Citation: WANG Chun-sheng, WANG Yi-shuang, CHEN Ming-qiang, TANG Zhi-yuan, ZHANG Han, YANG Zhong-lian, WANG Jun. Effect of Ce modified Co/SEP catalyst on hydrogen production via ethanol steam reforming[J]. Journal of Fuel Chemistry and Technology, ;2019, 47(5): 558-565. shu

Effect of Ce modified Co/SEP catalyst on hydrogen production via ethanol steam reforming

  • Corresponding author: WANG Chun-sheng, wangchunshengaust@163.com CHEN Ming-qiang, mqchen@aust.edu.cn
  • Received Date: 14 January 2019
    Revised Date: 16 February 2019

    Fund Project: the National Natural Science Foundation of China 51876001The project was supported by the National Natural Science Foundation of China (51876001 and 21376007), National Key Technology R&D Program of the Ministry of Science and Technology of China (2014BAD02B03) and China Postdoctoral Science Foundation (2018M642505)the National Natural Science Foundation of China 21376007China Postdoctoral Science Foundation 2018M642505National Key Technology R&D Program of the Ministry of Science and Technology of China 2014BAD02B03

Figures(7)

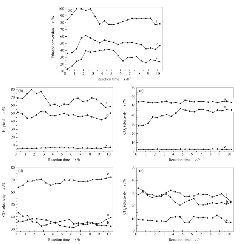
  • Co/SEP and Co-Ce/SEP catalysts were prepared by chemical precipitation method with sepiolite (SEP) as support. X-ray diffraction (XRD), H2-programmed reduction (H2-TPR) and transmission electron microscopy (TEM) were used to characterize the catalysts. It is proved that the addition of Ce significantly improved the dispersion and reducibility of the catalyst. The effects of Ce addition, reaction time, reaction temperature and steam/carbon (S/C) ratio on hydrogen production were investigated. The results show that the ethanol conversion and hydrogen production of Co-Ce/SEP are the highest values, 85% and 65%, respectively, when the WHSV is 20.5 h-1, the S/C ratio is 3 and the reaction temperature is 600℃. Meanwhile, the addition of Ce can make Co-Ce/SEP possess superior activity and stability.
  • 加载中
    1. [1]

      SOHN H, OZKAN U S. Cobalt-based catalysts for ethanol steam reforming:An overview[J]. Energy Fuels, 2016,30(7):5309-5322. doi: 10.1021/acs.energyfuels.6b00577

    2. [2]

      LI D, LI Y, GONG J. Catalytic reforming of oxygenates:State of the art and future prospects[J]. Chem Rev, 2016,116(19):11529-11653. doi: 10.1021/acs.chemrev.6b00099

    3. [3]

      HU En-yuan, YAN Chang-feng, CAI Chi-liu, HU Rong-rong. Experimental research on hydrogen production by catalytic steam reforming of bio-oil aqueous fraction[J]. J Fuel Chem Technol, 2009,37(2):177-182. doi: 10.3969/j.issn.0253-2409.2009.02.010 

    4. [4]

      DAN M, MIHET M, TASNADI-ASZTALOS Z, IMRE-LUCACI A, KATONA G, LAZAR M D. Hydrogen production by ethaol steam reforming on nickel catalysts:Effect of support modification by CeO2 and La2O3[J]. Fuel, 2015,147:260-268. doi: 10.1016/j.fuel.2015.01.050

    5. [5]

      ARSLAN A, DOǦU T. Effect of calcination/reduction temperature of Ni impregnated CeO2-ZrO2 catalysts on hydrogen yield and coke minimization in low temperature reforming of ethanol[J]. Int J Hydrogen Energy, 2016,41(38):16752-16761. doi: 10.1016/j.ijhydene.2016.07.082

    6. [6]

      CASANOVAS A, ROIG M, LEITENBURG C D, TROVARELLI A, LLORCA J. Ethanol steam reforming and water gas shift over Co/ZnO catalytic honeycombs doped with Fe, Ni, Cu, Cr and Na[J]. Int J Hydrogen Energy, 2010,35(15):7690-7698. doi: 10.1016/j.ijhydene.2010.05.099

    7. [7]

