Citation: ZHAN Ying-ying, KANG Liang, ZHOU Yu-chang, CAI Guo-hui, CHEN Chong-qi, JIANG Li-long. Pd/Al2O3 catalysts modified with Mg for catalytic combustion of methane: Effect of Mg/Al mole ratios on the supports and active PdOx formation[J]. Journal of Fuel Chemistry and Technology, ;2019, 47(10): 1235-1244. shu

Pd/Al2O3 catalysts modified with Mg for catalytic combustion of methane: Effect of Mg/Al mole ratios on the supports and active PdOx formation

  • Corresponding author: CHEN Chong-qi, chen0401357@163.com JIANG Li-long, jll@fzu.edu.cn
  • Received Date: 15 May 2019
    Revised Date: 8 August 2019

    Fund Project: Natural Science Foundation of Fujian Province 2016J01057The project was supported by the Natinal Nature Science Foundation of China (21878053) and Natural Science Foundation of Fujian Province (2016J01057)the Natinal Nature Science Foundation of China 21878053

Figures(7)

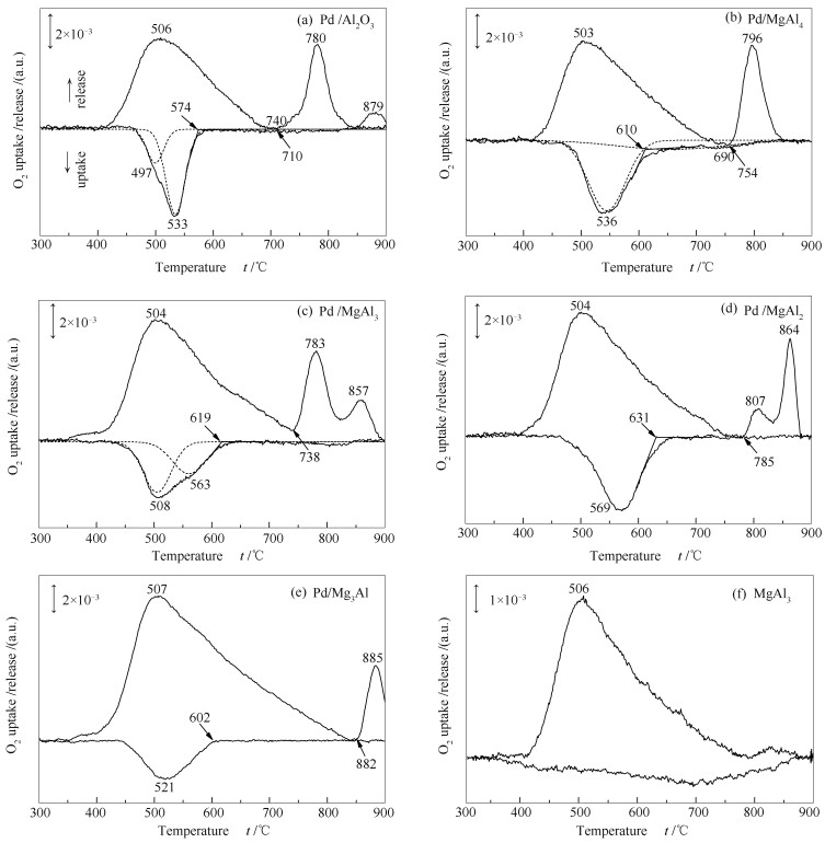
  • Pd/Al2O3 catalysts modified by different amount of magnesium were fabricated for catalytic combustion of methane (CCM). After the introduction of different amount of magnesium, Al2O3, MgAl2O4-like mixed oxide and Mg(Al)Ox solid solution were formed. Owing to the formation of distinguished supports, the supported Pd species, i.e. metallic Pd, PdOx and support-Pd oxide complex were formed, and they were quite different in relative content and Pd↔PdO transformation ability. It was found that PdOx was active at low temperature, while metallic Pd particles and support-Pd oxide complex were active at high reaction temperature. The one with Mg/Al mole ratio of 1:3 was the most easily in Pd↔PdO transformation, demonstrating the best catalytic activity towards CCM reaction.
  • 加载中
    1. [1]

      HAYES R E. Catalytic solutions for fugitive methane emissions in the oil and gas sector[J]. Chem Eng Sci, 2004,59(19):4073-4080. doi: 10.1016/j.ces.2004.04.038

    2. [2]

      HONG E, KIM C, LIM D H, CHO H J, SHIN C H. Catalytic methane combustion over Pd/ZrO2 catalysts:Effects of crystalline structure and textural properties[J]. Appl Catal B:Environ, 2018,232:544-552. doi: 10.1016/j.apcatb.2018.03.101

    3. [3]

      GLUHOI A C, NIEUWENHUYS B E. Catalytic oxidation of saturated hydrocarbons on multicomponent Au/Al2O3 catalysts:Effect of various promoters[J]. Catal Today, 2007,119(1):305-310.  

