Citation: TIAN Yu-feng, WANG Hao, DONG Mei, QIN Zhang-feng, FAN Wei-bin, WANG Jian-guo. Design of the catalysts for direct conversion of syngas to light olefins and optimization of the reaction conditions[J]. Journal of Fuel Chemistry and Technology, ;2018, 46(6): 680-691. shu

Design of the catalysts for direct conversion of syngas to light olefins and optimization of the reaction conditions

  • Corresponding author: WANG Hao, wanghao@sxicc.ac.cn
  • Received Date: 12 March 2018
    Revised Date: 17 April 2018

    Fund Project: The project was supported by the National Natural Science Foundation of China (21773281), Shanxi Scholarship Council of China (2014-102) and Department of Human Resource and Social Security of Shanxi Provincethe National Natural Science Foundation of China 21773281Shanxi Scholarship Council of China 2014-102

Figures(10)

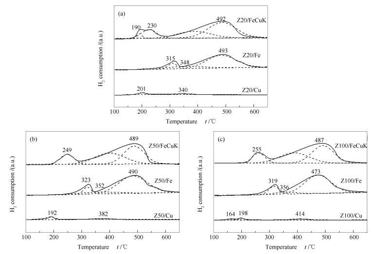
  • ZSM-5 catalysts with same particle size and different Si/Al molar ratio were synthesized successfully by hydrothermal synthesis method, and then, Fe-Cu-K-containing ZSM-5 samples were prepared via aqueous incipient wetness impregnation. The effect of Si/Al molar ratio on the FTO reaction was systematically investigated. The results indicated that the conversion of CO and selectivity to light olefins strongly depended on the reaction conditions and the acidic properties of the zeolite. The ZSM-5/FeCuK catalyst with a Si/Al molar ratio of 50 possessed the highest CO conversion (84.71%) and selectivity to light olefins (32.08%) compared with others. H2-TPR results showed that the reduction of Fe phase in Z50/FeCuK was the highest. With the combination of DRIFTS, TG-DTA and XRD techniques, it was found that there were more carbonate and hydrocarbon species adsorbed on the surface of Z50/FeCuK and more FeCx phases were formed after reaction compared with the other catalysts. Finally, the reaction conditions were optimized and the results showed that the catalyst had the best performance at 310 ℃, H2/CO(volume ratio)=2 and 1.0 MPa.
  • 加载中
    1. [1]

      TORRES GALVIS H M, DE JONG K P. Catalysts for production of lower olefins from synthesis gas:A review[J]. ACS Catal, 2013,3(9):2130-2149. doi: 10.1021/cs4003436

    2. [2]

      YU Fei, LI Zheng-jia, AN Yun-lei, GAO Peng, ZHONG Liang-shu, SUN Yu-han. Research progress in the direct conversion of syngas to lower olefins[J]. J Fuel Chem Technol, 2016,44(7):801-814.  

    3. [3]

      TIAN P, WEI Y, YE M, LIU Z. Methanol to olefins (MTO):From fundamentals to commercialization[J]. ACS Catal, 2015,5(3):1922-1938. doi: 10.1021/acscatal.5b00007

    4. [4]

      LIU Z, SUN C, WANG G, WANG Q, CAI G. New progress in R&D of lower olefin synthesis[J]. Fuel Process Technol, 2000,62(2):161-172.  

    5. [5]

      WANG C, XU L, WANG Q. Review of directly producing light olefins via CO hydrogenation[J]. J Nat Gas Chem, 2003,12(1):10-16.  

    6. [6]

      JANARDANARAO M. Direct catalytic conversion of synthesis gas to lower olefins[J]. Ind Eng Chem, 1990,29(9):1735-1753. doi: 10.1021/ie00105a001

    7. [7]

      LOHITHARN N, GOODWIN J G, LOTERO E. Fe-based Fischer-Tropsch synthesis catalysts containing carbide-forming transition metal promoters[J]. J Catal, 2008,255(1):104-113. doi: 10.1016/j.jcat.2008.01.026

    8. [8]

      FEYZI M, IRANDOUST M, MIRZAEI A A. Effects of promoters and calcination conditions on the catalytic performance of iron-manganese catalysts for Fischer-Tropsch synthesis[J]. Fuel Process Technol, 2011,92(5):1136-1143. doi: 10.1016/j.fuproc.2011.01.010