      DA SILVA A L M, DEN BREEJEN J P D, MATTOS L V, BITTER J H, DE JONG K P, NORONHA B F. Cobalt particle size effects on catalytic performance, for ethanol steam reforming-Smaller is better[J]. J Catal, 2014,318:67-74. doi: 10.1016/j.jcat.2014.07.020

    8. [8]

      SUN J, WANG Y, LI J, XIAO G, ZHANG L, LI H, CHENG Y, SUN C, CHENG Z, DONG Z, CHEN L. H2 production from stable ethanol steam reforming over catalyst of NiO based on flowerlike CeO2 microspheres[J]. Int J Hydrogen Energy, 2010,35(7):3087-3091. doi: 10.1016/j.ijhydene.2009.07.020

    9. [9]

      LONERGAN W W, VLACHOS D G, CHEN J. Correlating extent of Pt-Ni bond formation with low-temperature hydrogenation of benzene and 1, 3-butadiene over supported Pt/Ni bimetallic catalysts[J]. J Catal, 2010,271(2):239-250.  

    10. [10]

      VAGIA E C, LEMONIDOU A A. Investigations on the properties of ceria-zirconia-supported Ni and Rh catalysts and their performance in acetic acid steam reforming[J]. J Catal, 2010,269(2):388-396.  

    11. [11]

      DEMSASH H D, KONDAMUDI K V K, UPADHYAYULA R, MOHAN R. Ruthenium doped nickel-alumina-ceria catalyst in glycerol steam reforming[J]. Fuel Process Technol, 2018,169:150-156. doi: 10.1016/j.fuproc.2017.09.017

    12. [12]

      HE L, HU S, JIAN G, LIAO G, CHEN X, HAN H, XIAO L, REN Q, WANG Y, SU S, XIANG J. Carbon nanotubes formation and its influence on steam reforming of toluene over Ni/Al2O3 catalysts:Roles of catalyst supports[J]. Fuel Process Technol, 2018,176:7-14. doi: 10.1016/j.fuproc.2018.03.007

    13. [13]

      OCHOA A, ARREGI A, AMUTIO M, GAYUBO A G, OLAZAR M, BILBAO J, CASTAÑO P. Coking and sintering progress of a Ni supported catalyst in the steam reforming of biomass pyrolysis volatiles[J]. Appl Catal B:Environ, 2018,233:289-300. doi: 10.1016/j.apcatb.2018.04.002

    14. [14]

      HE L, HU S, JIANG L, SYED-HASSAN S S A, WANG Y, XU K, SU S, XIANG J, XIAO L, CHI H, CHEN X. Opposite effects of self-growth amorphous carbon and carbon nanotubes on the reforming of toluene with Ni/α-Al2O3 for hydrogen production[J]. Int J Hydrogen Energy, 2017,42:14439-144438. doi: 10.1016/j.ijhydene.2017.04.230

    15. [15]

      BARROSO M N, GOMEZ M F, ARRÚA L A, ABELLO M C. Co catalysts modified by rare earths(La, Ce or Pr) for hydrogen production[J]. Int J Hydrogen Energy, 2014,39(16):8712-8719. doi: 10.1016/j.ijhydene.2013.12.043

    16. [16]

      TURCZYNIAK S, TESCHNER D, MACHOCKI A, ZAFEIRATOS S. Effect of the surface state on the catalytic performance of a Co/CeO2 ethanol steam-reforming catalyst[J]. J Catal, 2016,340:321-330. doi: 10.1016/j.jcat.2016.05.017

    17. [17]

      LIN S S-Y, KIM D H, ENGELHARD M H, HA S Y. Water-induced formation of cobalt oxides over supported cobalt/ceria-zirconia catalysts under ethanol-steam conditions[J]. J Catal, 2010,273(2):229-235.  