    4. [4]

      TOSO A, COLUSSI S, PADIGAPATY S, DE LEITENBURG C, TROVARELLI A. High stability and activity of solution combustion synthesized Pd-based catalysts for methane combustion in presence of water[J]. Appl Catal B:Environ, 2018,230:237-245. doi: 10.1016/j.apcatb.2018.02.049

    5. [5]

      CHEN J H, ARANDIYAN H, GAO X, LI J H. Recent advances in catalysts for methane combustion[J]. Catal Surv Asia, 2015,19(3):140-171. doi: 10.1007/s10563-015-9191-5

    6. [6]

      SU Y Q, FILOT I A W, LIU J X, HENSENG E J M. Stable Pd-doped ceria structures for CH4 activation and CO oxidation[J]. ACS Catal, 2018,8(1):75-80. doi: 10.1021/acscatal.7b03295

    7. [7]

      FRIBERG I, SADOKHINA N, OLSSON L. Complete methane oxidation over Ba modified Pd/Al2O3:The effect of water vapor[J]. Appl Catal B:Environ, 2018,231:242-250. doi: 10.1016/j.apcatb.2018.03.003

    8. [8]

      DAI Q G, ZHU Q, LOU Y, WANG X Y. Role of Bronsted acid site during catalytic combustion of methane over PdO/ZSM-5:Dominant or negligible?[J]. J Catal, 2018,357:29-40. doi: 10.1016/j.jcat.2017.09.022

    9. [9]

      CHIN Y H, GARCÍA-DIÉGUEZ M, IGLESIA E. Dynamics and thermodynamics of Pd-PdO phase transitions:Effects of Pd cluster size and kinetic implications for catalytic methane combustion[J]. J Phys Chem C, 2016,120(3):1446-1460. doi: 10.1021/acs.jpcc.5b06677

    10. [10]

      CHIN Y H, BUDA C, NEUROCK M, IGLESIA E. Consequences of metal-oxide interconversion for C-H bond activation during CH4 reactions on pd catalysts[J]. J Am Chem Soc, 2013,135(41):15425-15442. doi: 10.1021/ja405004m

    11. [11]

      MONTEIRO R S, ZEMLYANOV D, STOREY J M, RIBEIRO F H. Turnover rate and reaction orders for the complete oxidation of methane on a palladium foil in excess dioxygen[J]. J Catal, 2001,199(2):291-301. doi: 10.1006/jcat.2001.3176

    12. [12]

      WILLIS J J, GALLO A, SOKARAS D, ALJAMA H, NOWAK S H, GOODMAN ED, WU L, TASSONE CJ, JARAMILLO T F, ABILD-PEDERSEN F, CARGNELLO M. Systematic structure-property relationship studies in palladium-catalyzed methane complete combustion[J]. ACS Catal, 2017,7(11):7810-7821. doi: 10.1021/acscatal.7b02414

    13. [13]

      MURATA K, MAHARA Y, OHYAMA J, YAMAMOTO Y, ARAI S, SATSUMA A. The metal-support interaction concerning the particle size effect of Pd/Al2O3 on methane combustion[J]. Angew Chem Int Ed, 2017,56(50):15993-15997. doi: 10.1002/anie.201709124

    14. [14]

      HUANG F J, CHEN J J, HU W, LI G X, WU Y, YUAN S D, ZHONG L, CHEN Y Q. Pd or PdO:Catalytic active site of methane oxidation operated close to stoichiometric air-to-fuel for natural gas vehicles[J]. Appl Catal B:Environ, 2017,219:73-81. doi: 10.1016/j.apcatb.2017.07.037

    15. [15]

      FARRAUTO R J, LAMPERT J K, HOBSON M C, WATERMAN E M. Thermal decomposition and reformation of PdO catalysts; support effects[J]. Appl Catal B:Environ, 1995,6(3):263-270. doi: 10.1016/0926-3373(95)00015-1

    16. [16]

      NILSSON J, CARLSSON P-A, FOULADVAND S, MARTIN N M, GUSTAFSON J, NEWTON M A, LUNDGREN E, GRÖNBECK H, SKOGLUNDH M. Chemistry of supported palladium nanoparticles during methane oxidation[J]. ACS Catal, 2015,5(4):2481-2489. doi: 10.1021/cs502036d