    9. [9]

      ZHANG C H, YANG Y, TENG B, LI T Z, ZHENG H Y, XIANG H W, LI Y W. Study of an iron-manganese Fischer-Tropsch synthesis catalyst promoted with copper[J]. J Catal, 2006,237(2):405-415. doi: 10.1016/j.jcat.2005.11.004

    10. [10]

      CHENG Y, LIN J, XU K, WANG H, YAO X, PEI Y, YAN S, QIAO M, ZONG B. Fischer-Tropsch synthesis to lower olefins over potassium-promoted reduced graphene oxide supported iron catalysts[J]. ACS Catal, 2016,6(1):389-399. doi: 10.1021/acscatal.5b02024

    11. [11]

      KEYVANLOO K, HORTON J B, HECKER W C, ARGYLE M D. Effects of preparation variables on an alumina-supported FeCuK Fischer-Tropsch catalyst[J]. Catal Sci Technol, 2014,4(12):4289-4300. doi: 10.1039/C4CY00510D

    12. [12]

      KANG S H, BAE J W, PRASAD P S, PARK S J, WOO K J, JUN K W. Effect of preparation method of Fe-based Fischer-Tropsch catalyst on their light olefin production[J]. Catal Lett, 2009,130(3/4):630-636.  

    13. [13]

      ÖZKARA-AYD1NO ĞLUS, ATA Ö, ÖF G L, K1NAYYIĞIT S, SAL S, BARANAK M, BOZ İ. α-olefin selectivity of Fe-Cu-K catalysts in Fischer-Tropsch synthesis:Effects of catalyst composition and process conditions[J]. Chem Eng J, 2012,181:581-589.  

    14. [14]

      JIAO F, LI J, PAN X, XIAO J, LI H, MA H, WEI M, PAN Y, ZHOU Z, LI M. Selective conversion of syngas to light olefins[J]. Science, 2016,351(6277):1065-1068. doi: 10.1126/science.aaf1835

    15. [15]

      CHENG K, GU B, LIU X, KANG J, ZHANG Q, WANG Y. Direct and highly selective conversion of synthesis gas into lower olefins:Design of a bifunctional catalyst combining methanol synthesis and carbon-carbon coupling[J]. Angew Chem Int Ed, 2016,128(15):4803-4806. doi: 10.1002/ange.201601208

    16. [16]

      ZHONG L, YU F, AN Y, ZHAO Y, SUN Y, LI Z, LIN T, LIN Y, QI X, DAI Y. Cobalt carbide nanoprisms for direct production of lower olefins from syngas[J]. Nature, 2016,538(7623):84-87. doi: 10.1038/nature19786

    17. [17]

      SUN B, QIAO M, FAN K, ULRICH J, TAO F. Fischer-Tropsch synthesis over molecular sieve supported catalysts[J]. ChemCatChem, 2011,3(3):542-550. doi: 10.1002/cctc.v3.3

    18. [18]

      BARANAK M, GVRVNLV B, SAR1OĞLAN A, ATAÖ , ATAK L H. Low acidity ZSM-5 supported iron catalysts for Fischer-Tropsch synthesis[J]. Catal Today, 2013,207:57-64. doi: 10.1016/j.cattod.2012.04.013

    19. [19]

      PLANA-PALLEJ J, ABELL S, BERRUECO C, MONTAN D. Effect of zeolite acidity and mesoporosity on the activity of Fischer-Tropsch Fe/ZSM-5 bifunctional catalysts[J]. Appl Catal A:Gen, 2016,515:126-135. doi: 10.1016/j.apcata.2016.02.004

    20. [20]

      KANG S H, BAE J W, PRASAD P S, JUN K W. Fischer-Tropsch synthesis using zeolite-supported iron catalysts for the production of light hydrocarbons[J]. Catal Lett, 2008,125(3/4):264-270.

    21. [21]

      BAE J W, PARK S J, KANG S H, LEE Y J, JUN K W, RHEE Y W. Effect of Cu content on the bifunctional Fischer-Tropsch Fe-Cu-K/ZSM5 catalyst[J]. J Ind Eng Chem, 2009,15(6):798-802. doi: 10.1016/j.jiec.2009.09.002

    22. [22]

      CHEON J Y, KANG S H, BAE J W, PARK S J, JUN K W, DHAR G M, LEE K Y. Effect of active component contents to catalytic performance on Fe-Cu-K/ZSM5 fischer-tropsch catalyst[J]. Catal Lett, 2010,134(3/4):233-241.

