  

    11. [11]

      GUO Z G, WANG S R, GU Y L, XU G H, LI X, LUO Z Y. Separation characteristics of biomass pyrolysis oil in molecular distillation[J]. Sep Purif Technol, 2010,76(1):52-57. doi: 10.1016/j.seppur.2010.09.019

    12. [12]

      MENTZEL U V, HOLM M S. Utilization of biomass:Conversion of model compounds to hydrocarbons over zeolite H-ZSM-5[J]. Appl Catal A, 2011,396(1/2):59-67.  

    13. [13]

      WANG S R, CAI Q J, WANG X Y, ZHANG L, WANG Y R, LUO Z Y. Biogasoline production from the Co-cracking of the distilled fraction of bio-oil and ethanol[J]. Energy Fuels, 2014,28(1):115-122. doi: 10.1021/ef4012615

    14. [14]

      WANG S R, CAI Q J, WANG X Y, ZHANG L, WANG Y R, LUO Z Y. Biogasoline production by co-cracking of model compound mixture of bio-oil and ethanol over HSZM-5[J]. Chin J Catal, 2014,35(5):709-722. doi: 10.1016/S1872-2067(14)60046-2

    15. [15]

      WANG S R, CAI Q J, CHEN J H, ZHANG L, WANG X Y, YU C J. Green aromatic hydrocarbon production from cocracking of a bio-oil model compound mixture and ethanol over Ga2O3/HZSM-5[J]. Ind Eng Chem Res, 2014,53(36):13935-13944. doi: 10.1021/ie5024029

    16. [16]

      WANG S R, CAI Q J, CHEN J H, ZHANG L, ZHU L J, LUO Z Y. Co-cracking of bio-oil model compound mixtures and ethanol over different metal oxide-modified HZSM-5 catalysts[J]. Fuel, 2015,160:534-543. doi: 10.1016/j.fuel.2015.08.011

    17. [17]

      VENDERBOSCH R H, ARDIYANTI A R, WILDSCHUT J, OASMAA A, HEERES H J. Stabilization of biomass-derived pyrolysis oils[J]. J Chem Technol Biotechnol, 2010,85(5):674-686. doi: 10.1002/jctb.v85:5

    18. [18]

      WILDSCHUT J, MAHFUD F H, VENDERBOSCH R H, HEERES H J. Hydrotreatment of fast pyrolysis oil using heterogeneous noble-metal catalysts[J]. Ind Eng Chem Res, 2009,48(23):10324-10334. doi: 10.1021/ie9006003

    19. [19]

      ARDIYANTI A R, GUTIERREZ A, HONKELA M L, KRAUSE A O I, HEERES H J. Hydrotreatment of wood-based pyrolysis oil using zirconia-supported mono-and bimetallic (Pt, Pd, Rh) catalysts[J]. Appl Catal A, 2011,407(1/2):56-66.  

    20. [20]

      ELLIOTT D C, HART T R. Catalytic hydroprocessing of chemical models for bio-oil[J]. Energy Fuels, 2009,23(2):631-637. doi: 10.1021/ef8007773

    21. [21]

      CHEN J H, CAI Q J, LU L, LENG F R, WANG S R. Upgrading of the acid-rich fraction of bio-oil by catalytic hydrogenation-esterification[J]. ACS Sustainable Chem Eng, 2016,5(1):1073-1081.  

    22. [22]

      YAO Yan, WANG Shu-rong, LUO Zhong-yang, CEN Ke-fa. Experimental research on catalytic hydrogenation of light fraction of bio-oil[J]. J Eng Thermophys, 2008,29(4):715-719.  

