Citation: WANG Shu-qin, WU Jin-jin, DU Zhi-hui. Influence of Co-Ce co-doping on photocatalytic DeNOx of TiO2 catalyst at room temperature[J]. Journal of Fuel Chemistry and Technology, ;2019, 47(3): 361-369. shu

Influence of Co-Ce co-doping on photocatalytic DeNOx of TiO2 catalyst at room temperature

  • Corresponding author: WANG Shu-qin, wsqhg@163.com
  • Received Date: 8 October 2018
    Revised Date: 8 January 2019

    Fund Project: The project was supported by the National Basic Research Program of China 2018YFB060420103National Natural Science Foundation of HeBei Province E2014502111The project was supported by the National Basic Research Program of China(2018YFB060420103) and National Natural Science Foundation of HeBei Province (E2014502111)

Figures(8)

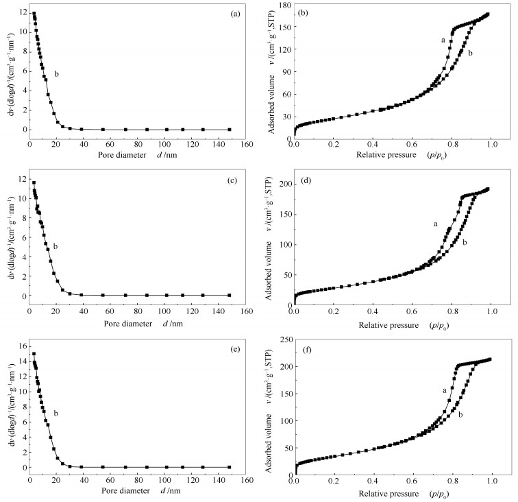
  • Ce-TiO2 and Ce-Co-TiO2 powders were prepared by the sol-gel hydrothermal method with butyl titanate as the source of Ti, cerium nitrate as the source of Ce, cobalt nitrate for Co source. The modified TiO2 catalysts were characterized with BET, XRD, SEM, UV-vis, XPS and NH3-TPD. The NO reduction efficiency by visible light over the modified TiO2 catalysts was carried out. The experimental results show that the catalyst Ce (1% molar)-Co (5% molar)-TiO2 prepared under the conditions of 24 h hydrothermal synthesis at 160 and 200 ℃of calcination showed the best performance. At room temperature, the visible light catalytic efficiency of the catalyst reached 92.69% when the NO initial concentration was 762 μg/m3. When the NO initial concentration was 1148 μg/m3, the visible light catalytic efficiency could still reach 85.94%, which was improved by nearly 50% compared with pure TiO2. Moreover, it was found that in the resistance of SO2 and continuous usage, the efficiency of the Ce (1%)-Co (5%)-TiO2 catalyst was better than the commercial catalysts (TiO2 with V2O5 doping).
  • 加载中
    1. [1]

      China Electricity Council. China Power Industry Annual Development Report[M]. Beijing:China Market Press, 2018.

    2. [2]

      State Environmental Protection Administration. Thermal power plant emission standards for atmospheric pollutants[S].

    3. [3]

      ZHANG D R, LIU H L, HAN S Y, PIAO W X. Synthesis of Sc and V-doped TiO2 nanoparticles and photodegradation of rhodamine-B[J]. J Ind Eng Chem, 2013,19(6):1838-1844. doi: 10.1016/j.jiec.2013.02.029

    4. [4]

      REDDY B M, KHAN A. Structural characterization of CeO2-TiO2 and V2O5/CeO2-TiO2 catalysts by Raman and XPS techniques[J]. J Phys Chem B, 2003,107(22):5162-5167. doi: 10.1021/jp0344601

    5. [5]

      YUAN Chun-hua, XIE Ying-na. Preparation of cobalt-doped titania photocatalysts and photocatalytic activity thereof[J]. Inorg Chem Ind, 2011,43(11):31-33. doi: 10.3969/j.issn.1006-4990.2011.11.010

    6. [6]

      LI X H, ZHANG S L, JIA Y, LIU X X, ZHONG Q. Selective catalyticoxidation of NO with O2 over Ce-doped MnOx/TiO2 catalysts[J]. Nat Gas Chem, 2012,1(1):17-24.  

    7. [7]

      SONG Lin-yun, WU Yu-cheng, LI Yun, YE Min, XIE Ting, HUANG Xin-min. Preparation and photocatalytic performance of mesoporous Co-TiO2[J]. J Wuhan Univ Technol, 2007,39(10):66-69.  