    23. [23]

      PARK J Y, LEE Y J, JUN K W, BAE J W, VISWANADHAM N, KIM Y H. Direct conversion of synthesis gas to light olefins using dual bed reactor[J]. J Ind Eng Chem, 2009,15(6):847-853. doi: 10.1016/j.jiec.2009.09.011

    24. [24]

      LI Q, HEDLUND J, STERTE J, CREASER D, BONS A J. Synthesis and characterization of zoned MFI films by seeded growth[J]. Microporous Mesoporous Mater, 2002,56(3):291-302. doi: 10.1016/S1387-1811(02)00503-6

    25. [25]

      ROSTAMIZADEH M, YARIPOUR F. Bifunctional and bimetallic Fe/ZSM-5 nanocatalysts for methanol to olefin reaction[J]. Fuel, 2016,181:537-546. doi: 10.1016/j.fuel.2016.05.019

    26. [26]

      LI S Z, DING W P, GDM A, IGLESIA E. Spectroscopic and transient kinetic studies of site requirements in iron-catalyzed Fischer-Tropsch synthesis[J]. J Phys Chem B, 2012,106(1):85-91.  

    27. [27]

      LEE Y J, PARK J Y, JUN K W, BAE J W, VISWANADHAM N. Enhanced production of C2-C4 olefins directly from synthesis gas[J]. Catal Lett, 2008,126(1/2):149-154.

    28. [28]

      JIANG S, ZHANG H, YAN Y, ZHANG X. Preparation and characterization of porous Fe-Cu mixed oxides modified ZSM-5 coating/PSSF for continuous degradation of phenol wastewater[J]. Microporous Mesoporous Mater, 2016,240:108-116.

    29. [29]

      CHERNAVSKⅡ P A, KAZAK V O, PANKINA G V, PERFILIEV Y D, LI T, VIRGINIE M, KHODAKOV A Y. Influence of copper and potassium on the structure and carbidisation of supported iron catalysts for Fischer-Tropsch synthesis[J]. Catal Sci Technol, 2017,7(11):2325-2334. doi: 10.1039/C6CY02676A

    30. [30]

      KEYVANLOO K, HECKER W C, WOODFIELD B F, BARTHOLOMEW C H. Highly active and stable supported iron Fischer-Tropsch catalysts:Effects of support properties and SiO2 stabilizer on catalyst performance[J]. J Catal, 2014,319:220-231. doi: 10.1016/j.jcat.2014.08.015

    31. [31]

      SHAO Guang-yin, ZHANG Yu-long, ZHANG Zheng-pai, ZHANG Jun, SU Jun-jie, LIU Da, HE Chong-heng, XU Jing, HAN Yi-fan. CO2 hydrogenation over Fe catalysts supported on ZSM-5 zeolite with different ratios of Si/Al[J]. J Chem Ind Eng, 2017,68(2):670-678.  

    32. [32]

      LU J, YANG L, XU B, WU Q, ZHANG D, YUAN S, ZHAI Y, WANG X, FAN Y, HU Z. Promotion effects of nitrogen doping into carbon nanotubes on supported iron Fischer-Tropsch catalysts for lower olefins[J]. ACS Catal, 2014,4(2):613-621. doi: 10.1021/cs400931z

    33. [33]

      JIANG M, NAOTO KOIZUMI A, YAMADA M. Adsorption properties of iron and iron-manganese catalysts investigated by in-situ diffuse reflectance FT-IR spectroscopy[J]. J Phys Chem B, 2000,104(32):7636-7643. doi: 10.1021/jp000065o

    34. [34]

      BIAN G, OONUKI A, KOBAYASHI Y, KOIZUMI N, YAMADA M. Syngas adsorption on precipitated iron catalysts reduced by H2, syngas or CO and on those used for high-pressure FT synthesis by in situ diffuse reflectance FT-IR spectroscopy[J]. Appl Catal A:Gen, 2001,219(1/2):13-24.  