    17. [17]

      ONN T M, ARROYO-RAMIREZ L, MONAI M, OH T S, TALATI M, FORNASIERO P, GORTE R J, KHADER M M. Modification of Pd/CeO2 catalyst by atomic layer deposition of ZrO2[J]. Appl Catal B:Environ, 2016,197:280-285. doi: 10.1016/j.apcatb.2015.12.028

    18. [18]

      BEN SAID I, SADOUKI K, MASSE S, CORADIN T, SMIRI LS, FESSI S. Advanced Pd/CexZr(l-x)O2/MCM-41 catalysts for methane combustion:Effect of the zirconium and cerium loadings[J]. Microporous Mesoporous Mater, 2018,260:93-101. doi: 10.1016/j.micromeso.2016.10.044

    19. [19]

      THEVENIN P O, ALCALDE A, PETTERSSON L J, JÄRÅS S G, FIERRO J L G. Catalytic combustion of methane over cerium-doped palladium catalysts[J]. J Catal, 2003,215(1):78-86. doi: 10.1016/S0021-9517(02)00146-X

    20. [20]

      COLUSSI S, TROVARELLI A, VESSELLI E, BARALDI A, COMELLI G, GROPPI G, LLORCA J. Structure and morphology of Pd/Al2O3 and Pd/CeO2/Al2O3 combustion catalysts in Pd-PdO transformation hysteresis[J]. Appl Catal A:Gen, 2010,390(1):1-10.  

    21. [21]

      SHI C, ZHANG P. Role of MgO over γ-Al2O3-supported Pd catalysts for carbon dioxide reforming of methane[J]. Appl Catal B:Environ, 2015,170-171:43-52. doi: 10.1016/j.apcatb.2015.01.034

    22. [22]

      YANG L F, SHI C K, HE X E, CAI J X. Catalytic combustion of methane over PdO supported on Mg-modified alumina[J]. Appl Catal B:Environ, 2002,38(2):117-125. doi: 10.1016/S0926-3373(02)00034-6

    23. [23]

      FENG J T, WANG H Y, EVANS D G, DUAN X, LI D Q. Catalytic hydrogenation of ethylanthraquinone over highly dispersed eggshell Pd/SiO2-Al2O3 spherical catalysts[J]. Appl Catal A:Gen, 2010,382(2):240-245. doi: 10.1016/j.apcata.2010.04.052

    24. [24]

      LI D, LI R, LU M, LIN X, ZHAN Y, JIANG L. Carbon dioxide reforming of methane over Ru catalysts supported on Mg-Al oxides:A highly dispersed and stable Ru/Mg(Al)O catalyst[J]. Appl Catal B:Environ, 2017,200:566-577. doi: 10.1016/j.apcatb.2016.07.050

    25. [25]

      LI D, LU M, CAI Y, CAO Y, ZHAN Y, JIANG L. Synthesis of high surface area MgAl2O4 spinel as catalyst support via layered double hydroxides-containing precursor[J]. Appl Clay Sci, 2016,132/13:243-250.  

    26. [26]

      OHI T, MIYATA T, LI D, SHISHIDO T, KAWABATA T, SANO T, TAKEHIRA K. Sustainability of Ni loaded Mg-Al mixed oxide catalyst in daily startup and shutdown operations of CH4 steam reforming[J]. Appl Catal A:Gen, 2006,308:194-203. doi: 10.1016/j.apcata.2006.04.025

    27. [27]

      LIN X, LI R, LU M, CHEN C, LI D, ZHAN Y, JIANG L. Carbon dioxide reforming of methane over Ni catalysts prepared from Ni-Mg-Al layered double hydroxides:Influence of Ni loadings[J]. Fuel, 2015,162:271-280. doi: 10.1016/j.fuel.2015.09.021

    28. [28]

      CAVANI F, TRIFIRÒ F, VACCARI A. Hydrotalcite-type anionic clays:Preparation, properties and applications[J]. Catal Today, 1991,11(2):173-301. doi: 10.1016/0920-5861(91)80068-K

    29. [29]

      SABERI A, GOLESTANI-FARD F, SARPOOLAKY H, WILLERT-PORADA M, GERDES T, SIMON R. Chemical synthesis of nanocrystalline magnesium aluminate spinel via nitrate-citrate combustion route[J]. J Alloy Compd, 2008,462(1):142-146.  

