Citation: LIU Zhen-zhen, FANG Meng-xiang, MA Shuai, LUO Zhong-yang. Hydrogenation of coal tar on NiMoP/γ-Al2O3 catalyst[J]. Journal of Fuel Chemistry and Technology, ;2016, 44(5): 579-586. shu

Hydrogenation of coal tar on NiMoP/γ-Al2O3 catalyst

  • Corresponding author: LUO Zhong-yang, zyluo@zju.edu.cn
  • Received Date: 26 November 2015
    Revised Date: 15 February 2016

    Fund Project: Programme of Introducing Talents of Discipline to Universities B08026International Cooperative Programme 2011DFR60190the National High Technology Research of China 2013AA051203the National High Technology Research of China 863 program

Figures(11)

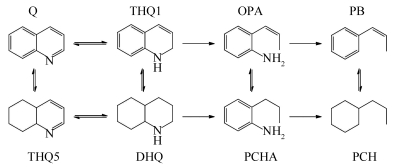
  • The NiMoP/γ-Al2O3 catalyst was prepared through a multi-step impregnation method and characterized by inductively coupled plasma mass spectrometry (ICP-MS), N2 adsorption-desorption, transmission electron microscope (TEM) and H2 temperature programmed reduction (H2-TPR). The catalyst with 4%Ni is determined to be the best one with optimum component proportion by the tests with model compounds in a fixed-bed reactor. The coal tar hydrogenation was conducted over the optimum catalyst. The results reveal that the removal of carbolic oil can promote the removal of S and N and the saturation of aromatics.
  • 加载中
    1. [1]

      BALSTER L M, CORPORAN E, DEWITT M J. Development of an advanced, thermally stable, coal-based jet fuel[J]. Fuel Process Technol, 2008,89(4):364-378. doi: 10.1016/j.fuproc.2007.11.018

    2. [2]

      YAN Jing, LÜ Cai-shan, LIU Ai-hua, DA Jian-wen. Production of gsoline and desel ol by hdrogenation of hgh tmperature cal tar[J]. Petrochem Technol, 2006,35(1):33-36.  

    3. [3]

      PAN Hai-tao, GAO Ge, LEI Zhen, LU Jiang-yin. Hydrocracking pocess of cal tar over Co-Mo/γ-Al2O3 catalysts[J]. Petrochem Technol, 2014,43(5):517-522.  

    4. [4]

      LI Da-dong. Hydroteating Technology and Engineering[M]. Beijing: China Petrochemical Press, 2004.

    5. [5]

      ZHOU Tong-na, YIN Hai-liang, HAN Mei-na, CHAI Yong-ming, LIU Yun-qi, LIU Chen-guang. Influences of different phosphorus contents on NiMoP/Al2O3 hydrotreating catalysts[J]. J Fuel Chem Technol, 2009,37(3):330-334. doi: 10.1016/S1872-5813(09)60023-2 

    6. [6]

      SHI Lei, ZHANG Zeng-hui, QIU Ze-gang, GUO Fang, ZHANG Wei, ZHAO Liang-fu. Effect of phosphorus modification on the catalytic properties of Mo-Ni/Al2O3 in the hydrodenitrogenation of coal tar[J]. J Fuel Chem Technol, 2015,43(1):74-80. doi: 10.1016/S1872-5813(15)60007-X 

    7. [7]

      FERDOUS D, DALAI A K, ADJAYE J. A series of NiMo/Al2O3 catalysts containing boron and phosphorus: Part Ⅰ. Synthesis and characterization[J]. Appl Catal A: Gen, 2004,260(2):137-151. doi: 10.1016/j.apcata.2003.10.010

    8. [8]

      WANG Yong-gang, ZHANG Hai-yong, ZHANG Pei-zhong, XU De-ping, ZHAO Kuan, WANG Fang-jie. Hydroprocessing of low temperature coal tar on NiW/γ-Al2O3 catalyst[J]. J Fuel Chem Technol, 2012,40(12):1492-1497.  

    9. [9]

      FAN Jian-feng, ZHANG Zhong-qing, YAO Chun-lei, QUAN Hui. Study on hydrogenation of medium temperature coal tar to clean fuel[J]. J Chin Coal Soc, 2013,38(10):1868-1872.  

    10. [10]

      ZHAN Feng-tao, LÜ Zhi-feng, WANG Luo-qiu, SU Yi-xun, QUE Guo-he. Identification of phenolic compounds in LCO and their effects on stability of diesels[J]. J Fuel Chem Technol, 2000,28(1):59-62.  

    11. [11]

      WU Shi-kui, LIANG Cao-lin, HUANG Ke-ming, HU Zhi-hua, XIE Tao. Effects of components of FCC gasoline on its storage stability[J]. Acta Pet Sin, 2008,4:478-483.  

    12. [12]

      PHILIPPE M, RICHARD F, HUDEBINE D, BRUNET S. Inhibiting effect of oxygenated model compounds on the HDS of dibenzothiophenes over CoMoP/Al2O3 catalyst[J]. Appl Catal A: Gen, 2010,383(1):14-23.  

