Citation: WANG Huan, KONG Jiao, WANG Mei-jun, CHANG Li-ping. Structural evolution of a bituminous coal char related to its synchronized gasification behavior with H2O and/or CO2[J]. Journal of Fuel Chemistry and Technology, ;2019, 47(4): 393-401. shu

Structural evolution of a bituminous coal char related to its synchronized gasification behavior with H2O and/or CO2

  • Corresponding author: WANG Mei-jun, wangmeijun@tyut.edu.cn
  • Received Date: 25 December 2018
    Revised Date: 24 February 2019

    Fund Project: The project was supported by the National Natural Science Foundation of China (21406152, U1510111), Shanxi Coal Based Key Scientific and Technological Project (MJH2015-04)the National Natural Science Foundation of China 21406152Shanxi Coal Based Key Scientific and Technological Project MJH2015-04the National Natural Science Foundation of China U1510111

Figures(9)

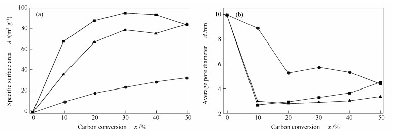
  • This work aims to investigate the structural evolution of the char during gasification under a single or mixed atmosphere of H2O and/or CO2 with the synchronized investigation of the effect of the varying char structure on the gasification reactivity. The experimental char was prepared from a bituminous coal at 1000℃. The changes of the char structure along with the progress of the carbon conversion during gasification were characterized using N2 adsorption, SEM, and Raman spectroscopy. The results revealed that H2O showed a more dramatically change on the char structure than CO2 and two reactants had different reaction pathways. The different pathways of reactants affected the evolution manners of the char structure and different gasification reactivity of char was related to structural evolution. The specific reaction rate between the char and CO2 decreased monotonously with increasing carbon conversion. However, the opposite trends are observed when H2O exist, either H2O alone or the mixtures of H2O and CO2. The char gasification reactivity was under the common effect of physical and chemical structure. In terms of the mixture of H2O and CO2, the significant specific surface area caused by H2O provided more active sites for CO2. The interactions between H2O and CO2 promoted reaction between C and CO2 (C + CO2 → CO) in mixtures of H2O and CO2, leading to higher amount of CO and higher specific reaction rate than calculated.
  • 加载中
    1. [1]

      KEOWN D M, HAYASHI J I, LI C Z. Drastic changes in biomass char structure and reactivity upon contact with steam[J]. Fuel, 2008,87(7):1127-1132. doi: 10.1016/j.fuel.2007.05.057

    2. [2]

      LI C Z. Some recent advances in the understanding of the pyrolysis and gasification behaviour of Victorian brown coal[J]. Fuel, 2007,86(12/13):1664-1683.  

    3. [3]

      ZHANG L, LI T T, QUYN D, DONG L, QIU P H, LI C Z. Structural transformation of nascent char during the fast pyrolysis of mallee wood and low-rank coals[J]. Fuel Process Technol, 2015,138:390-396. doi: 10.1016/j.fuproc.2015.05.003

    4. [4]

      LU L M, KONG C H, SAHAJWALLA V, HARRIS D. Char structural ordering during pyrolysis and combustion and its influence on char reactivity[J]. Fuel, 2002,81(9):1215-1225.  

    5. [5]

      MARQUES M, SUAREZ-RUIZ I, FLORES D, GUEDES A, RODRIGUES S. Correlation between optical, chemical and micro-structural parameters of high-rank coals and graphite[J]. Int J Coal Geol, 2009,77(3/4):377-382.  