    8. [8]

      LI Wei, ZHANG Cheng, LI Xin, TANG Peng, FANG Qing-yan, CHEN Gang. Influence of Ho doping on the deNOx performance of Mn-Ce/TiO2 low temperature SCR catalyst[J]. J Fuel Chem Technol, 2017,45(12):1508-1513. doi: 10.3969/j.issn.0253-2409.2017.12.013 

    9. [9]

      XU Wen-qing, ZHAO Jun, WANG Hai-xin, ZHU Ting-yu, ZHAO Peng, JING Peng-fei. Catalytic oxidation activity of NO on TIO2-supported Mn-Co composite oxide catalysts[J]. Acta Phys-Chim Sin, 2013,29(2):385-390. doi: 10.3866/PKU.WHXB201212031

    10. [10]

      CHEN Shuang, YAO Shu-hua, SHI Zhong-liang. Preparation and photocatalytic activity of petal-like doped nano TiO2 photocatalyst using hydrothermal method[J]. J Cent S Univ (Sci Technol), 2016,47(5):1487-1493.  

    11. [11]

      MURPHY A. Band-gap determination from diffuse reflectance measurements of semiconductor films, and application to photoelectrochemical water-splitting[J]. Sol Energy Mater Sol Cells, 2007,91(14)1326. doi: 10.1016/j.solmat.2007.05.005

    12. [12]

      SENTHIL R A, THEERTHAGIRI J, SELVI A, MADHAVAN J. Synthesis and characterization of low-cost g-C3N4/TiO2 composite with enhanced photocatalytic performance undervisible-light irradiation[J]. Opt Mate, 2017,64:533-539. doi: 10.1016/j.optmat.2017.01.025

    13. [13]

      CHEN Qi-feng, JIANG Dong, XU Yao, WU Dong, SUN Yu-han. Preparation of Ce-Si/TiO2 by sol-gel hydrothermal method and its photocatalytic performance[J]. Acta Phys-Chim Sin, 2009,25(4):617-623. doi: 10.3866/PKU.WHXB20090412

    14. [14]

      ZHANG Lu, XIE Jian, LI Guo-qaing, ZHANG Hong-liang. Effect of Ce4+-doping on structural and photocatalytic properties of sol-gel prepared titanium dioxide thin-films[J]. Semicond Optoelectron, 2013,34(1):98-102.  

    15. [15]

      ZHU Hao-jie, WU Jun. The visible light catalytic properties and mechanism of Co co-doped anatase TiO2[J]. J Hangzhou Elect Sci Technol Univ, 2012,32(5):21-24. doi: 10.3969/j.issn.1001-9146.2012.05-006

    16. [16]

      FENG Yun-Sang, LIU Shang-guang, CHEN Cheng-wu, WU Jin-ming, XU Yu-song. Effect of doping Co-Ce oxide on MnOx/TiO2 low-temperature SCR DeNOx catalys[J]. Trans Mater Heat Treat, 2014,35(6):26-33.  

    17. [17]

      YU Guo-feng, WEI Yan-pei, JIN Rui-ben, ZHU Hong, GU Zhen-yu, PAN Li-li. The research of Mn-Ce-Co/TiO2 catalyst denitration on low temperature[J]. J Environ Sci-China, 2012,32(7):1743-1749.  

    18. [18]

      ZHANG Qian-cheng, ZHANG Feng-bao, ZHANG Guo-liang, ZHANG Xiao-ping. Preparation and characterization of ultrafine TiO2 doped with Co and its performance in gas-phase photocatalytic oxidation[J]. J Fuel Chem Technol, 2004,32(2):240-243. doi: 10.3969/j.issn.0253-2409.2004.02.023

    19. [19]

      LI J Y, SONG Z X, NING P, ZHANG Q L, LIU X, LI H, HUANG Z Z. Influence of calcination temperature on selective catalytic reduction of NOx with NH3 over CeO2-ZrO2-WO3 catalyst[J]. J Rare Earths, 2015,33(7):726-735. doi: 10.1016/S1002-0721(14)60477-4

    20. [20]

      LIAO Yong-jin, ZHANG Ya-ping, YU Yue-xi, LI Juan, GUO Wang-qiu, WANG Xiao-lei. In situ FT-IR studies on low temperature NH3-SCR mechanism of NOx over MnOx/WO3/TiO2 catalyst[J]. CIESC J, 2016,67(12):5031-5039.  