    23. [23]

      YU W J, TANG Y, MO L Y, CHEN P, LOU H, ZHENG X M. One-step hydrogenation-esterification of furfural and acetic acid over bifunctional Pd catalysts for bio-oil upgrading[J]. Bioresour Technol, 2011,102(17):8241-8246. doi: 10.1016/j.biortech.2011.06.015

    24. [24]

      YU WJ, TANG Y, MO L Y, CHEN P, LOU H, ZHENG X M. Bifunctional Pd/Al-SBA-15 catalyzed one-step hydrogenation-esterification of furfural and acetic acid:A model reaction for catalytic upgrading of bio-oil[J]. Catal Commun, 2011,13(1):35-39. doi: 10.1016/j.catcom.2011.06.004

    25. [25]

      ZHONG Wei-cheng, GUO Qing-jie, WANG Xu-yun, ZHANG Liang. Catalytic hydroprocessing of fast pyrolysis bio-oil from Chlorella[J]. J Fuel Chem Technol, 2013,41(5):571-578.  

    26. [26]

      ELLIOTT D C. Historical Developments in Hydroprocessing Bio-oils[J]. Energy Fuels, 2007,21(3):1792-1815. doi: 10.1021/ef070044u

    27. [27]

      WEI Hong-ge, ZHONG Zhao-ping, LI Rui, JIN Li-wei. Research on solid catalysts base hydrogenation for bio-oil model compounds[J]. Renewable Energy Resour, 2010,28(1):52-62.  

    28. [28]

      ZHAO H Y, LI D, BUI P, OYAMA S T. Hydrodeoxygenation of guaiacol as model compound for pyrolysis oil on transition metal phosphide hydroprocessing Catalysts[J]. Appl Catal A, 2011,391(1/2):305-310.  

    29. [29]

      VISPUTE T P, ZHANG H Y, SANNA A, XIAO R, HUBER G W. Renewable chemical commodity feedstocks from integrated catalytic processing of pyrolysis oils[J]. Science, 2010,330(6008):1222-1227. doi: 10.1126/science.1194218

    30. [30]

      BECK A, HORVATH A, SZUCS A, SCHAY Z, HORVATH Z E, ZSOLDOS Z, DEKANY I, GUCZI L. Pd nanoparticles prepared by "controlled colloidal synthesis" in solid/liquid interfacial layer on silica. I. Particle size regulation by reduction time[J]. Catal Lett, 2000,65(1/3):33-42. doi: 10.1023/A:1019048701152

    31. [31]

      LI B, WENG W Z, ZHANG Q, WANG Z W, WAN H L. Sinter-resistant Pd/SiO2 nanocatalyst prepared by impregnation method[J]. ChemCatChem, 2011,3(8):1277-1280. doi: 10.1002/cctc.201100043

    32. [32]

      GRANGE P, LAURENT E, MAGGI R, CENTENO A, DELMON B. Hydrotreatment of pyrolysis oils from biomass:Reactivity of the various categories of oxygenated compounds and preliminary techno-economical study[J]. Catal Today, 1996,29(1/4):297-301.  

    33. [33]

      LI Qi-yi, WAN Lei, ZHANG Su-ping, XU Qing-li, YAN Yong-jie. Hydrodeoxygenation of bio-oil under mild conditions[J]. Petrochem Technol, 2011,40(9):954-958.  

    34. [34]

      KREUZER K, KRAMER R. Support effects in the hydrogenolysis of tetrahydrofuran on platinum catalysts[J]. J Catal, 1997,167(2):391-399. doi: 10.1006/jcat.1997.1608

    35. [35]

      ZHAO C, HE J Y, LEMONIDOU A A, LI X B, LERCHER J A. Aqueous-phase hydrodeoxygenation of bio-derived phenols to cycloalkanes[J]. J Catal, 2011,280(1):8-16. doi: 10.1016/j.jcat.2011.02.001

    36. [36]

      SHAFAGHAT H, REZAEI P S, DAUD W M A W. Catalytic hydrogenation of phenol, cresol and guaiacol over physically mixed catalysts of Pd/C and zeolite solid acids[J]. RSC Adv, 2015,5(43):33990-33998. doi: 10.1039/C5RA00367A

    37. [37]

      ADJAYE J D, BAKHSHI N N. Catalytic conversion of a biomass-derived oil to fuels and chemicals Ⅰ:Model compound studies and reaction pathways[J]. Biomass Bioenergy, 1995,8(3):131-149. doi: 10.1016/0961-9534(95)00018-3