    35. [35]

      BOELLAARD E, VAN DER KAM, GEUS J W. Behaviour of a cyanide-derived Fe/Al2O3 catalyst during Fischer-Tropsch synthesis[J]. Appl Catal A:Gen, 1996,147(1):229-245. doi: 10.1016/S0926-860X(96)00192-5

    36. [36]

      BOTES F G. The effect of a higher operating temperature on the Fischer-Tropsch/HZSM-5 bifunctional process[J]. Appl Catal A:Gen, 2005,284(1):21-29.

  • 加载中
    1. [1]

      Yi RUTao MENGZhaoteng XUEDongsen MAO . Synergistic catalysis of Al distribution and pore structure in ZSM-5 zeolite for bioethanol-to-propylene. Chinese Journal of Inorganic Chemistry, 2026, 42(2): 247-262. doi: 10.11862/CJIC.20250255

    2. [2]

      Xingyang LITianju LIUYang GAODandan ZHANGYong ZHOUMeng PAN . A superior methanol-to-propylene catalyst: Construction via synergistic regulation of pore structure and acidic property of high-silica ZSM-5 zeolite. Chinese Journal of Inorganic Chemistry, 2024, 40(7): 1279-1289. doi: 10.11862/CJIC.20240026

    3. [3]

      Qinhui GuanYuhao GuoNa LiJing LiTingjiang Yan . Molecular sieve-mediated indium oxide catalysts for enhancing photocatalytic CO2 hydrogenation. Acta Physico-Chimica Sinica, 2025, 41(11): 100133-0. doi: 10.1016/j.actphy.2025.100133

    4. [4]

      Jingyi XieQianxi LüWeizhen QiaoChenyu BuYusheng ZhangXuejun ZhaiRenqing LüYongming ChaiBin Dong . Enhancing Cobalt―Oxygen Bond to Stabilize Defective Co2MnO4 in Acidic Oxygen Evolution. Acta Physico-Chimica Sinica, 2024, 40(3): 2305021-0. doi: 10.3866/PKU.WHXB202305021

    5. [5]

      Yufang GAONan HOUYaning LIANGNing LIYanting ZHANGZelong LIXiaofeng LI . Nano-thin layer MCM-22 zeolite: Synthesis and catalytic properties of trimethylbenzene isomerization reaction. Chinese Journal of Inorganic Chemistry, 2024, 40(6): 1079-1087. doi: 10.11862/CJIC.20240036

    6. [6]

      Wenlong LIXinyu JIAJie LINGMengdan MAAnning ZHOU . Photothermal catalytic CO2 hydrogenation over a Mg-doped In2O3-x catalyst. Chinese Journal of Inorganic Chemistry, 2024, 40(5): 919-929. doi: 10.11862/CJIC.20230421

    7. [7]

      Chuanming GUOKaiyang ZHANGYun WURui YAOQiang ZHAOJinping LIGuang LIU . Performance of MnO2-0.39IrOx composite oxides for water oxidation reaction in acidic media. Chinese Journal of Inorganic Chemistry, 2024, 40(6): 1135-1142. doi: 10.11862/CJIC.20230459

    8. [8]

      Feifei YangWei ZhouChaoran YangTianyu ZhangYanqiang Huang . Enhanced Methanol Selectivity in CO2 Hydrogenation by Decoration of K on MoS2 Catalyst. Acta Physico-Chimica Sinica, 2024, 40(7): 2308017-0. doi: 10.3866/PKU.WHXB202308017

    9. [9]

      Xinyu You Xin Zhang Shican Jiang Yiru Ye Lin Gu Hexun Zhou Pandong Ma Jamal Ftouni Abhishek Dutta Chowdhury . Efficacy of Ca/ZSM-5 zeolites derived from precipitated calcium carbonate in the methanol-to-olefin process. Chinese Journal of Structural Chemistry, 2024, 43(4): 100265-100265. doi: 10.1016/j.cjsc.2024.100265

    10. [10]

      Yong Shu Xing Chen Sai Duan Rongzhen Liao . How to Determine the Equilibrium Bond Distance of Homonuclear Diatomic Molecules: A Case Study of H2. University Chemistry, 2024, 39(7): 386-393. doi: 10.3866/PKU.DXHX202310102

    11. [11]

      Shanyuan BiJin ZhangDengchao PengDanhong ChengJianping ZhangLupeng HanDengsong Zhang . Improved N2 selectivity for low-temperature NOx reduction over etched ZSM-5 supported MnCe oxide catalysts. Chinese Chemical Letters, 2025, 36(5): 110295-. doi: 10.1016/j.cclet.2024.110295