    21. [21]

      LIU Xiao-da, CHEN Shu-jun, ZHAO Tie-ying, LI De-yan, BAI Xiao-ge, LI Liu-qin. Pyridine-thermal desorption-infrared method for characterization catalyst acidity[J]. Ind Catal, 2015,23(10):817-820. doi: 10.3969/j.issn.1008-1143.2015.10.018

    22. [22]

      SU Wen, ZHANG Fan, WANG Hong-chang, ZHU Jin-wei. The influence of SO2 and H2O for selective catalytic reduction of NOx of CeO2/TiO2/cordierite[J]. J Fuel Chem Technol, 2014,42(9):1111-1118.  

    23. [23]

      PENG Li-li. The research of CoOx/ZrO2 catalytic oxidation NO[D]. Xiangtan: Xiangtan University, 2012. 

    24. [24]

      YU H, WEI W, QIAN Z, CAO J J, HUANG R J, HO W K, SHUN C L. In situ fabrication of α-Bi2O3/(BiO)2CO3 nanoplate heterojunctions with tunable optical property and photocatalytic activity[J]. Sci Reports, 2016,6(2):34-35.  

    25. [25]

      LI H, SHI J G, ZHAO K, ZHANG L Z. Sustainable molecular oxygen activation with oxygen vacancies on the {001} facets of BiOCl nanosheets under solar light[J]. Nanoscale, 2014,6(23):14168-14173. doi: 10.1039/C4NR04810E

    26. [26]

      WEI Feng-yu, Ni Liang-suo. Photocatalytic performance and doping mechanism of B-S Co-doped TiO2[J]. Chin J Catal, 2007,28(10):905-909. doi: 10.3321/j.issn:0253-9837.2007.10.014

  • 加载中
    1. [1]

      Tongyan Yu Pan Xu . Visible-Light Photocatalyzed Radical Rearrangement Reaction. University Chemistry, 2025, 40(7): 169-176. doi: 10.12461/PKU.DXHX202409070

    2. [2]

      Yurong Tang Yunren Shi Yi Xu Bo Qin Yanqin Xu Yunfei Cai . Innovative Experiment and Course Transformation Practice of Visible-Light-Mediated Photocatalytic Synthesis of Isoquinolinone. University Chemistry, 2024, 39(5): 296-306. doi: 10.3866/PKU.DXHX202311087

    3. [3]

      Dan Liu . 可见光-有机小分子协同催化的不对称自由基反应研究进展. University Chemistry, 2025, 40(6): 118-128. doi: 10.12461/PKU.DXHX202408101

    4. [4]

      Qin LiHuihui ZhangHuajun GuYuanyuan CuiRuihua GaoWei-Lin DaiIn situ Growth of Cd0.5Zn0.5S Nanorods on Ti3C2 MXene Nanosheet for Efficient Visible-Light-Driven Photocatalytic Hydrogen Evolution. Acta Physico-Chimica Sinica, 2025, 41(4): 100031-0. doi: 10.3866/PKU.WHXB202402016

    5. [5]

      Bing LIUHuang ZHANGHongliang HANChangwen HUYinglei ZHANG . Visible light degradation of methylene blue from water by triangle Au@TiO2 mesoporous catalyst. Chinese Journal of Inorganic Chemistry, 2024, 40(5): 941-952. doi: 10.11862/CJIC.20230398

    6. [6]

      Xiaofei ZhangShanhao XuZhiyuan WangLong HeTiangcheng HuangYongming XuYucui BianYike LiHaijun ChenZhongjun Li . Surface doping of graphene into BiOCl for efficient photocatalytic amine coupling under visible light. Acta Physico-Chimica Sinica, 2026, 42(5): 100202-0. doi: 10.1016/j.actphy.2025.100202

    7. [7]

      Yuanqing WangYusong PanHongwu ZhuYanlei XiangRong HanRun HuangChao DuChengling Pan . Enhanced Catalytic Activity of Bi2WO6 for Organic Pollutants Degradation under the Synergism between Advanced Oxidative Processes and Visible Light Irradiation. Acta Physico-Chimica Sinica, 2024, 40(4): 2304050-0. doi: 10.3866/PKU.WHXB202304050

    8. [8]

      Bo YANGGongxuan LÜJiantai MA . Nickel phosphide modified phosphorus doped gallium oxide for visible light photocatalytic water splitting to hydrogen. Chinese Journal of Inorganic Chemistry, 2024, 40(4): 736-750. doi: 10.11862/CJIC.20230346

    9. [9]

      Xinzhe HUANGLihui XUYue YANGLiming WANGZhangyong LIUZhongjian WANG . Preparation and visible light responsive photocatalytic properties of BiSbO4/BiOBr. Chinese Journal of Inorganic Chemistry, 2025, 41(2): 284-292. doi: 10.11862/CJIC.20240212

