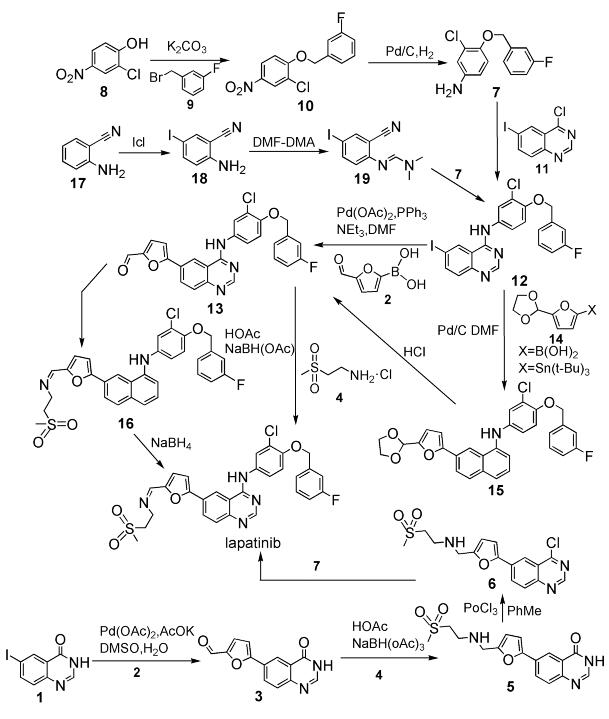
Synthesis of a Novel Intermediate of Lapatinib
- Corresponding author: Yuan Jianyong, enediyne09@163.com
Citation:
Guo Qing, Li Yanwu, Ren Xuezhuang, Yuan Jianyong. Synthesis of a Novel Intermediate of Lapatinib[J]. Chemistry,
;2017, 80(4): 392-395.
B Boyd, J Bozzo, J Castañer. Drug. Future, 2005, 30(12): 1225~1239.
S C Robertson, J Tynan, D J Donoghue. Trends Genet., 2000, 16: 368.
P van der Geer, T Hunter, R A Lindberg. Ann. Rev. Cell Biol., 1994, 10: 251~337.
K G Petrov, Y M Zhang, M Carter et al. Bioorg. Med. Chem. Lett., 2006, 16(17):4686~4691.
K Satoshi, A Atsushi, A Takehiko et al. Tetrahed. Lett., 2006, 47: 1877~1879.
I Zubkov Fedor, V Nikitina Eugenia, R Galeev Timur et al. Tetrahedron, 2014, 70, (8):1659~1690.
F I Zubkov, I K Airiyan, A A Dzyubenko et al. J. Heterocycl. Chem., 2010, 47 (2): 400~414.
C J Cooper, M D Jones, S K Brayshaw et al. Dalton Transac., 2011, 40(14), 3677~3682.
H Naoya, K Hiroyuki, O Masahiro et al. J. Organomet. Chem., 2011, 696(23), 3745~3749.
X D Liu, A Patron, C Tachdjian et al. USP: 20090274632.
Jing WU , Puzhen HUI , Huilin ZHENG , Pingchuan YUAN , Chunfei WANG , Hui WANG , Xiaoxia GU . Synthesis, crystal structures, and antitumor activities of transition metal complexes incorporating a naphthol-aldehyde Schiff base ligand. Chinese Journal of Inorganic Chemistry, 2024, 40(12): 2422-2428. doi: 10.11862/CJIC.20240278
Xinting XIONG , Zhiqiang XIONG , Panlei XIAO , Xuliang NIE , Xiuying SONG , Xiuguang YI . Synthesis, crystal structures, Hirshfeld surface analysis, and antifungal activity of two complexes Na(Ⅰ)/Cd(Ⅱ) assembled by 5-bromo-2-hydroxybenzoic acid ligands. Chinese Journal of Inorganic Chemistry, 2024, 40(9): 1661-1670. doi: 10.11862/CJIC.20240145
Lifang HE , Wenjie TANG , Yaoze LUO , Mingsheng LIANG , Jianxin TANG , Yuxuan WU , Fuxing ZHANG , Xiaoming ZHU . Synthesis, structure, and anticancer activity of two dialkyltin complexes constructed based on 2, 2′-bipyridin-6, 6′-dicarboxylic acid. Chinese Journal of Inorganic Chemistry, 2025, 41(8): 1601-1609. doi: 10.11862/CJIC.20250012
Jiaming Xu , Yu Xiang , Weisheng Lin , Zhiwei Miao . Research Progress in the Synthesis of Cyclic Organic Compounds Using Bimetallic Relay Catalytic Strategies. University Chemistry, 2024, 39(3): 239-257. doi: 10.3866/PKU.DXHX202309093
Lixing ZHANG , Yaowen WANG , Xu HAN , Junhong ZHOU , Jinghui WANG , Liping LI , Guangshe LI . Research progress in the synthesis of fluorine-containing perovskites and their derivatives. Chinese Journal of Inorganic Chemistry, 2025, 41(9): 1689-1701. doi: 10.11862/CJIC.20250007
Ying Chen , Ronghua Yan , Weiyan Yin . Research Progress on the Synthesis of Metal Single-Atom Catalysts and Their Applications in Electrocatalytic Hydrogen Evolution Reactions. University Chemistry, 2025, 40(9): 344-353. doi: 10.12461/PKU.DXHX202503066
Bin SUN , Heyan JIANG . Glucose-modified bis-Schiff bases: Synthesis and bio-activities in Alzheimer′s disease therapy. Chinese Journal of Inorganic Chemistry, 2025, 41(7): 1338-1350. doi: 10.11862/CJIC.20240428