    12. [12]

      Zhuwei Yang Linsen Li Yijie Lin Xinyuan Tao Xiao Liu Lei Chen Ming Ma Li Lin Riguang Zhang Jiayuan Li Zhao Jiang . Regulating the Oxygen Vacancies in Ni-CexZr1-xO2/ZSM-5 to Improve the Long-term Stability for Methane Dry Reforming. Chinese Journal of Structural Chemistry, 2025, 44(8): 100632-100632. doi: 10.1016/j.cjsc.2025.100632

    13. [13]

      Liuyun ChenWenju WangTairong LuXuan LuoXinling XieKelin HuangShanli QinTongming SuZuzeng QinHongbing Ji . Soft template-induced deep pore structure of Cu/Al2O3 for promoting plasma-catalyzed CO2 hydrogenation to DME. Acta Physico-Chimica Sinica, 2025, 41(6): 100054-0. doi: 10.1016/j.actphy.2025.100054

    14. [14]

      Yongqing XuYuyao YangMengna WuXiaoxiao YangXuan BieShiyu ZhangQinghai LiYanguo ZhangChenwei ZhangRobert E. PrzekopBogna SztorchDariusz BrzakalskiHui Zhou . Review on Using Molybdenum Carbides for the Thermal Catalysis of CO2 Hydrogenation to Produce High-Value-Added Chemicals and Fuels. Acta Physico-Chimica Sinica, 2024, 40(4): 2304003-0. doi: 10.3866/PKU.WHXB202304003

    15. [15]

      Xiaorui ChenXuan LuoTongming SuXinling XieLiuyun ChenYuejing BinZuzeng QinHongbing Ji . Ga-doped Cu/γ-Al2O3 bifunctional interface sites promote the direct hydrogenation of CO2 to DME. Acta Physico-Chimica Sinica, 2025, 41(10): 100126-0. doi: 10.1016/j.actphy.2025.100126

    16. [16]

      Zhipeng Bao Yilin Wang Yu Chen Beirui Jia Congcong Wang Zean Xie Xuehua Yu Zhen Zhao . Digital and Intelligent Integration under the “Dual Carbon” Strategy: Plasma Reaction-Separation Coupling for CO2 Hydrogenation to Methanol. University Chemistry, 2026, 41(1): 29-40. doi: 10.12461/PKU.DXHX202506009

    17. [17]

      Beibei Gao Lipeng Zhou Dexin Yang . Integrating the “Dual Carbon” Concept into Teaching Reform of Physical Chemistry: A Case of CO2 Hydrogenation to CH3OH. University Chemistry, 2026, 41(3): 248-253. doi: 10.12461/PKU.DXHX202504011

    18. [18]

      Yuhao SUNQingzhe DONGLei ZHAOXiaodan JIANGHailing GUOXianglong MENGYongmei GUO . Synthesis and antibacterial properties of silver-loaded sod-based zeolite. Chinese Journal of Inorganic Chemistry, 2024, 40(4): 761-770. doi: 10.11862/CJIC.20230169

    19. [19]

      Jiali CHENGuoxiang ZHAOYayu YANWanting XIAQiaohong LIJian ZHANG . Machine learning exploring the adsorption of electronic gases on zeolite molecular sieves. Chinese Journal of Inorganic Chemistry, 2025, 41(1): 155-164. doi: 10.11862/CJIC.20240408

    20. [20]

      Yiping HUANGLiqin TANGYufan JICheng CHENShuangtao LIJingjing HUANGXuechao GAOXuehong GU . Hollow fiber NaA zeolite membrane for deep dehydration of ethanol solvent by vapor permeation. Chinese Journal of Inorganic Chemistry, 2025, 41(2): 225-234. doi: 10.11862/CJIC.20240224

Metrics
  • PDF Downloads(8)
  • Abstract views(1172)
  • HTML views(153)

通讯作者: 陈斌, bchen63@163.com
  • 1. 

    沈阳化工大学材料科学与工程学院 沈阳 110142

  1. 本站搜索
  2. 百度学术搜索
  3. 万方数据库搜索
  4. CNKI搜索
Address:Zhongguancun North First Street 2,100190 Beijing, PR China Tel: +86-010-82449177-888
Powered By info@rhhz.net

/

DownLoad:  Full-Size Img  PowerPoint
Return