    13. [13]

      XIA Liang-yan, XIA Zhi-xiang, FANG Meng-xiang, TANG Wei, WANG Qin-hui, LUO Zhong-yang. Hydrogenation saturation of aromatic compounds (naphthalene) in coal tar[J]. J Zhejiang Univ (Eng Sci), 2015,49(3):578-584.  

    14. [14]

      WANDAS R, SURYGALA J, OLLIWKA E. Conversion of cresols and naphthalene in the hydroprocessing of three-component model mixtures simulating fast pyrolysis tars[J]. Fuel, 1996,75(6):687-694. doi: 10.1016/0016-2361(96)00011-7

    15. [15]

      SALERNO P, MENDIOROZ S, AGUDO A L. Al-pillared montmorillonite-based NiMo catalysts for HDS and HDN of gas oil: Influence of the method and order of Mo and Ni impregnation[J]. Appl Catal A: Gen, 2004,259(1):17-28. doi: 10.1016/j.apcata.2003.09.019

    16. [16]

      FERDOUS D, DALAI A K, ADJAYE J. A series of NiMo/Al2O3 catalysts containing boron and phosphorus: Part Ⅰ. Synthesis and characterization[J]. Appl Catal A: Gen, 2004,260(2):137-151. doi: 10.1016/j.apcata.2003.10.010

    17. [17]

      FERDOUS D, DALAI A K, ADJAYE J. A series of NiMo/Al2O3 catalysts containing boron and phosphorus: Part Ⅱ. Hydrodenitrogenation and hydrodesulfurization using heavy gas oil derived from Athabasca bitumen[J]. Appl Catal A: Gen, 2004,260(2):153-162. doi: 10.1016/j.apcata.2003.10.009

    18. [18]

      KNUDSEN K G, COOPER B H, TOPSØE H. Catalyst and process technologies for ultra low sulfur diesel[J]. Appl Catal A: Gen, 1999,189(2):205-215. doi: 10.1016/S0926-860X(99)00277-X

    19. [19]

      JIAN M, PRINS R. Mechanism of the hydrodenitrogenation of quinoline over NiMo (P)/Al2O3 catalysts[J]. Ind Eng Chem Res, 1998,179(1):18-27.

    20. [20]

      LU M, WANG A, LI X, DUAN X P, TENG Y, WANG Y, SONG C S, HU Y K. Hydrodenitrogenation of quinoline catalyzed by MCM-41-supported nickel phosphides[J]. Energy Fuels, 2007,21(2):554-560. doi: 10.1021/ef060467g

    21. [21]

      ZUO D, LI D, NIE H, SHI Y, LACROIX M, VRINAT M. Acid-base properties of NiW/Al2O3 sulfided catalysts: Relationship with hydrogenation, isomerization and hydrodesulfurization reactions[J]. J Mol Catal A: Chem, 2004,211(1/2):179-189.  

    22. [22]

      MIKI Y, SUGIMOTO Y. Hydrocracking of polycyclic aromatic compounds. 1. Methylnaphthalenes[J]. Fuel Process Technol,, 1995,43(2):137-146. doi: 10.1016/0378-3820(95)00005-R

    23. [23]

      LI Hui-feng, LIU Feng, LIU Ze-long, LI Ming-feng, NIE Hong. Hydrogenation of phenanthrene over different catalysts[J]. Acta Pet Sin, 2011,27(1):20-25.  

    24. [24]

      COOPER B H, DONNIS B. Aromatic saturation of distillates: An overview[J]. Appl Catal A: Gen, 1996,137(2):203-223. doi: 10.1016/0926-860X(95)00258-8

  • 加载中
    1. [1]

      Hailian TangSiyuan ChenQiaoyun LiuGuoyi BaiBotao QiaoLiu Fei . Stabilized Rh/hydroxyapatite Catalyst for Furfuryl Alcohol Hydrogenation: Application of Oxidative Strong Metal-Support Interactions in Reducing Conditions. Acta Physico-Chimica Sinica, 2025, 41(4): 100036-0. doi: 10.3866/PKU.WHXB202408004

    2. [2]

      Rui HUANGShengjie LIUQingyuan WUNanfeng ZHENG . Enhanced selectivity of catalytic hydrogenation of halogenated nitroaromatics by interfacial effects. Chinese Journal of Inorganic Chemistry, 2025, 41(1): 201-212. doi: 10.11862/CJIC.20240356

    3. [3]

      Wenlong LIXinyu JIAJie LINGMengdan MAAnning ZHOU . Photothermal catalytic CO2 hydrogenation over a Mg-doped In2O3-x catalyst. Chinese Journal of Inorganic Chemistry, 2024, 40(5): 919-929. doi: 10.11862/CJIC.20230421

    4. [4]