    38. [38]

      NI Y M, PENG W Y, SUN A M, MO W L, HU J L, LI T, LI G X. High selective and stable performance of catalytic aromatization of alcohols and ethers over La/Zn/HZSM-5 catalysts[J]. J Ind Eng Chem, 2010,16(4):503-505. doi: 10.1016/j.jiec.2010.03.011

  • 加载中
    1. [1]

      Renyi ShaoKhurram AbbasVladimir Yu. OsipovHaimei ZhuYuan LiUsamaHong Bi . Red-emitting carbon dots prepared from Epipremnum Aureum leaves extract for biological imaging. Acta Physico-Chimica Sinica, 2026, 42(2): 100134-0. doi: 10.1016/j.actphy.2025.100134

    2. [2]

      Wenwei Zhang Yiru Wang Chanzi Ruan Juanjuan Song Yongxian Fan Houjin Li Dongcheng Liu Yanping Ren Xiuqiong Zeng Faqiong Zhao Mei Shi Min Hu Wan Li Xiuyun Wang Weihong Li Xiaohang Qiu Yong Fan Jianrong Zhang Shuyong Zhang . Suggestions on Heating and Heating Instruments (Part III): Indirect Heating and the Use of Thermal Baths (Water Bath, Oil Bath, Metal Bath and Sand Bath). University Chemistry, 2026, 41(3): 163-171. doi: 10.12461/PKU.DXHX202507039

    3. [3]

      Hanni Zhou Juanjuan Lu Xinrui Zhao Huilin Li Junlong Zhao . Oil-Splashed Chili: A Symphony of Traditional Cuisine and Organic Chemistry. University Chemistry, 2026, 41(3): 357-362. doi: 10.12461/PKU.DXHX202504010

    4. [4]

      Ping LIGeng TANXin HUANGFuxing SUNJiangtao JIAGuangshan ZHUJia LIUJiyang LI . Green synthesis of metal-organic frameworks with open metal sites for efficient ammonia capture. Chinese Journal of Inorganic Chemistry, 2025, 41(10): 2063-2068. doi: 10.11862/CJIC.20250020

    5. [5]

      Weina Li Hongbo Liu Xuemei Tian . Reform of Blended Teaching in Inorganic Chemistry Courses Based on Effective Teaching. University Chemistry, 2026, 41(2): 36-44. doi: 10.12461/PKU.DXHX202502040

    6. [6]

      Shengwen XULonglong YANGHouji CAODeshuang TUXing WEIChangsheng LUHong YAN . Research progress on light-induced functionalization of polyhedral carborane clusters. Chinese Journal of Inorganic Chemistry, 2025, 41(11): 2187-2200. doi: 10.11862/CJIC.20250192

    7. [7]

      Xiangyu CHENZhenzhen MIAOLigang XUGuangbao WUZhuang LIUWenzhen LÜRunfeng CHEN . Research progress on low-dimensional organic-inorganic hybrid metal halide optoelectronic materials. Chinese Journal of Inorganic Chemistry, 2025, 41(11): 2201-2217. doi: 10.11862/CJIC.20250056

    8. [8]

      Shunü Peng Huamin Li Zhaobin Chen Yiru Wang . Simultaneous Application of Multiple Quantitative Analysis Methods in Gas Chromatography for the Determination of Active Ingredients in Traditional Chinese Medicine Preparations. University Chemistry, 2025, 40(10): 243-249. doi: 10.12461/PKU.DXHX202412043

    9. [9]

      Geshan Zhang Haodong Tang Zongjian Liu Feng Feng . Application of the BOPPPS Effective Teaching Model in Bilingual Physical Chemistry Instruction: A Case on Colligative Properties of Dilute Solutions. University Chemistry, 2025, 40(11): 376-381. doi: 10.12461/PKU.DXHX202412127

    10. [10]

      Xiaowei TANGShiquan XIAOJingwen SUNYu ZHUXiaoting CHENHaiyan ZHANG . A zinc complex for the detection of anthrax biomarker. Chinese Journal of Inorganic Chemistry, 2024, 40(10): 1850-1860. doi: 10.11862/CJIC.20240173

