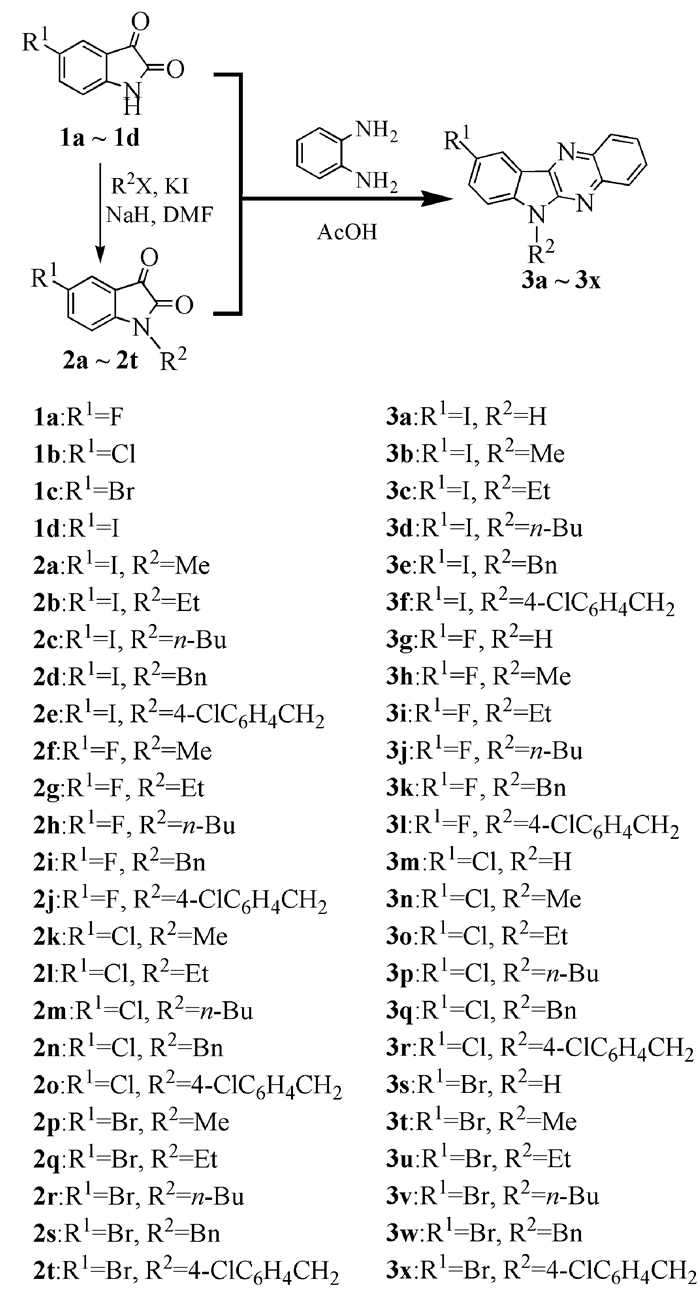
Study on Syntheses of Halo-Functionalized 6-Hydrogen (hydrocarbyl)-6H-Indolo[2, 3-b]quinoxaline
- Corresponding author: Gao Wentao, isfc@bhu.edu.cn
Citation:
Wang Dongfang, Fu Xinbo, Zhao Yanan, Li Yang, Gao Wentao. Study on Syntheses of Halo-Functionalized 6-Hydrogen (hydrocarbyl)-6H-Indolo[2, 3-b]quinoxaline[J]. Chemistry,
;2017, 80(1): 69-76.
J Harmenberg, A Åkesson-Johansson, A Gräslund et al. Antivir. Res., 1991, 15(3):193-204.
M A Naylor, M A Stephens, J Nolan et al. Anti-Cancer Drug Des., 1993, 8(6):439-461.
J Harmenberg, B Wahren, J Bergman et al. Antimicrob. Agents Chem., 1988, 32(11):1720-1724.
G Behravan, M Leijon, U Sehlstedt et al. Biopolymers, 1994, 34(5):599-609.
P B Arimondo, B Baldeyrou, W Laine et al. Chem.-Biol. Interact., 2001, 138(1):59-75.
