Citation: LI Shi-ya, LÜ Shuai, ZHANG Yu-hua, LI Jin-lin, LIU Zhong-neng, WANG Li. Syngas-derived olefins over iron-based catalysts: Effects of basic properties of MgO nanocrystals[J]. Journal of Fuel Chemistry and Technology, ;2018, 46(11): 1342-1351. shu

Syngas-derived olefins over iron-based catalysts: Effects of basic properties of MgO nanocrystals

  • Corresponding author: LI Jin-lin, jinlinli@aliyun.com WANG Li, li.wang@mail.scuec.edu.cn
  • Received Date: 22 June 2018
    Revised Date: 18 September 2018

    Fund Project: The project was supported by the Key Program Project of the NSFC and China Petrochemical Corporation Joint Fund (U1463210), and the Fundamental Research Funds for the Central Universities, South-Central University for Nationalities (CZW15099, CZP17028 and CZP17065)the Fundamental Research Funds for the Central Universities, South-Central University for Nationalities CZP17028the Fundamental Research Funds for the Central Universities, South-Central University for Nationalities CZP17065the Fundamental Research Funds for the Central Universities, South-Central University for Nationalities CZW15099the Key Program Project of the NSFC and China Petrochemical Corporation Joint Fund U1463210

Figures(9)

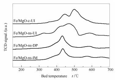
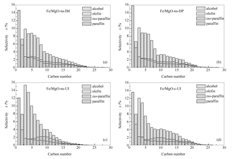
  • A series of Fe/MgO catalysts with well-defined exposed crystal planes were synthesized by impregnation, deposition-precipitation and ultrasonic impregnation methods. The catalysts were characterized by X-ray powder diffraction, high-resolution transmission electron microscopy, CO2 temperature-programmed desorption, H2 temperature-programmed reduction, X-ray spectroscopy and N2 adsorption-desorption isotherms. The characterization results indicate that the basicity of MgO supports strongly affect the catalytic performance of iron-based catalysts for Fischer-Tropsch synthesis. It is found that the strong basicity sites of MgO supports remain during the ultrasonic impregnation process. The intrinsic basicity of Fe/MgO catalysts enhances dissociative CO adsorption and promotes the olefin selectivity. In addition, the catalyst of iron particles on the (111) crystal planes of MgO nanosheets presents higher TOF value and olefins selectivity than that of the catalyst using the (100) crystal planes of MgO nanocubes as a support. The effect of basic properties of MgO nanocrystals facilitates CO chemisorption, suppressing H2 adsorption and olefin desorption on the corresponding Fe/MgO catalysts.
  • 加载中
    1. [1]

      CHENG K, KANG J, KING D L, VIJAYANAND S, ZHOU C, ZHANG Q, WANG Y. Advances in catalysis for syngas conversion to hydrocarbons[J]. Adv Catal, 2017,60:125-208.

    2. [2]

      KOMATSU T, FUKUI Y. Fischer-Tropsch synthesis on RuTi intermetallic compound catalyst[J]. Appl Catal A:Gen, 2005,279(1/2):173-180.  

    3. [3]

      LIU C, ZHANG Y, ZHAO Y, WEI L, HONG J, WANG L, CHEN S, WANG G, LI J. The effect of the nanofibrous Al2O3 aspect ratio on Fischer-Tropsch synthesis over cobalt catalysts[J]. Nanoscale, 2017,9(2):570-581. doi: 10.1039/C6NR07529K

    4. [4]

      DAVIS B H. Fischer-Tropsch synthesis:Comparison of performances of iron and cobalt catalysts[J]. Ind Eng Chem Res, 2007,46:8938-8945. doi: 10.1021/ie0712434

    5. [5]

      TORRES GALVIS H M, DE JONG K P. Catalysts for production of lower olefins from synthesis gas:A review[J]. ACS Catal, 2013,3(9):2130-2149. doi: 10.1021/cs4003436

    6. [6]

      ZHAI P, XU C, GAO R, LIU X, LI M, LI W, FU X, JIA C, XIE J, ZHAO M, WANG X, LI Y, ZHANG Q, WEN X, MA D. Highly tunable selectivity for syngas-derived alkenes over zinc and sodium-modulated Fe5C2 catalyst[J]. Angew Chem Int Ed, 2016,55(35):9902-9907.  