      Weihan ZhangMenglu WangAnkang JiaWei DengShuxing Bai . Surface Sulfur Species Influence Hydrogenation Performance of Palladium-Sulfur Nanosheets. Acta Physico-Chimica Sinica, 2024, 40(11): 2309043-0. doi: 10.3866/PKU.WHXB202309043

    5. [5]

      Feifei YangWei ZhouChaoran YangTianyu ZhangYanqiang Huang . Enhanced Methanol Selectivity in CO2 Hydrogenation by Decoration of K on MoS2 Catalyst. Acta Physico-Chimica Sinica, 2024, 40(7): 2308017-0. doi: 10.3866/PKU.WHXB202308017

    6. [6]

      Qinhui GuanYuhao GuoNa LiJing LiTingjiang Yan . Molecular sieve-mediated indium oxide catalysts for enhancing photocatalytic CO2 hydrogenation. Acta Physico-Chimica Sinica, 2025, 41(11): 100133-0. doi: 10.1016/j.actphy.2025.100133

    7. [7]

      Liuyun ChenWenju WangTairong LuXuan LuoXinling XieKelin HuangShanli QinTongming SuZuzeng QinHongbing Ji . Soft template-induced deep pore structure of Cu/Al2O3 for promoting plasma-catalyzed CO2 hydrogenation to DME. Acta Physico-Chimica Sinica, 2025, 41(6): 100054-0. doi: 10.1016/j.actphy.2025.100054

    8. [8]

      Yongqing XuYuyao YangMengna WuXiaoxiao YangXuan BieShiyu ZhangQinghai LiYanguo ZhangChenwei ZhangRobert E. PrzekopBogna SztorchDariusz BrzakalskiHui Zhou . Review on Using Molybdenum Carbides for the Thermal Catalysis of CO2 Hydrogenation to Produce High-Value-Added Chemicals and Fuels. Acta Physico-Chimica Sinica, 2024, 40(4): 2304003-0. doi: 10.3866/PKU.WHXB202304003

    9. [9]

      Xiaorui ChenXuan LuoTongming SuXinling XieLiuyun ChenYuejing BinZuzeng QinHongbing Ji . Ga-doped Cu/γ-Al2O3 bifunctional interface sites promote the direct hydrogenation of CO2 to DME. Acta Physico-Chimica Sinica, 2025, 41(10): 100126-0. doi: 10.1016/j.actphy.2025.100126

    10. [10]

      Lanhui Zhang Ruiyuan Xu Yingying Weng Wanmei Li . Sapindus: Endless Wonders of “Soap”, Infinite Possibilities of “Oil”. University Chemistry, 2025, 40(11): 210-215. doi: 10.12461/PKU.DXHX202412032

    11. [11]

      Yue ZhangBao LiLixin Wu . GO-Assisted Supramolecular Framework Membrane for High-Performance Separation of Nanosized Oil-in-Water Emulsions. Acta Physico-Chimica Sinica, 2024, 40(5): 2305038-0. doi: 10.3866/PKU.WHXB202305038

    12. [12]

      Yongqing Kuang Jie Liu Jianjun Feng Wen Yang Shuanglian Cai Ling Shi . Experimental Design for the Two-Step Synthesis of Paracetamol from 4-Hydroxyacetophenone. University Chemistry, 2024, 39(8): 331-337. doi: 10.12461/PKU.DXHX202403012

    13. [13]

      Lu XUChengyu ZHANGWenjuan JIHaiying YANGYunlong FU . Zinc metal-organic framework with high-density free carboxyl oxygen functionalized pore walls for targeted electrochemical sensing of paracetamol. Chinese Journal of Inorganic Chemistry, 2024, 40(5): 907-918. doi: 10.11862/CJIC.20230431

    14. [14]

      Zhongyan Cao Shengnan Jin Yuxia Wang Yiyi Chen Xianqiang Kong Yuanqing Xu . Advances in Highly Selective Reactions Involving Phenol Derivatives as Aryl Radical Precursors. University Chemistry, 2025, 40(4): 245-252. doi: 10.12461/PKU.DXHX202405186

    15. [15]

      Shengbiao Zheng Liang Li Nini Zhang Ruimin Bao Ruizhang Hu Jing Tang . Metal-Organic Framework-Derived Materials Modified Electrode for Electrochemical Sensing of Tert-Butylhydroquinone: A Recommended Comprehensive Chemistry Experiment for Translating Research Results. University Chemistry, 2024, 39(7): 345-353. doi: 10.3866/PKU.DXHX202310096

Metrics
  • PDF Downloads(2)
  • Abstract views(2834)
  • HTML views(160)

通讯作者: 陈斌, bchen63@163.com
  • 1. 

    沈阳化工大学材料科学与工程学院 沈阳 110142

  1. 本站搜索
  2. 百度学术搜索
  3. 万方数据库搜索
  4. CNKI搜索
Address:Zhongguancun North First Street 2,100190 Beijing, PR China Tel: +86-010-82449177-888
Powered By info@rhhz.net

/

DownLoad:  Full-Size Img  PowerPoint
Return