    30. [30]

      VILLA A, GAIASSI A, ROSSETTI I, BIANCHI C L, VAN BENTHEM K, VEITH G M, PRATI L. Au on MgAl2O4 spinels:The effect of support surface properties in glycerol oxidation[J]. J Catal, 2010,275(1):108-116. doi: 10.1016/j.jcat.2010.07.022

    31. [31]

      GROPPI G, CRISTIANI C, LIETTI L, FORZATTI P. Study of PdO/Pd transformation over alumina supported catalysts for natural gas combustion[J]. Stud Surf Sci Catal, 2000,130:3801-3806. doi: 10.1016/S0167-2991(00)80615-1

    32. [32]

      FARRAUTO R J, HOBSON M C, KENNELLY T, WATERMAN E M. Catalytic chemistry of supported palladium for combustion of methane[J]. Appl Catal A:Gen, 1992,81(2):227-237. doi: 10.1016/0926-860X(92)80095-T

    33. [33]

      MCCARTY J G. Kinetics of PdO combustion catalysis[J]. Catal Today, 1995,26(3):283-293.  

    34. [34]

      SCHWARTZ W R, PFEFFERLE L D. Combustion of methane over palladium-based catalysts:Support Interactions[J]. J Phys Chem C, 2012,116(15):8571-8578. doi: 10.1021/jp2119668

  • 加载中
    1. [1]

      Fanxin Kong Hongzhi Wang Huimei Duan . Inhibition effect of sulfation on Pt/TiO2 catalysts in methane combustion. Chinese Journal of Structural Chemistry, 2024, 43(5): 100287-100287. doi: 10.1016/j.cjsc.2024.100287

    2. [2]

      Sinong WangShanshan JinXue YangYanyan HuangPeng LiuYi TangYuliang Yang . Development of Mg-Al LDH and LDO as novel protective materials for deacidification of paper-based relics. Chinese Chemical Letters, 2024, 35(9): 109890-. doi: 10.1016/j.cclet.2024.109890

    3. [3]

      Guan-Nan Xing Di-Ye Wei Hua Zhang Zhong-Qun Tian Jian-Feng Li . Pd-based nanocatalysts for oxygen reduction reaction: Preparation, performance, and in-situ characterization. Chinese Journal of Structural Chemistry, 2023, 42(11): 100021-100021. doi: 10.1016/j.cjsc.2023.100021

    4. [4]

      Wencheng FangDong LiuYing ZhangHao FengQiang Li . Improved Photoelectrochemical Performance by Polyoxometalate-Modified CuBi2O4/Mg-CuBi2O4 Homojunction Photocathode. Acta Physico-Chimica Sinica, 2024, 40(2): 2304006-0. doi: 10.3866/PKU.WHXB202304006

    5. [5]

      Yatian DengDao WangJinglan ChengYunkun ZhaoZongbao LiChunyan ZangJian LiLichao Jia . A new popular transition metal-based catalyst: SmMn2O5 mullite-type oxide. Chinese Chemical Letters, 2024, 35(8): 109141-. doi: 10.1016/j.cclet.2023.109141

    6. [6]

      Linfeng LiBao WangTiantong ZhangXinyuan WangDingqiang FengWei LiJiangjiexing WuJinli Zhang . Identifying the catalytic active site of durable Ru-based liquid-phase catalyst for acetylene hydrochlorination. Chinese Chemical Letters, 2025, 36(10): 111303-. doi: 10.1016/j.cclet.2025.111303

    7. [7]

      Xiaoqiang WangFangyuan ZhouYue LiuZhongbiao Wu . CePO4 supported Cr catalyst with superior sulfur tolerance for selective catalytic oxidation of ammonia. Chinese Chemical Letters, 2025, 36(7): 110420-. doi: 10.1016/j.cclet.2024.110420

    8. [8]

      Qijun Tang Wenguang Tu Yong Zhou Zhigang Zou . High efficiency and selectivity catalyst for photocatalytic oxidative coupling of methane. Chinese Journal of Structural Chemistry, 2023, 42(12): 100170-100170. doi: 10.1016/j.cjsc.2023.100170

    9. [9]

      Wenlong LIXinyu JIAJie LINGMengdan MAAnning ZHOU . Photothermal catalytic CO2 hydrogenation over a Mg-doped In2O3-x catalyst. Chinese Journal of Inorganic Chemistry, 2024, 40(5): 919-929. doi: 10.11862/CJIC.20230421

    10. [10]

      Lina WangHairu WangQian BuQiong MeiJunbo ZhongBo BaiQizhao Wang . Al-O bridged NiFeOx/BiVO4 photoanode for exceptional photoelectrochemical water splitting. Chinese Chemical Letters, 2025, 36(4): 110139-. doi: 10.1016/j.cclet.2024.110139

    11. [11]