    6. [6]

      FENG B, BHATIA S K. Variation of the pore structure of coal chars during gasification[J]. Carbon, 2003,41(3):507-523. doi: 10.1016/S0008-6223(02)00357-3

    7. [7]

      WU H W, YIP K V, TIAN F J, XIE Z L, LI C Z. Evolution of char structure during the steam gasification of biochars produced from the pyrolysis of various mallee biomass components[J]. Ind Eng Chem Res, 2009,48(23):10431-10438. doi: 10.1021/ie901025d

    8. [8]

      IRFAN M F, USMAN M R, KUSAKABE K. Coal gasification in CO2 atmosphere and its kinetics since 1948:A brief review[J]. Energy, 2011,36(1):12-40. doi: 10.1016/j.energy.2010.10.034

    9. [9]

      MITSUOKA K, HAYASHI S, AMANO H, KAYAHARA K, SASAOAKA E, UDDIN M A. Gasification of woody biomass char with CO2:The catalytic effects of K and Ca species on char gasification reactivity[J]. Fuel Process Technol, 2011,92(1):26-31.  

    10. [10]

      FUSHIMI C, WADA T, TSUTSUMI A. Inhibition of steam gasification of biomass char by hydrogen and tar[J]. Biomass Bioenergy, 2011,35(1):179-185.  

    11. [11]

      BAI Y H, WANG Y L, ZHU S H, YAN L J, LI F, XIE K C. Synergistic effect between CO2 and H2O on reactivity during coal chars gasification[J]. Fuel, 2014,126(15):1-7.  

    12. [12]

      GUIZANI C, ESCUDERO-SANZ F J, SALVADOR S. The gasification reactivity of high-heating-rate chars in single and mixed atmospheres of H2O and CO2[J]. Fuel, 2013,108:812-823.  

    13. [13]

      EVERSON , R C, NEOMAGUS H W J P, KASAINI H, NJAPHA D. Reaction kinetics of pulverized coal-chars derived from inertinite-rich coal discards:Gasification with carbon dioxide and steam[J]. Fuel, 2006,85(7/8):1076-1082.  

    14. [14]

      HUANG Z M, ZHANG J S, ZHAO Y, ZHANG H, YUE G X, SUDA T, NARUKAWA M. Kinetic studies of char gasification by steam and CO2 in the presence of H2 and CO[J]. Fuel Process Technol, 2010,91(8):843-847.  

    15. [15]

      BUTTERMAN H C, CASTALDI M J. Influence of CO2 injection on biomass gasification[J]. Ind Eng Chem Res, 2007,46(26):8875-8886.

    16. [16]

      ROBERTS D G, HARRIS D J. Char gasification in mixtures of CO2 and H2O:Competition and inhibition[J]. Fuel, 2007,86(17/18):2672-2678.

    17. [17]

      CHEN C, ZHANG S, XU K, LUO G Q, YAO H. Experimental and modeling study of char gasification with mixtures of CO2 and H2O[J]. Energy Fuels, 2016,30(3):1628-1635. doi: 10.1021/acs.energyfuels.5b02294

    18. [18]

      UMEMOTE S, KAJITANI S, HARA S. Modeling of coal char gasification in coexistence of CO2 and H2O considering sharing of active sites[J]. Fuel, 2013,103(1):14-21.  

    19. [19]

      FUSHIMI C, GOTO M, TSUTSUMI A, HAYASHI J I, CHIBA T. Steam gasification characteristics of coal with rapid heating[J]. J Anal Appl Pyrolysis, 2003,70(2):185-197. doi: 10.1016/S0165-2370(02)00131-6

    20. [20]

      ZHANG R, WANG Q H, LUO Z Y, FANG M X, CEN K F. Competition and inhibition effects during coal char gasification in the mixture of H2O and CO2[J]. Energy Fuels, 2013,27(9):5107-5115.  

    21. [21]

      TAY H L, KAJITANI S, ZHANG S, LI C Z. Effects of gasifying agent on the evolution of char structure during the gasification of Victorian brown coal[J]. Fuel, 2013,103:22-28. doi: 10.1016/j.fuel.2011.02.044

    22. [22]

      WANG M J, ROBERTS D G, KOCHANEK M A, HARRIS D J, CHANG L P, LI C Z. Raman spectroscopic investigations into links between intrinsic reactivity and char chemical structure[J]. Energy Fuels, 2014,28(1):285-290. doi: 10.1021/ef401281h

    23. [23]

      ROBERTS D G, HARRISA D J. Char gasification in mixtures of CO2 and H2O:Competition and inhibition[J]. Fuel, 2007,86(17/18):2672-2678.