    18. [18]

      LIU S, CHEN M, CHU L, YANG Z, ZHU C, WANG J, CHENG M. Catalytic steam reforming of bio-oil aqueous fraction for hydrogen production over Ni-Mo supported on modified sepiolite catalysts[J]. Int J Hydrogen Energy, 2013,38(10):3948-3955. doi: 10.1016/j.ijhydene.2013.01.117

    19. [19]

      LIANG T, WANG Y, CHEN M, YANG Z, LIU S, ZHOU Z, LI X, CHENG M. Steam reforming of phenol-ethanol to produce hydrogen over bimetallic Ni-Cu catalysts supported on sepiolite[J]. Int J Hydrogen Energy, 2017,42:28233-28246. doi: 10.1016/j.ijhydene.2017.09.134

    20. [20]

      CHEN Ming-qiang, LIANG Tian, WANG Yi-shuang, YANG Zhong-lian, LI Xiao-jing, ZHOU Zhong-shan. Hydrogen Production via Catalytic Steam Reforming of the Mixture of Phenol and Ethanol over Ni-Cu/Sepolite Catalyst[J]. J Anhui Univ Sci Technol (Nat Sci), 2017, (6): 46-51, 75. 

    21. [21]

      WANG Yi-shuang, CHEN Ming-qiang, LIU Shao-min, YANG Zhong-lian, SHEN Chao-ping, LIU Ke. Hydrogen production via catalytic steam reforming of bio-oil model compounds over NiO-Fe2O3-loaded palygouskite[J]. J Fuel Chem Technol, 2015,43(12):1470-1475. doi: 10.3969/j.issn.0253-2409.2015.12.010 

    22. [22]

      DOBOSZ J, CICHY M, ZAWADZKI M, BOROWIECKI T. Glycerol steam reforming over calcium hydroxyapatite supported cobalt and cobalt-cerium catalysts[J]. J Energy Chem, 2018,27(2):404-412. doi: 10.1016/j.jechem.2017.12.004

    23. [23]

      SONG H, OZKAN US. The role of impregnation medium on the activity of ceria-supported cobalt catalysts for ethanol steam reforming[J]. J Mol Catal A:Chem, 2010,318(1):21-29.  

    24. [24]

      LIN S S-Y, DAIMON H, HA S Y. Co/CeO2-ZrO2 catalysts prepared by impregnation and coprecipitation for ethanol steam reforming[J]. Appl Catal A:Gen, 2009,366(2):252-261. doi: 10.1016/j.apcata.2009.07.010

    25. [25]

      CARVALHO F L S, ASENCIOS Y J O, BELLIDO J D A, ASSAF E M. Bio-ethanol steam reforming for hydrogen production over Co3O4/CeO2 catalysts synthesized by one-step polymerization method[J]. Fuel Process Technol, 2016,142:182-191. doi: 10.1016/j.fuproc.2015.10.010

    26. [26]

      MARCOS F C F, LUCREDIO A F, ASSAF E M. Effects of adding basic oxides of La and/or Ce to SiO2-supported Co catalysts for ethanol steam reforming[J]. RSC Adv, 2014,4:43839-43849. doi: 10.1039/C4RA04157G

    27. [27]

      HU X, LU G. Acetic acid steam reforming to hydrogen over Co-Ce/Al2O3and Co-La/Al2O3 catalysts-The promotion effect of Ce and La addition[J]. Catal Commun, 2011,12(1):50-53.  

    28. [28]

      LI L, TANG D, SONG Y, JIANG B, ZHANG Q. Hydrogen production from ethanol steam reforming on Ni-Ce/MMT catalysts[J]. Energy, 2018,149:937-943. doi: 10.1016/j.energy.2018.02.116

    29. [29]

      ARAIZA D G, GÓMEZ-CORTÉS A, DÍAZ G. Effect of ceria morphology on the carbon deposition during steam reforming of ethanol over Ni/CeO2catalysts[J]. Catal Today, 2018. doi: 10.1016/j.cattod.2018.03.016

    30. [30]

      ZOU X, CHEN T, ZHANG P, CHEN D, HE J, DANG Y, MA Z, CHEN Y, TOLOUEINIA P, ZHU C, XIE J, LIU H, SUIB S L. High catalytic performance of Fe-Ni/Palygorskite in the steam reforming of toluene for hydrogen production[J]. Appl Energy, 2018(226):827-837.  