    10. [10]

      Jie Li Huida Qian Deyang Pan Wenjing Wang Daliang Zhu Zhongxue Fang . Efficient Synthesis of Anethaldehyde Induced by Visible Light. University Chemistry, 2024, 39(4): 343-350. doi: 10.3866/PKU.DXHX202310076

    11. [11]

      Xiaogang Liu Mengyu Chen Yanyan Li Xiantao Ma . Experimental Reform in Applied Chemistry for Cultivating Innovative Competence: A Case Study of Catalytic Hydrogen Production from Liquid Formaldehyde Reforming at Room Temperature. University Chemistry, 2025, 40(7): 300-307. doi: 10.12461/PKU.DXHX202408007

    12. [12]

      Zhen Yao Bing Lin Youping Tian Tao Li Wenhui Zhang Xiongwei Liu Wude Yang . Visible-Light-Mediated One-Pot Synthesis of Secondary Amines and Mechanistic Exploration. University Chemistry, 2024, 39(5): 201-208. doi: 10.3866/PKU.DXHX202311033

    13. [13]

      Yanan Fan Jingjing Huang . Interactive Electronic Courseware Facilitates the Development of Integrated Undergraduate-Graduate Instrumental Analysis Laboratory Courses: A Case Study of UV-Vis Spectroscopy Analysis Experiment. University Chemistry, 2025, 40(10): 282-287. doi: 10.12461/PKU.DXHX202411009

    14. [14]

      Zehui JIABin WENShuting ZHANGZhengliang ZHAOHongfei HANChuntao WANGCaimei FAN . Mechanism of carbon quantum dots-modified BiOCl/diatomite composites for ciprofloxacin degradation under visible light irradiation. Chinese Journal of Inorganic Chemistry, 2026, 42(2): 317-330. doi: 10.11862/CJIC.20250199

    15. [15]

      Yanzhe WANGXiaoming GUOQiangsheng GUOLiang LIBin LUPeihang YE . Effect of Ce introduction on the low-temperature performance of NiAl catalyst for CO2 methanation. Chinese Journal of Inorganic Chemistry, 2025, 41(11): 2218-2228. doi: 10.11862/CJIC.20250202

    16. [16]

      Peng YUELiyao SHIJinglei CUIHuirong ZHANGYanxia GUO . Effects of Ce and Mn promoters on the selective oxidation of ammonia over V2O5/TiO2 catalyst. Chinese Journal of Inorganic Chemistry, 2025, 41(2): 293-307. doi: 10.11862/CJIC.20240210

    17. [17]

      Wenli FENGLu ZHAOYunfeng BAIFeng FENG . Research progress on ultralong room temperature phosphorescent carbon dots. Chinese Journal of Inorganic Chemistry, 2025, 41(5): 833-846. doi: 10.11862/CJIC.20240308

    18. [18]

      Wenlong WangWentao HaoLang HeJia QiaoNing LiChaoqiu ChenYong Qin . Bandgap and adsorption engineering of carbon dots/TiO2 S-scheme heterojunctions for enhanced photocatalytic CO2 methanation. Acta Physico-Chimica Sinica, 2025, 41(9): 100116-0. doi: 10.1016/j.actphy.2025.100116

    19. [19]

      Yiting HuoXin ZhouFeifan ZhaoChenbin AiZhen WuZhidong ChangBicheng Zhu . Boosting photocatalytic CO2 methanation through TiO2/CdS S-scheme heterojunction and fs-TAS mechanism study. Acta Physico-Chimica Sinica, 2025, 41(11): 100148-0. doi: 10.1016/j.actphy.2025.100148

    20. [20]

      Qi WangYuqing LiuJiefei WangYuan-Yuan MaJing DuZhan-Gang Han . Catalysts for electrocatalytic dechlorination of chlorinated aromatic hydrocarbons: synthetic strategies, applications, and challenges. Acta Physico-Chimica Sinica, 2025, 41(10): 100120-0. doi: 10.1016/j.actphy.2025.100120

Metrics
  • PDF Downloads(7)
  • Abstract views(1906)
  • HTML views(356)

通讯作者: 陈斌, bchen63@163.com
  • 1. 

    沈阳化工大学材料科学与工程学院 沈阳 110142

  1. 本站搜索
  2. 百度学术搜索
  3. 万方数据库搜索
  4. CNKI搜索
Address:Zhongguancun North First Street 2,100190 Beijing, PR China Tel: +86-010-82449177-888
Powered By info@rhhz.net

/

DownLoad:  Full-Size Img  PowerPoint
Return