    11. [11]

      Haitang WANGYanni LINGXiaqing MAYuxin CHENRui ZHANGKeyi WANGYing ZHANGWenmin WANG . Construction, crystal structures, and biological activities of two Ln3 complexes. Chinese Journal of Inorganic Chemistry, 2024, 40(8): 1474-1482. doi: 10.11862/CJIC.20240188

    12. [12]

      Fangfang Chen Haiming Fan Yan Li Yuan He . 化学生物学专业多元化人才培养导向的课程体系优化探索. University Chemistry, 2025, 40(8): 92-99. doi: 10.12461/PKU.DXHX202409108

    13. [13]

      Kuaibing Wang Feifei Mao Weihua Zhang Bo Lv . Design and Practice of a Comprehensive Teaching Experiment for Preparing Biomass Carbon Dots from Rice Husk. University Chemistry, 2025, 40(5): 342-350. doi: 10.12461/PKU.DXHX202407042

    14. [14]

      Lina Feng Guoyu Jiang Xiaoxia Jian Jianguo Wang . Application of Organic Radical Materials in Biomedicine. University Chemistry, 2025, 40(4): 253-260. doi: 10.12461/PKU.DXHX202405171

    15. [15]

      Wei HEJing XITianpei HENa CHENQuan YUAN . Application of solar-driven inorganic semiconductor-microbe hybrids in carbon dioxide fixation and biomanufacturing. Chinese Journal of Inorganic Chemistry, 2025, 41(1): 35-44. doi: 10.11862/CJIC.20240364

    16. [16]

      Xuejie WangGuoqing CuiCongkai WangYang YangGuiyuan JiangChunming Xu . Research Progress on Carbon-based Catalysts for Catalytic Dehydrogenation of Liquid Organic Hydrogen Carriers. Acta Physico-Chimica Sinica, 2025, 41(5): 100044-0. doi: 10.1016/j.actphy.2024.100044

    17. [17]

      Xin MAYa SUNNa SUNQian KANGJiajia ZHANGRuitao ZHUXiaoli GAO . A Tb2 complex based on polydentate Schiff base: Crystal structure, fluorescence properties, and biological activity. Chinese Journal of Inorganic Chemistry, 2024, 40(7): 1347-1356. doi: 10.11862/CJIC.20230357

    18. [18]

      Lanhui Zhang Ruiyuan Xu Yingying Weng Wanmei Li . Sapindus: Endless Wonders of “Soap”, Infinite Possibilities of “Oil”. University Chemistry, 2025, 40(11): 210-215. doi: 10.12461/PKU.DXHX202412032

    19. [19]

      Yuanpei ZHANGJiahong WANGJinming HUANGZhi HU . Preparation of magnetic mesoporous carbon loaded nano zero-valent iron for removal of Cr(Ⅲ) organic complexes from high-salt wastewater. Chinese Journal of Inorganic Chemistry, 2024, 40(9): 1731-1742. doi: 10.11862/CJIC.20240077

    20. [20]

      Shuang CaoBo ZhongChuanbiao BieBei ChengFeiyan Xu . Insights into Photocatalytic Mechanism of H2 Production Integrated with Organic Transformation over WO3/Zn0.5Cd0.5S S-Scheme Heterojunction. Acta Physico-Chimica Sinica, 2024, 40(5): 2307016-0. doi: 10.3866/PKU.WHXB202307016

Metrics
  • PDF Downloads(4)
  • Abstract views(2044)
  • HTML views(252)

通讯作者: 陈斌, bchen63@163.com
  • 1. 

    沈阳化工大学材料科学与工程学院 沈阳 110142

  1. 本站搜索
  2. 百度学术搜索
  3. 万方数据库搜索
  4. CNKI搜索
Address:Zhongguancun North First Street 2,100190 Beijing, PR China Tel: +86-010-82449177-888
Powered By info@rhhz.net

/

DownLoad:  Full-Size Img  PowerPoint
Return