J Bergman, C Damberg, H Vallberg. Recl. Trav. Chim. Pays-Bas, 1996, 115(1):31-36.
I Zegar, A Gräslund, J Bergman et al. Chem.-Biol. Interact., 1989, 72(3):277-293.
M O Shibinskaya, S A Lyakhov, A V Mazepa et al. Eur. J. Med. Chem., 2010, 45(3):1237-1243.
G Bhaskar, Y Arun, C Balachandran et al. Eur. J. Med. Chem., 2012, 51:79-91.
S J Garden, J C Torres, S C D S Melo et al. Tetrahed. Lett., 2001, 42(11):2089-2092.
L Zhou, Y Liu, W Zhang et al. J. Med. Chem., 2006, 49(12):3440-3443.
M Lv, H Zheng, Y Li et al. Res. Chem. Intermed., 2015, 41(10):6927-6939.
Zhilian Liu , Wengui Wang , Hongxiao Yang , Yu Cui , Shoufeng Wang . Ideological and Political Education Design for the Synthesis of Irinotecan Drug Intermediate 7-Ethyl Camptothecin. University Chemistry, 2024, 39(2): 89-93. doi: 10.3866/PKU.DXHX202306012
Shiyan Cheng , Yonghong Ruan , Lei Gong , Yumei Lin . Research Advances in Friedel-Crafts Alkylation Reaction. University Chemistry, 2024, 39(10): 408-415. doi: 10.12461/PKU.DXHX202403024
Xuefei Zhao , Xuhong Hu , Zhenhua Jia . 理论与计算化学在傅-克烷基化反应教学中的应用. University Chemistry, 2025, 40(8): 360-367. doi: 10.12461/PKU.DXHX202410008
Zhenhuan Wang , Weifei Wei , Ruijie Ma , Dou Luo , Zhanxiang Chen , Jun Zhang , Liyang Yu , Gang Li , Zhenghui Luo . Core cyanation of benzo[a]phenazine acceptor enables 19.04% binary organic solar cells with green solvent compatibility. Acta Physico-Chimica Sinica, 2026, 42(2): 100182-0. doi: 10.1016/j.actphy.2025.100182
Dong Xiang , Kunzhen Li , Kanghua Miao , Ran Long , Yujie Xiong , Xiongwu Kang . Amine-Functionalized Copper Catalysts: Hydrogen Bonding Mediated Electrochemical CO2 Reduction to C2 Products and Superior Rechargeable Zn-CO2 Battery Performance. Acta Physico-Chimica Sinica, 2024, 40(8): 2308027-0. doi: 10.3866/PKU.WHXB202308027
Yonghui ZHOU , Rujun HUANG , Dongchao YAO , Aiwei ZHANG , Yuhang SUN , Zhujun CHEN , Baisong ZHU , Youxuan ZHENG . Synthesis and photoelectric properties of fluorescence materials with electron donor-acceptor structures based on quinoxaline and pyridinopyrazine, carbazole, and diphenylamine derivatives. Chinese Journal of Inorganic Chemistry, 2024, 40(4): 701-712. doi: 10.11862/CJIC.20230373
Shiyang He , Dandan Chu , Zhixin Pang , Yuhang Du , Jiayi Wang , Yuhong Chen , Yumeng Su , Jianhua Qin , Xiangrong Pan , Zhan Zhou , Jingguo Li , Lufang Ma , Chaoliang Tan . Pt Single-Atom-Functionalized 2D Al-TCPP MOF Nanosheets for Enhanced Photodynamic Antimicrobial Therapy. Acta Physico-Chimica Sinica, 2025, 41(5): 100046-0. doi: 10.1016/j.actphy.2025.100046
Yunhao Zhang , Yinuo Wang , Siran Wang , Dazhen Xu . Progress in Selective Construction of Functional Aromatics from Nitrogenous Cycloalkanes. University Chemistry, 2024, 39(11): 136-145. doi: 10.3866/PKU.DXHX202401083
Ke Zhao , Zhen Liu , Luyao Liu , Changyuan Yu , Jingshun Pan , Xuguang Huang . Functionalized Reflective Structure Fiber-Optic Interferometric Sensor for Trace Detection of Lead Ions. Acta Physico-Chimica Sinica, 2024, 40(4): 2304029-0. doi: 10.3866/PKU.WHXB202304029