    7. [7]

      SSUN J, CHEN Y, CHEN J. Towards stable Fe-based catalysts with suitable active phase for Fischer-Tropsch synthesis to lower olefins[J]. Catal Commun, 2017,91:34-37. doi: 10.1016/j.catcom.2016.12.008

    8. [8]

      ASAMI K, KOMIYAMA K, YOSHIDA K, MIYAHARA H. Synthesis of lower olefins from synthesis gas over active carbon-supported iron catalyst[J]. Catal Today, 2018,303:117-122. doi: 10.1016/j.cattod.2017.09.010

    9. [9]

      TORRES GALVIS H M, BITTER J H, KHARE C B, RUITENBEEK M, IULIAN DUGULAN A, DE JONG K P. Supported iron nanoparticles as catalysts for sustainable production of lower olefins[J]. Science, 2012,335(6070):835-838. doi: 10.1126/science.1215614

    10. [10]

      LI J, CHENG X, ZHANG C, YANG Y, LI Y. Effects of alkali on iron-based catalysts for Fischer-Tropsch synthesis:CO chemisorptions study[J]. J Mol Catal A:Chem, 2015,396:174-180. doi: 10.1016/j.molcata.2014.10.006

    11. [11]

      PARK J C, YEO S C, CHUN D H, LIM J T, YANG J, LEE H, SUNG-JUN H, LEE H M, KIM C S, JUNG H. Highly activated K-doped iron carbide nanocatalysts designed by computational simulation for Fischer-Tropsch synthesis[J]. J Mater Chem A, 2014,2(35):14371-14379. doi: 10.1039/C4TA02413C

    12. [12]

      YANG J, SUN Y, TANG Y, LIU Y, WANG H, TIAN L, WANG H, ZHANG Z, XIANG H, LI Y. Effect of magnesium promoter on iron-based catalyst for Fischer-Tropsch synthesis[J]. J Mater Chem A, 2006,245(1/2):26-36.  

    13. [13]

      CHENG Y, LIN J, WU T, WANG H, XIE S, PEI Y, YAN S, QIAO M, ZONG B. Mg and K dual-decorated Fe-on-reduced graphene oxide for selective catalyzing CO hydrogenation to light olefins with mitigated CO2 emission and enhanced activity[J]. Appl Catal B:Environ, 2017,204:475-485. doi: 10.1016/j.apcatb.2016.11.058

    14. [14]

      CAGNOLI M V, MARCHETTI S G, GALLEGOS N G, ALVAREZ A M, MERCADER R C, YERAMIAN A A. Influence of the support on the activity and selectivity of high dispersion Fe catalysts in the Fischer-Tropsch reaction[J]. J Catal, 1990,123(1):21-30. doi: 10.1016/0021-9517(90)90154-C

    15. [15]

      CAGNOLI M V, MARCHETTI S G, GALLEGOS N G, ALVAREZ A L, YERAMIAN A A, MERCADER R C. Effect of thermal pretreatment on the structural properties of Fe/MgO catalysts in hydrocarbon synthesis from CO and H2[J]. Mater Chem Phys, 1991,27(4):403-418. doi: 10.1016/0254-0584(91)90137-J

    16. [16]

      ARSALANFAR M, MIRZAEI A A, BOZORGZADEH H R, SAMIMIC A, GHOBADIA R. Effect of support and promoter on the catalytic performance and structural properties of the Fe-Co-Mn catalysts for Fischer-Tropsch synthesis[J]. J Ind Eng Chem, 2014,20(4):1313-1323. doi: 10.1016/j.jiec.2013.07.011

    17. [17]