    31. [31]

      YANG Yu, MA Jian-xin. Effect of nickel loading on the production of hydrogen via ethanol steam reforming[J]. J Fuel Chem Technol, 2006,34(3):337-342. doi: 10.3969/j.issn.0253-2409.2006.03.016 

    32. [32]

      BEPARI S, BASU S, PRADHAN N C, DALAI A Y. Steam reforming of ethanol over cerium-promoted Ni-Mg-Al hydrotalcite catalysts[J]. Catal Today, 2017,291:47-57. doi: 10.1016/j.cattod.2017.01.027

    33. [33]

      WANG S, ZHANG F, CAI Q, LI X, ZHU L, WANG Q, LUO Z. Catalytic steam reforming of bio-oil model compounds for hydrogen production over coal ash supported Ni catalyst[J]. Int J Hydrogen Energy, 2014,39(5):2018-2025. doi: 10.1016/j.ijhydene.2013.11.129

  • 加载中
    1. [1]

      Xue LiuLipeng WangLuling LiKai WangWenju LiuBiao HuDaofan CaoFenghao JiangJunguo LiKe Liu . Research on Cu-Based and Pt-Based Catalysts for Hydrogen Production through Methanol Steam Reforming. Acta Physico-Chimica Sinica, 2025, 41(5): 100049-0. doi: 10.1016/j.actphy.2025.100049

    2. [2]

      Xuejie WangGuoqing CuiCongkai WangYang YangGuiyuan JiangChunming Xu . Research Progress on Carbon-based Catalysts for Catalytic Dehydrogenation of Liquid Organic Hydrogen Carriers. Acta Physico-Chimica Sinica, 2025, 41(5): 100044-0. doi: 10.1016/j.actphy.2024.100044

    3. [3]

      Juan WANGZhongqiu WANGQin SHANGGuohong WANGJinmao LI . NiS and Pt as dual co-catalysts for the enhanced photocatalytic H2 production activity of BaTiO3 nanofibers. Chinese Journal of Inorganic Chemistry, 2024, 40(9): 1719-1730. doi: 10.11862/CJIC.20240102

    4. [4]

      Qingqing SHENXiangbowen DUKaicheng QIANZhikang JINZheng FANGTong WEIRenhong LI . Self-supporting Cu/α-FeOOH/foam nickel composite catalyst for efficient hydrogen production by coupling methanol oxidation and water electrolysis. Chinese Journal of Inorganic Chemistry, 2024, 40(10): 1953-1964. doi: 10.11862/CJIC.20240028

    5. [5]

      Asif Hassan RazaShumail FarhanZhixian YuYan Wu . Double S-Scheme ZnS/ZnO/CdS Heterostructure Photocatalyst for Efficient Hydrogen Production. Acta Physico-Chimica Sinica, 2024, 40(11): 2406020-0. doi: 10.3866/PKU.WHXB202406020

    6. [6]

      Xiaogang Liu Mengyu Chen Yanyan Li Xiantao Ma . Experimental Reform in Applied Chemistry for Cultivating Innovative Competence: A Case Study of Catalytic Hydrogen Production from Liquid Formaldehyde Reforming at Room Temperature. University Chemistry, 2025, 40(7): 300-307. doi: 10.12461/PKU.DXHX202408007

    7. [7]

      Qiangqiang SUNPengcheng ZHAORuoyu WUBaoyue CAO . Multistage microporous bifunctional catalyst constructed by P-doped nickel-based sulfide ultra-thin nanosheets for energy-efficient hydrogen production from water electrolysis. Chinese Journal of Inorganic Chemistry, 2024, 40(6): 1151-1161. doi: 10.11862/CJIC.20230454

    8. [8]

      Yuchen ZhouHuanmin LiuHongxing LiXinyu SongYonghua TangPeng Zhou . Designing thermodynamically stable noble metal single-atom photocatalysts for highly efficient non-oxidative conversion of ethanol into high-purity hydrogen and value-added acetaldehyde. Acta Physico-Chimica Sinica, 2025, 41(6): 100067-0. doi: 10.1016/j.actphy.2025.100067

    9. [9]

      Lele FengXueying BaiJifeng PangHongchen CaoXiaoyan LiuWenhao LuoXiaofeng YangPengfei WuMingyuan Zheng . Single-atom Pd boosted Cu catalysts for ethanol dehydrogenation. Acta Physico-Chimica Sinica, 2025, 41(9): 100100-0. doi: 10.1016/j.actphy.2025.100100

    10. [10]