    24. [24]

      LI X J, HAYASHI J I, LI C Z. FT-Raman spectroscopic study of the evolution of char structure during the pyrolysis of a Victorian brown coal[J]. Fuel, 2006,85(12/13):1700-1707.  

    25. [25]

      SEKINE Y, ISHIKAWA K, KIKUCHI E, MATSUKATA M, AKIMOTO A. Reactivity and structural change of coal char during steam gasification[J]. Fuel, 2006,85(2):122-126. doi: 10.1016/j.fuel.2005.05.025

    26. [26]

      WANG M J, TIAN J L, ROBERTS D G, CHANG L P, XIE K C. Interactions between corncob and lignite during temperature-programmed co-pyrolysis[J]. Fuel, 2015,142(15):102-108.  

    27. [27]

      LIU X H, ZHENG Y, LIU Z H, DING H R, HUANG X H, ZHENG C G. Study on the evolution of the char structure during hydrogasification process using Raman spectroscopy[J]. Fuel, 2015,157(1):97-106.  

    28. [28]

      LIVNEH T, BAR-ZIV E, SENNECA Q, SALATINO P. Evolution of reactivity of highly porous chars from Raman microscopy[J]. Combust Sci Technol, 2000,153(1):65-82. doi: 10.1080/00102200008947251

    29. [29]

      ESPINAL J F, MONDRAGON F, TRUONG T N. Thermodynamic evaluation of steam gasification mechanisms of carbonaceous materials[J]. Carbon, 2009,47(13):3010-3018. doi: 10.1016/j.carbon.2009.06.048

    30. [30]

      JING X L, WANG Z Q, ZHANG Q, YU Z L, LI C Y, HUANG J J, FANG Y T. Evaluation of CO2 gasification reactivity of different coal rank chars by physicochemical properties[J]. Energy Fuels, 2013,27(12):7287-7293. doi: 10.1021/ef401639v

    31. [31]

      MALEKSHAHIAN M, HILL J M. Effect of pyrolysis and CO2 gasification pressure on the surface area and pore size distribution of petroleum coke[J]. Energy Fuels, 2011,25(11):5250-5256. doi: 10.1021/ef201231w

    32. [32]

      DING L, ZHANG Y Q, WANG Z Q, HUANG J J, FANG Y T. Interaction and its induced inhibiting or synergistic effects during co-gasification of coal char and biomass char[J]. Bioresour Technol, 2014,173:11-20. doi: 10.1016/j.biortech.2014.09.007

    33. [33]

      WU X J, ZHANG Z X, PIAO G L, HE X, CHEN Y S, KOBAYASHI N, MORI S, ITAYA Y. Behavior of mineral matters in chinese coal ash melting during char-CO2/H2O gasification reaction[J]. Energy Fuels, 2009,23(5):2420-2428. doi: 10.1021/ef801002n

    34. [34]

      KLOSE W, WOLKI M. On the intrinsic reaction rate of biomass char gasification with carbon dioxide and steam[J]. Fuel, 2005,84(7/8):885-892.  