      KAKE Z, HU J, KÜBEL C, RICHARDS R. Efficient Preparation and Catalytic Activity of MgO(111) Nanosheets[J]. Angew Chem Int Ed, 2006,118(43):7435-7439. doi: 10.1002/(ISSN)1521-3757

    18. [18]

      LI Z, CIOBANU C V, HU J, JUAN-PEDRO PALOMARES-BA'EZ, JOSE'-LUIS RODRI'GUEZ-LO'PEZD, RYAN RICHARDS. Experimental and DFT studies of gold nanoparticles supported on MgO(111) nano-sheets and their catalytic activity[J]. Phys Chem Chem Phys, 2011,13(7):2582-2589. doi: 10.1039/c0cp01820a

    19. [19]

      HACQUART R, KRAFFT J, COSTENTIN G, JUPILLE J. Evidence for emission and transfer of energy from excited edge sites of MgO smokes by photoluminescence experiments[J]. Surf Sci, 2005,595(1/3):172-182.  

    20. [20]

      Li Y, AFZAAL M, O'BRIEN P. The synthesis of amine-capped magnetic (Fe, Mn, Co, Ni) oxide nanocrystals and their surface modification for aqueous dispersibility[J]. J Mater Chem, 2006,16(22):2175-2180. doi: 10.1039/b517351e

    21. [21]

      KAKE Z, HUA W, DENG W, RICHARDS R M. Preparation of MgO nanosheets with polar (111) surfaces by ligand exchange and esterification-synthesis, structure, and application as catalyst support[J]. Eur J Inorg Chem, 2012,2012(17):2869-2876. doi: 10.1002/ejic.v2012.17

    22. [22]

      LIANG M, KANG W, XIE K. Comparison of reduction behavior of Fe2O3, ZnO and ZnFe2O4 by TPR technique[J]. J Nat Gas Chem, 2009,18(1):110-113. doi: 10.1016/S1003-9953(08)60073-0

    23. [23]

      LIU Y, CHEN J, BAO J, ZHANG Y. Manganese-modified Fe3O4 microsphere catalyst with effective active phase of forming light olefins from syngas[J]. ACS Catal, 2015,5(6):3905-3909. doi: 10.1021/acscatal.5b00492

    24. [24]

      MILLS P, SULLIVAN J L. A study of the core level electrons in iron and its three oxides by means of x-ray photoelectron spectroscopy[J]. J Phys D:Appl Phys, 1983,16:723-732. doi: 10.1088/0022-3727/16/5/005

    25. [25]

      BIESINGERA M C, PAYNE B P, GROSVENOR A P, LAU L W M, GERSON A R, SMART R S C. Resolving surface chemical states in XPS analysis of first row transition metals, oxides and hydroxides:Cr, Mn, Fe, Co and Ni[J]. Appl Surf Sci, 2011,257(7):2717-2730. doi: 10.1016/j.apsusc.2010.10.051

    26. [26]

      NORDMANN T, KUSCHEL O, WOLLSCHLÄGER J. Epitaxial growth of ultrathin MgO layers on Fe3O4(001) films[J]. Appl Surf Sci, 2016,381:28-31. doi: 10.1016/j.apsusc.2016.02.133

    27. [27]

      DRY M E, OOSTHUIZEN J G. The correlation between catalyst surface basicity and hydrocarbon selectivity in the Fischer-Tropsch synthesis[J]. J Catal, 1968,11(11):18-24.  

    28. [28]

      LU J, YANG L, XU B, WU Q, ZHANG D, YUAN S, ZHAI Y, WANG X, FAN Y, HU Z. Promotion effects of nitrogen doping into carbon nanotubes on supported iron Fischer-Tropsch catalysts for lower olefins[J]. ACS Catal, 2014,4(2):613-621. doi: 10.1021/cs400931z

    29. [29]

      GALLEGOS N G, ALVAREZ A M, CAGNOLI M V, BENGOA J F, MARCHETTI S G, MERCADER R C, YERAMIAN A A. Selectivity to olefins of Fe/SiO2-MgO catalysts in the Fischer-Tropsch reaction[J]. J Catal, 1996,161:132-142. doi: 10.1006/jcat.1996.0170