      Yunli XuXuwen DaLei WangYatong PengWanpeng ZhouXiulian LiuYao WuWentao WangXuesong WangQianxiong Zhou . Ru(Ⅱ)-based aggregation-induced emission (AIE) agents with efficient 1O2 generation, photo-catalytic NADH oxidation and anticancer activity. Chinese Chemical Letters, 2025, 36(5): 110168-. doi: 10.1016/j.cclet.2024.110168

    12. [12]

      Shuo LiXinran LiuYongjie ZhengJun MaShijie YouHeshan Zheng . Effective peroxydisulfate activation by CQDs-MnFe2O4@ZIF-8 catalyst for complementary degradation of bisphenol A by free radicals and non-radical pathways. Chinese Chemical Letters, 2024, 35(5): 108971-. doi: 10.1016/j.cclet.2023.108971

    13. [13]

      Yanling YangZhenfa DingHuimin WangJianhui LiYanping ZhengHongquan GuoLi ZhangBing YangQingqing GuHaifeng XiongYifei Sun . Dynamic tracking of exsolved PdPt alloy/perovskite catalyst for efficient lean methane oxidation. Chinese Chemical Letters, 2024, 35(4): 108585-. doi: 10.1016/j.cclet.2023.108585

    14. [14]

      Junhao DaiZhu HeXinhai LiGuochun YanHui DuanGuangchao LiZhixing WangHuajun GuoWenjie PengJiexi Wang . Ultrafast spray pyrolysis for synthesizing uniform Mg-doped LiNi0.9Co0.05Mn0.05O2. Chinese Chemical Letters, 2025, 36(6): 110063-. doi: 10.1016/j.cclet.2024.110063

    15. [15]

      Doudou LiuWeiwei GuoGuoliang MeiYoupeng DanRong YangChao HuangYanling ZhaiXiaoquan Lu . Application of catalyst Cu-t-ZrO2 based on the electronic metal-support interaction in electrocatalytic nitrate reduction. Chinese Chemical Letters, 2025, 36(8): 110578-. doi: 10.1016/j.cclet.2024.110578

    16. [16]

      Qinwen ZhengXin LiuLintao TianYi ZhouLibing LiaoGuocheng Lv . Mechanism of Fenton catalytic degradation of Rhodamine B induced by microwave and Fe3O4. Chinese Chemical Letters, 2025, 36(4): 109771-. doi: 10.1016/j.cclet.2024.109771

    17. [17]

      Ru DingChunfei WangE LvJingjing ZhaoXucong ZhouYuanyi LiYing WangBingxue LiLixia ZhangJin Zhou . A near-infrared fluorescent probe based on Au3+/Pd2+ complexes for glutathione sensing: Applications in acute liver injury, hepatocellular carcinoma, and ferroptosis exploration. Chinese Chemical Letters, 2025, 36(11): 111497-. doi: 10.1016/j.cclet.2025.111497

    18. [18]

      Gengchen GuoTianyu ZhaoRuichang SunMingzhe SongHongyu LiuSen WangJingwen LiJingbin Zeng . Au-Fe3O4 dumbbell-like nanoparticles based lateral flow immunoassay for colorimetric and photothermal dual-mode detection of SARS-CoV-2 spike protein. Chinese Chemical Letters, 2024, 35(6): 109198-. doi: 10.1016/j.cclet.2023.109198

    19. [19]

      Guangchang YangShenglong YangJinlian YuYishun XieChunlei TanFeiyan LaiQianqian JinHongqiang WangXiaohui Zhang . Regulating local chemical environment in O3-type layered sodium oxides by dual-site Mg2+/B3+ substitution achieves durable and high-rate cathode. Chinese Chemical Letters, 2024, 35(9): 109722-. doi: 10.1016/j.cclet.2024.109722

    20. [20]

      Gregorio F. Ortiz . Some facets of the Mg/Na3VCr0.5Fe0.5(PO4)3 battery. Chinese Chemical Letters, 2024, 35(10): 109391-. doi: 10.1016/j.cclet.2023.109391

Metrics
  • PDF Downloads(6)
  • Abstract views(1276)
  • HTML views(33)

通讯作者: 陈斌, bchen63@163.com
  • 1. 

    沈阳化工大学材料科学与工程学院 沈阳 110142

  1. 本站搜索
  2. 百度学术搜索
  3. 万方数据库搜索
  4. CNKI搜索
Address:Zhongguancun North First Street 2,100190 Beijing, PR China Tel: +86-010-82449177-888
Powered By info@rhhz.net

/

DownLoad:  Full-Size Img  PowerPoint
Return