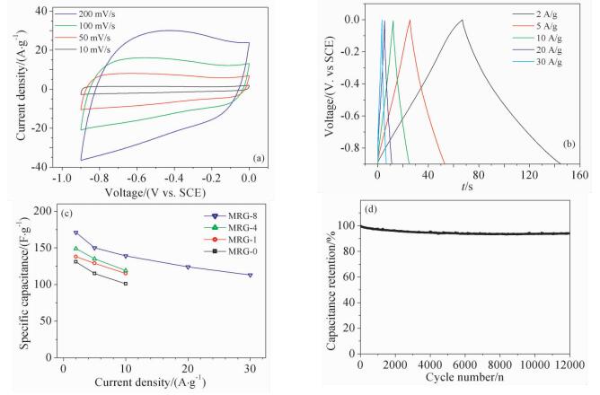
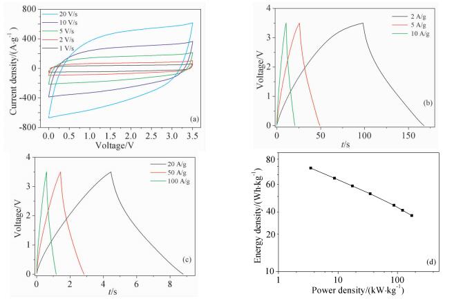
Preparation of Mesoporous Graphene by Magnesiothermic Reduction of CO2 and It's Capacitance Characteristics
- Corresponding author: Zhang Xiong, zhangxiong@mail.iee.ac.cn
Citation:
Ma Ran, Li Chen, Zhang Xiong. Preparation of Mesoporous Graphene by Magnesiothermic Reduction of CO2 and It's Capacitance Characteristics[J]. Chemistry,
;2017, 80(8): 745-750, 759.
P Simon, Y Gogotsi. Nat. Mater., 2008, 7(11):845~854.
A K Geim, K S Novoselov. Nat. Mater., 2007, 6(3):183~191.
X Zhang, H Zhang, C Li et al. RSC Adv., 2014, 4(86):45862~45884.
A C Ferrari, F Bonaccorso, V Fal'ko et al. Nanoscale, 2015, 7(11):4598~4810.
Y Chen, X Zhang, P Yu et al. Chem. Commun., 2009, (30):4527~4529.
D Zhang, X Zhang, X Sun et al. Electrochim. Acta, 2013, 109:874~880.
M D Stoller, S Park, Y Zhu et al. Nano Lett., 2008, 8(10):3498~3502.
M Motiei, Y R Hacohen, J Calderon-Moreno et al. J. Am. Chem. Soc., 2001, 123(35):8624~8625.
Z S Lou, Q W Chen, W Wang et al. Carbon, 2003, 41(15):3063~3067.
Z S Lou, Q W Chen, Y F Zhang et al. J. Am. Chem. Soc., 2003, 125(31):9302~9303.
A Chakrabarti, J Lu, J C Skrabutenas et al. J. Mater. Chem., 2011, 21(26):9491~9493.
H Zhang, X Zhang, X Sun et al. ChemSusChem, 2013, 6(6):1084~1090.
H Zhang, X Zhang, X Sun et al. Sci. Rep., 2013, 3:3534.
Y Y Peng, Y M Liu, J K Chang et al. Carbon, 2015, 81:347~356.