  • 加载中
    1. [1]

      Zixuan ZhuXianjin ShiYongfang RaoYu Huang . Recent progress of MgO-based materials in CO2 adsorption and conversion: Modification methods, reaction condition, and CO2 hydrogenation. Chinese Chemical Letters, 2024, 35(5): 108954-. doi: 10.1016/j.cclet.2023.108954

    2. [2]

      Wenke ZHENGCe LIUWei CHENHongshan KEFanlong ZENGYibo LEIAnyang LIWenyuan WANG . Synthesis and bonding analysis of low-coordinate Fe and Cr complexes with ultra-bulky silylamino groups. Chinese Journal of Inorganic Chemistry, 2025, 41(7): 1285-1293. doi: 10.11862/CJIC.20250095

    3. [3]

      Zhongsen WangLijun QiuYunhua HuangMeng ZhangXi CaiFanyu WangYang LinYanbiao ShiXiao Liu . Alcohothermal synthesis of sulfidated zero-valent iron for enhanced Cr(Ⅵ) removal. Chinese Chemical Letters, 2024, 35(7): 109195-. doi: 10.1016/j.cclet.2023.109195

    4. [4]

      Zhen ZhangXue-ling ChenXiu-Mei XieTian-Yu GaoJing QinJun-Jie LiChao FengDa-Gang Yu . Iron-promoted carbonylation–rearrangement of α-aminoaryl-tethered alkylidenecyclopropanes with CO2: Facile synthesis of quinolinofurans. Chinese Chemical Letters, 2025, 36(4): 110056-. doi: 10.1016/j.cclet.2024.110056

    5. [5]

      Qiao SongXue PengZhouyu WangLeyong Wang . Iron-catalyzed C–H activation: A sustainable approach to efficient organic synthesis. Chinese Chemical Letters, 2025, 36(5): 110869-. doi: 10.1016/j.cclet.2025.110869

    6. [6]

      Chengyu JIANGXufeng LIU . Synthesis, structural characterization, electrocatalytic proton reduction, and fungicidal activity of thiazole-containing di-iron complexes. Chinese Journal of Inorganic Chemistry, 2026, 42(2): 355-364. doi: 10.11862/CJIC.20250253

    7. [7]

      Guanghui SUIYanyan CHENG . Application of rice husk-based activated carbon-loaded MgO composite for symmetric supercapacitors. Chinese Journal of Inorganic Chemistry, 2025, 41(3): 521-530. doi: 10.11862/CJIC.20240221

    8. [8]

      Wenxuan YangLong ShangXiaomeng LiuSihan ZhangHaixia LiZhenhua YanJun Chen . Ultrafast synthesis of nanocrystalline spinel oxides by Joule-heating method. Chinese Chemical Letters, 2024, 35(11): 109501-. doi: 10.1016/j.cclet.2024.109501

    9. [9]

      Xiafeng YangWushan SunChen LiWei BaiQingyin WangGongying Wang . Synthesis of novel isosorbide-based polycarbonates by melt chain extension method. Chinese Chemical Letters, 2026, 37(4): 111674-. doi: 10.1016/j.cclet.2025.111674

    10. [10]

      Yi ZHANGGuang LIWenxuan FANQingfeng YI . Influence of bismuth trisulfide on the electrochemical performance of iron electrode. Chinese Journal of Inorganic Chemistry, 2025, 41(6): 1196-1206. doi: 10.11862/CJIC.20240445

    11. [11]

      Ying LiLong-Jie WangYong-Kang ZhouJun LiangBin XiaoJi-Shen Zheng . An improved installation of 2-hydroxy-4-methoxybenzyl (iHmb) method for chemical protein synthesis. Chinese Chemical Letters, 2024, 35(5): 109033-. doi: 10.1016/j.cclet.2023.109033

    12. [12]