Tiantian MA , Sumei LI , Chengyu ZHANG , Lu XU , Yiyan BAI , Yunlong FU , Wenjuan JI , Haiying YANG . Methyl-functionalized Cd-based metal-organic framework for highly sensitive electrochemical sensing of dopamine. Chinese Journal of Inorganic Chemistry, 2024, 40(4): 725-735. doi: 10.11862/CJIC.20230351
Wenjie SHI , Fan LU , Mengwei CHEN , Jin WANG , Yingfeng HAN . Synthesis and host-guest properties of imidazolium-functionalized zirconium metal-organic cage. Chinese Journal of Inorganic Chemistry, 2025, 41(1): 105-113. doi: 10.11862/CJIC.20240360
Bolin Sun , Jie Chen , Ling Zhou . 乙烯型卤代烃的亲核取代反应. University Chemistry, 2025, 40(8): 152-157. doi: 10.12461/PKU.DXHX202410032
Jichao XU , Ming HU , Xichang CHEN , Chunhui WANG , Leichen WANG , Lingyi ZHOU , Xing HE , Xiamin CHENG , Su JING . Construction and hydrogen peroxide-activated chemodynamic activity of ferrocene?benzoselenadiazole conjugate. Chinese Journal of Inorganic Chemistry, 2025, 41(8): 1495-1504. doi: 10.11862/CJIC.20250144
Cuicui Yang , Bo Shang , Xiaohua Chen , Weiquan Tian . Understanding the Wave-Particle Duality and Quantization of Confined Particles Starting from Classic Mechanics. University Chemistry, 2025, 40(3): 408-414. doi: 10.12461/PKU.DXHX202407066
Yinuo Wang , Ziyu Liu , Hongxia Tan , Jun Tong , Dazhen Xu . Synthesis of Bromobenzoxazine: Introduce a Comprehensive Organic Chemistry Experiment Transformed from Undergraduate Research Innovation. University Chemistry, 2025, 40(10): 208-216. doi: 10.12461/PKU.DXHX202411077
Xiaoling LUO , Pintian ZOU , Xiaoyan WANG , Zheng LIU , Xiangfei KONG , Qun TANG , Sheng WANG . Synthesis, crystal structures, and properties of lanthanide metal-organic frameworks based on 2, 5-dibromoterephthalic acid ligand. Chinese Journal of Inorganic Chemistry, 2024, 40(6): 1143-1150. doi: 10.11862/CJIC.20230271
Xiaoyang Li , Xiaowei Huang , Yimeng Zhang , Huan Liu , Shao Jin , Junpeng Zhuang . Comprehensive Chemical Experiments on the Synthesis of 1,3-Dibromo-5,5-Dimethylhydantoin and Its Application as a Brominating Reagent. University Chemistry, 2025, 40(7): 286-293. doi: 10.12461/PKU.DXHX202408035
Shihui Shi , Haoyu Li , Shaojie Han , Yifan Yao , Siqi Liu . Regioselectively Synthesis of Halogenated Arenes via Self-Assembly and Synergistic Catalysis Strategy. University Chemistry, 2024, 39(5): 336-344. doi: 10.3866/PKU.DXHX202312002
Caixia Lin , Zhaojiang Shi , Yi Yu , Jianfeng Yan , Keyin Ye , Yaofeng Yuan . Ideological and Political Design for the Electrochemical Synthesis of Benzoxathiazine Dioxide Experiment. University Chemistry, 2024, 39(2): 61-66. doi: 10.3866/PKU.DXHX202309005
Yanglin Jiang , Mingqing Chen , Min Liang , Yige Yao , Yan Zhang , Peng Wang , Jianping Zhang . Experimental and Theoretical Investigations of Solvent Polarity Effect on ESIPT Mechanism in 4′-N,N-diethylamino-3-hydroxybenzoflavone. Acta Physico-Chimica Sinica, 2025, 41(2): 100012-0. doi: 10.3866/PKU.WHXB202309027