Xinyi Zhang , Kai Ren , Yanning Liu , Zhenyi Gu , Zhixiong Huang , Shuohang Zheng , Xiaotong Wang , Jinzhi Guo , Igor V. Zatovsky , Junming Cao , Xinglong Wu . Progress on Entropy Production Engineering for Electrochemical Catalysis. Acta Physico-Chimica Sinica, 2024, 40(7): 2307057-0. doi: 10.3866/PKU.WHXB202307057
Lei Feng , Ze-Min Zhu , Ying Yang , Zongbin He , Jiafeng Zou , Man-Bo Li , Yan Zhao , Zhikun Wu . Long-Pursued Structure of Au23(S-Adm)16 and the Unexpected Doping Effects. Acta Physico-Chimica Sinica, 2024, 40(5): 2305029-0. doi: 10.3866/PKU.WHXB202305029
Chunling Qin , Shuang Chen , Hassanien Gomaa , Mohamed A. Shenashen , Sherif A. El-Safty , Qian Liu , Cuihua An , Xijun Liu , Qibo Deng , Ning Hu . Regulating HER and OER Performances of 2D Materials by the External Physical Fields. Acta Physico-Chimica Sinica, 2024, 40(9): 2307059-0. doi: 10.3866/PKU.WHXB202307059
Wenjuan SHI , Yuke LU , Xiuyuan LI , Lei HOU , Yaoyu WANG . Mg(Ⅱ) metal-organic frameworks based on biphenyltetracarboxylic acid: Synthesis and CO2 adsorption and catalytic conversion performance. Chinese Journal of Inorganic Chemistry, 2025, 41(12): 2455-2463. doi: 10.11862/CJIC.20250220
Tianyun Chen , Ruilin Xiao , Xinsheng Gu , Yunyi Shao , Qiujun Lu . Synthesis, Crystal Structure, and Mechanoluminescence Properties of Lanthanide-Based Organometallic Complexes. University Chemistry, 2024, 39(5): 363-370. doi: 10.3866/PKU.DXHX202312017
Jingjing QING , Fan HE , Zhihui LIU , Shuaipeng HOU , Ya LIU , Yifan JIANG , Mengting TAN , Lifang HE , Fuxing ZHANG , Xiaoming ZHU . Synthesis, structure, and anticancer activity of two complexes of dimethylglyoxime organotin. Chinese Journal of Inorganic Chemistry, 2024, 40(7): 1301-1308. doi: 10.11862/CJIC.20240003
Liang TANG , Jingfei NI , Kang XIAO , Xiangmei LIU . Synthesis and X-ray imaging application of lanthanide-organic complex-based scintillators. Chinese Journal of Inorganic Chemistry, 2024, 40(10): 1892-1902. doi: 10.11862/CJIC.20240139
Liping GUO . Synthesis and crystal structure characterization of yttrium imido complex: The reactivity of 2-substituted-1-amino-o-carborane with yttrium dialkyl complex. Chinese Journal of Inorganic Chemistry, 2025, 41(7): 1409-1415. doi: 10.11862/CJIC.20250065
Yan Kong , Wei Wei , Lekai Xu , Chen Chen . Electrochemical Synthesis of Organonitrogen Compounds from N-integrated CO2 Reduction Reaction. Acta Physico-Chimica Sinica, 2024, 40(8): 2307049-0. doi: 10.3866/PKU.WHXB202307049
Jiaojiao Yu , Bo Sun , Na Li , Cong Wen , Wei Li . Improvement of Classical Organic Experiment Based on the “Reverse-Step Optimization Method”: Taking Synthesis of Ethyl Acetate as an Example. University Chemistry, 2025, 40(3): 333-341. doi: 10.12461/PKU.DXHX202405177
Feng Sha , Xinyan Wu , Ping Hu , Wenqing Zhang , Xiaoyang Luan , Yunfei Ma . Design of Course Ideology and Politics for the Comprehensive Organic Synthesis Experiment of Benzocaine. University Chemistry, 2024, 39(2): 110-115. doi: 10.3866/PKU.DXHX202307082
Xinyu Zhu , Meili Pang . Application of Functional Group Addition Strategy in Organic Synthesis. University Chemistry, 2024, 39(3): 218-230. doi: 10.3866/PKU.DXHX202308106
Yansong Xiao , Yi Huang , Xingxing Ma , Qiuling Song . The Matteson Reaction in Organic Synthesis: From Fundamentals to Frontiers. University Chemistry, 2025, 40(10): 114-120. doi: 10.12461/PKU.DXHX202411023