      Yihong LiZhong QiuLei HuangShenghui ShenPing LiuHaomiao ZhangFeng CaoXinping HeJun ZhangYang XiaXinqi LiangChen WangWangjun WanYongqi ZhangMinghua ChenWenkui ZhangHui HuangYongping GanXinhui Xia . Plasma enhanced reduction method for synthesis of reduced graphene oxide fiber/Si anode with improved performance. Chinese Chemical Letters, 2024, 35(11): 109510-. doi: 10.1016/j.cclet.2024.109510

    13. [13]

      Xia-Lin DaiYu-Hang YaoJian-Feng ZhenWei GaoJia-Mei ChenTong-Bu Lu . Reaction crystallization method based on deep eutectic solvents: A novel, green and efficient cocrystal synthesis approach. Chinese Chemical Letters, 2025, 36(11): 110413-. doi: 10.1016/j.cclet.2024.110413

    14. [14]

      Jiangshan XuWeifei ZhangZhengwen CaiYong LiLong BaiShaojingya GaoQiang SunYunfeng Lin . Tetrahedron DNA nanostructure/iron-based nanomaterials for combined tumor therapy. Chinese Chemical Letters, 2024, 35(11): 109620-. doi: 10.1016/j.cclet.2024.109620

    15. [15]

      Xianzheng Zhang Yana Chen Zhiyong Ye Huilin Hu Ling Lei Feng You Junlong Yao Huan Yang Xueliang Jiang . Magnetic field-assisted microbial corrosion construction iron sulfides incorporated nickel-iron hydroxide towards efficient oxygen evolution. Chinese Journal of Structural Chemistry, 2024, 43(1): 100200-100200. doi: 10.1016/j.cjsc.2023.100200

    16. [16]

      Xing TianDi WuWanheng WeiGuifu DaiZhanxian LiBenhua WangMingming Yu . A lipid droplets-targetable fluorescent probe for polarity detection in cells of iron death, inflammation and fatty liver tissue. Chinese Chemical Letters, 2024, 35(6): 108912-. doi: 10.1016/j.cclet.2023.108912

    17. [17]

      Mengjun Zhao Yuhao Guo Na Li Tingjiang Yan . Deciphering the structural evolution and real active ingredients of iron oxides in photocatalytic CO2 hydrogenation. Chinese Journal of Structural Chemistry, 2024, 43(8): 100348-100348. doi: 10.1016/j.cjsc.2024.100348

    18. [18]

      Yanan ZhouLi ShengLanlan ChenWenhua ZhangJinlong Yang . Axial coordinated iron-nitrogen-carbon as efficient electrocatalysts for hydrogen evolution and oxygen redox reactions. Chinese Chemical Letters, 2025, 36(1): 109588-. doi: 10.1016/j.cclet.2024.109588

    19. [19]

      Yunlong LiXinyu ZhangShuang LiuChunsheng LiQiang WangJin YeYong LuJiating Xu . Engineered iron-based metal-organic frameworks nanoplatforms for cancer theranostics: A mini review. Chinese Chemical Letters, 2025, 36(2): 110501-. doi: 10.1016/j.cclet.2024.110501

    20. [20]

      Cheng-Shuang WangBing-Yu ZhouYi-Feng WangCheng YuanBo-Han KouWei-Wei ZhaoJing-Juan Xu . Bifunctional iron-porphyrin metal-organic frameworks for organic photoelectrochemical transistor gating and biosensing. Chinese Chemical Letters, 2025, 36(3): 110080-. doi: 10.1016/j.cclet.2024.110080

Metrics
  • PDF Downloads(5)
  • Abstract views(1029)
  • HTML views(87)

通讯作者: 陈斌, bchen63@163.com
  • 1. 

    沈阳化工大学材料科学与工程学院 沈阳 110142

  1. 本站搜索
  2. 百度学术搜索
  3. 万方数据库搜索
  4. CNKI搜索
Address:Zhongguancun North First Street 2,100190 Beijing, PR China Tel: +86-010-82449177-888
Powered By info@rhhz.net

/

DownLoad:  Full-Size Img  PowerPoint
Return