  • 加载中
    1. [1]

      Li LiFanpeng ChenBohang ZhaoYifu Yu . Understanding of the structural evolution of catalysts and identification of active species during CO2 conversion. Chinese Chemical Letters, 2024, 35(4): 109240-. doi: 10.1016/j.cclet.2023.109240

    2. [2]

      Mengjun Zhao Yuhao Guo Na Li Tingjiang Yan . Deciphering the structural evolution and real active ingredients of iron oxides in photocatalytic CO2 hydrogenation. Chinese Journal of Structural Chemistry, 2024, 43(8): 100348-100348. doi: 10.1016/j.cjsc.2024.100348

    3. [3]

      Bin DongNing YuQiu-Yue WangJing-Ke RenXin-Yu ZhangZhi-Jie ZhangRuo-Yao FanDa-Peng LiuYong-Ming Chai . Double active sites promoting hydrogen evolution activity and stability of CoRuOH/Co2P by rapid hydrolysis. Chinese Chemical Letters, 2024, 35(7): 109221-. doi: 10.1016/j.cclet.2023.109221

    4. [4]

      Yijia JiaoYuzhu LiYuting ZhouPeipei CenYi DingYan GuoXiangyu Liu . Structural evolution and zero-field SMM behaviour in ferromagnetically-coupled disk-type Co7 clusters bearing exclusively end-on azido bridges. Chinese Chemical Letters, 2024, 35(8): 109082-. doi: 10.1016/j.cclet.2023.109082

    5. [5]

      Da YueTanglue FengZhicheng ZhuMingcheng ZhangLiyuan ChenXiao HanHaizhu SunBai Yang . Carbonized polymer dots confined active Ru-O sites for boosting electrocatalytic oxygen evolution. Chinese Chemical Letters, 2025, 36(11): 111393-. doi: 10.1016/j.cclet.2025.111393

    6. [6]

      Yanhui LuChengang PeiWenqiang LiQing LiuHuan PangXu Yu . Tailoring active sites of cerium and nitrogen Co-doped rhenium disulfide for enhanced hydrogen evolution reaction. Chinese Chemical Letters, 2025, 36(12): 111646-. doi: 10.1016/j.cclet.2025.111646

    7. [7]

      Yubang Li Xixi Hu Daiqian Xie . The microscopic formation mechanism of O + H2 products from photodissociation of H2O. Chinese Journal of Structural Chemistry, 2024, 43(5): 100274-100274. doi: 10.1016/j.cjsc.2024.100274

    8. [8]

      Xingyan LiuChaogang JiaGuangmei JiangChenghua ZhangMingzuo ChenXiaofei ZhaoXiaocheng ZhangMin FuSiqi LiJie WuYiming JiaYouzhou He . Single-atom Pd anchored in the porphyrin-center of ultrathin 2D-MOFs as the active center to enhance photocatalytic hydrogen-evolution and NO-removal. Chinese Chemical Letters, 2024, 35(9): 109455-. doi: 10.1016/j.cclet.2023.109455

    9. [9]

      Hongyu TangDongming LiuJinfu HuangLiang ZhangYang TangBin HuangYanwei LiShunhua XiaoYiling SunRenheng Wang . Excellent structural stability and electrochemical properties of LiNi0.9Co0.05Mn0.05O2 material by surface Ni2+ anchoring and Cs+ doping. Chinese Chemical Letters, 2025, 36(6): 109987-. doi: 10.1016/j.cclet.2024.109987

    10. [10]

      Xiaoxu DuanJunli XuJiwei LiCongcong DuKai ChenTeng XuYifei SunHaifeng Xiong . Enhancing CO2 reduction efficiency with axial oxygen coordinated Ni-N4 active sites on hierarchical pore N-doped carbon. Chinese Chemical Letters, 2025, 36(7): 110340-. doi: 10.1016/j.cclet.2024.110340

    11. [11]

      Yongjian LiXinyu ZhuChenxi WeiYouyou FangXinyu WangYizhi ZhaiWenlong KangLai ChenDuanyun CaoMeng WangYun LuQing HuangYuefeng SuHong YuanNing LiFeng Wu . Unraveling the chemical and structural evolution of novel Li-rich layered/rocksalt intergrown cathode for Li-ion batteries. Chinese Chemical Letters, 2024, 35(12): 109536-. doi: 10.1016/j.cclet.2024.109536