      Dingwen CHENSiheng YANGHaiyan FUHua CHENXueli ZHENGWeichao XUEJiaqi XURuixiang LI . NiOOH-mediated synthesis of gold nanoaggregates for electrocatalytic performance for selective oxidation of glycerol to glycolate. Chinese Journal of Inorganic Chemistry, 2025, 41(11): 2317-2326. doi: 10.11862/CJIC.20250053

    11. [11]

      Yi RUTao MENGZhaoteng XUEDongsen MAO . Synergistic catalysis of Al distribution and pore structure in ZSM-5 zeolite for bioethanol-to-propylene. Chinese Journal of Inorganic Chemistry, 2026, 42(2): 247-262. doi: 10.11862/CJIC.20250255

    12. [12]

      Haodong JINQingqing LIUChaoyang SHIDanyang WEIJie YUXuhui XUMingli XU . NiCu/ZnO heterostructure photothermal electrocatalyst for efficient hydrogen evolution reaction. Chinese Journal of Inorganic Chemistry, 2025, 41(6): 1068-1082. doi: 10.11862/CJIC.20250048

    13. [13]

      Wenruo NIHongpeng LIYun ZHANGYiran TIANJiehui RUIYingcheng TONGXiaolin PIZhenyan TANG . Research progress of ruthenium alloy catalysts in hydrogen evolution reaction. Chinese Journal of Inorganic Chemistry, 2026, 42(1): 23-44. doi: 10.11862/CJIC.20250188

    14. [14]

      Zhiqiang XINGJinling LIUMingmin SULei ZHANGLijun YANG . CoNi dual-single-atom catalyst for electrocatalytic H2O2 production and in situ electro-Fenton degradation of pollutants. Chinese Journal of Inorganic Chemistry, 2025, 41(12): 2479-2490. doi: 10.11862/CJIC.20250181

    15. [15]

      Dan Li Hui Xin Xiaofeng Yi . Comprehensive Experimental Design on Ni-based Catalyst for Biofuel Production. University Chemistry, 2024, 39(8): 204-211. doi: 10.3866/PKU.DXHX202312046

    16. [16]

      Huiwei DingBo PengZhihao WangQiaofeng Han . Advances in Metal or Nonmetal Modification of Bismuth-Based Photocatalysts. Acta Physico-Chimica Sinica, 2024, 40(4): 2305048-0. doi: 10.3866/PKU.WHXB202305048

    17. [17]

      Yushan CaiFang-Xing Xiao . Revisiting MXenes-based Photocatalysis Landscape: Progress, Challenges, and Future Perspectives. Acta Physico-Chimica Sinica, 2024, 40(8): 2306048-0. doi: 10.3866/PKU.WHXB202306048

    18. [18]

      Yuanyin CuiJinfeng ZhangHailiang ChuLixian SunKai Dai . Rational Design of Bismuth Based Photocatalysts for Solar Energy Conversion. Acta Physico-Chimica Sinica, 2024, 40(12): 2405016-0. doi: 10.3866/PKU.WHXB202405016

    19. [19]

      Ying Chen Ronghua Yan Weiyan Yin . Research Progress on the Synthesis of Metal Single-Atom Catalysts and Their Applications in Electrocatalytic Hydrogen Evolution Reactions. University Chemistry, 2025, 40(9): 344-353. doi: 10.12461/PKU.DXHX202503066

    20. [20]

      Yifan ZHAOQiyun MAOMeijing GUOGuoying ZHANGTongliang HU . Z-scheme bismuth-based multi-site heterojunction: Synthesis and hydrogen production from photocatalytic hydrogen production. Chinese Journal of Inorganic Chemistry, 2025, 41(7): 1318-1330. doi: 10.11862/CJIC.20250001

Metrics
  • PDF Downloads(6)
  • Abstract views(1478)
  • HTML views(238)

通讯作者: 陈斌, bchen63@163.com
  • 1. 

    沈阳化工大学材料科学与工程学院 沈阳 110142

  1. 本站搜索
  2. 百度学术搜索
  3. 万方数据库搜索
  4. CNKI搜索
Address:Zhongguancun North First Street 2,100190 Beijing, PR China Tel: +86-010-82449177-888
Powered By info@rhhz.net

/

DownLoad:  Full-Size Img  PowerPoint
Return