    12. [12]

      Yu XiongLi-Jun HuJian-Guo SongDi ZhangYi-Shuang PengXiao-Jun HuangJian HongBin ZhuWen-Cai YeYing Wang . Structure elucidation of plumerubradins A–C: Correlations between 1H NMR signal patterns and structural information of [2+2]-type cyclobutane derivatives. Chinese Chemical Letters, 2025, 36(5): 110149-. doi: 10.1016/j.cclet.2024.110149

    13. [13]

      Weiping XiaoYuhang ChenQin ZhaoDanil BukhvalovCaiqin WangXiaofei Yang . Constructing the synergistic active sites of nickel bicarbonate supported Pt hierarchical nanostructure for efficient hydrogen evolution reaction. Chinese Chemical Letters, 2024, 35(12): 110176-. doi: 10.1016/j.cclet.2024.110176

    14. [14]

      Qianqing XuQu JiangHaoyue ZhangFang Song . Deciphering the active species of anodically activated carbon-based electrocatalysts for oxygen evolution reaction. Chinese Chemical Letters, 2025, 36(11): 111417-. doi: 10.1016/j.cclet.2025.111417

    15. [15]

      Yaping ZHANGTongchen WUYun ZHENGBizhou LIN . Z-scheme heterojunction β-Bi2O3 pillared CoAl layered double hydroxide nanohybrid: Fabrication and photocatalytic degradation property. Chinese Journal of Inorganic Chemistry, 2025, 41(3): 531-539. doi: 10.11862/CJIC.20240256

    16. [16]

      Yan-Jiang LiShu-Lei ChouYao Xiao . Detecting dynamic structural evolution based on in-situ high-energy X-ray diffraction technology for sodium layered oxide cathodes. Chinese Chemical Letters, 2025, 36(2): 110389-. doi: 10.1016/j.cclet.2024.110389

    17. [17]

      Xinyu YinHaiyang ShiYu WangXuefei WangPing WangHuogen Yu . Spontaneously Improved Adsorption of H2O and Its Intermediates on Electron-Deficient Mn(3+δ)+ for Efficient Photocatalytic H2O2 Production. Acta Physico-Chimica Sinica, 2024, 40(10): 2312007-0. doi: 10.3866/PKU.WHXB202312007

    18. [18]

      Bicheng Zhu Jingsan Xu . S-scheme heterojunction photocatalyst for H2 evolution coupled with organic oxidation. Chinese Journal of Structural Chemistry, 2024, 43(8): 100327-100327. doi: 10.1016/j.cjsc.2024.100327

    19. [19]

      Weichen WANGChunhua GONGJunyong ZHANGYanfeng BIHao XUJingli XIE . Construction of two metal-organic frameworks by rigid bis(triazole) and carboxylate mixed-ligands and their catalytic properties for CO2 cycloaddition reaction. Chinese Journal of Inorganic Chemistry, 2024, 40(7): 1377-1386. doi: 10.11862/CJIC.20230415

    20. [20]

      Hao-Nan ZhouLan-Yan LiHong-Bing MoYi-Xin LiJun YanChao Liu . Ligand-engineered octanuclear bismuth-oxo clusters with exposed active sites for enhanced CO2-to-HCOOH electroreduction. Chinese Chemical Letters, 2025, 36(10): 111269-. doi: 10.1016/j.cclet.2025.111269

Metrics
  • PDF Downloads(5)
  • Abstract views(896)
  • HTML views(49)

通讯作者: 陈斌, bchen63@163.com
  • 1. 

    沈阳化工大学材料科学与工程学院 沈阳 110142

  1. 本站搜索
  2. 百度学术搜索
  3. 万方数据库搜索
  4. CNKI搜索
Address:Zhongguancun North First Street 2,100190 Beijing, PR China Tel: +86-010-82449177-888
Powered By info@rhhz.net

/

DownLoad:  Full-Size Img  PowerPoint
Return