Zhihuan XU , Qing KANG , Yuzhen LONG , Qian YUAN , Cidong LIU , Xin LI , Genghuai TANG , Yuqing LIAO . Effect of graphene oxide concentration on the electrochemical properties of reduced graphene oxide/ZnS. Chinese Journal of Inorganic Chemistry, 2024, 40(7): 1329-1336. doi: 10.11862/CJIC.20230447
Anbang Du , Yuanfan Wang , Zhihong Wei , Dongxu Zhang , Li Li , Weiqing Yang , Qianlu Sun , Lili Zhao , Weigao Xu , Yuxi Tian . Photothermal Microscopy of Graphene Flakes with Different Thicknesses. Acta Physico-Chimica Sinica, 2024, 40(5): 2304027-0. doi: 10.3866/PKU.WHXB202304027
Hailang JIA , Yujie LU , Pengcheng JI . Preparation and properties of nitrogen and phosphorus co-doped graphene carbon aerogel supported ruthenium electrocatalyst for hydrogen evolution reaction. Chinese Journal of Inorganic Chemistry, 2025, 41(11): 2327-2336. doi: 10.11862/CJIC.20250021
Yuanchun Pan , Xinyun Lin , Leyi Yang , Wenya Hu , Dekui Song , Nan Liu . Artificial Intelligence Science Practice: Preparation of Electronic Skin by Chemical Vapor Deposition of Graphene. University Chemistry, 2025, 40(11): 272-280. doi: 10.12461/PKU.DXHX202412052
Chaolin Mi , Yuying Qin , Xinli Huang , Yijie Luo , Zhiwei Zhang , Chengxiang Wang , Yuanchang Shi , Longwei Yin , Rutao Wang . Galvanic Replacement Synthesis of Graphene Coupled Amorphous Antimony Nanoparticles for High-Performance Sodium-Ion Capacitor. Acta Physico-Chimica Sinica, 2024, 40(5): 2306011-0. doi: 10.3866/PKU.WHXB202306011
Tao Xu , Wei Sun , Tianci Kong , Jie Zhou , Yitai Qian . Stable Graphite Interface for Potassium Ion Battery Achieving Ultralong Cycling Performance. Acta Physico-Chimica Sinica, 2024, 40(2): 2303021-0. doi: 10.3866/PKU.WHXB202303021
Zhuo WANG , Junshan ZHANG , Shaoyan YANG , Lingyan ZHOU , Yedi LI , Yuanpei LAN . Preparation and photocatalytic performance of CeO2-reduced graphene oxide by thermal decomposition. Chinese Journal of Inorganic Chemistry, 2024, 40(9): 1708-1718. doi: 10.11862/CJIC.20240067
Yunting Shang , Yue Dai , Jianxin Zhang , Nan Zhu , Yan Su . Something about RGO (Reduced Graphene Oxide). University Chemistry, 2024, 39(9): 273-278. doi: 10.3866/PKU.DXHX202306050
Lisha LEI , Wei YONG , Yiting CHENG , Yibo WANG , Wenchao HUANG , Junhuan ZHAO , Zhongjie ZHAI , Yangbin DING . Application of regenerated cellulose and reduced graphene oxide film in synergistic power generation from moisture electricity generation and Mg-air batteries. Chinese Journal of Inorganic Chemistry, 2025, 41(6): 1151-1161. doi: 10.11862/CJIC.20240202
Tianqi Bai , Kun Huang , Fachen Liu , Ruochen Shi , Wencai Ren , Songfeng Pei , Peng Gao , Zhongfan Liu . Nanoscale Mechanism of Microstructure-Dependent Thermal Diffusivity in Thick Graphene Sheets. Acta Physico-Chimica Sinica, 2025, 41(3): 100025-0. doi: 10.3866/PKU.WHXB202404024
Shiqian WEI , Xinyu TIAN , Hong LIU , Maoxia CHEN , Fan TANG , Qiang FAN , Weifeng FAN , Yu HU . Oxygen reduction reaction/oxygen evolution reaction catalytic performances of different active sites on nitrogen-doped graphene loaded with iron single atoms. Chinese Journal of Inorganic Chemistry, 2025, 41(9): 1776-1788. doi: 10.11862/CJIC.20250102
Jie XIE , Hongnan XU , Jianfeng LIAO , Ruoyu CHEN , Lin SUN , Zhong JIN . Nitrogen-doped 3D graphene-carbon nanotube network for efficient lithium storage. Chinese Journal of Inorganic Chemistry, 2024, 40(10): 1840-1849. doi: 10.11862/CJIC.20240216
Tian TIAN , Meng ZHOU , Jiale WEI , Yize LIU , Yifan MO , Yuhan YE , Wenzhi JIA , Bin HE . Ru-doped Co3O4/reduced graphene oxide: Preparation and electrocatalytic oxygen evolution property. Chinese Journal of Inorganic Chemistry, 2025, 41(2): 385-394. doi: 10.11862/CJIC.20240298
Zhenlin Zhou , Siyuan Chen , Yi Liu , Chengguo Hu , Faqiong Zhao . A New Program of Voltammetry Experiment Teaching Based on Laser-Scribed Graphene Electrode. University Chemistry, 2024, 39(2): 358-370. doi: 10.3866/PKU.DXHX202308049
Jiahao Lu , Xin Ming , Yingjun Liu , Yuanyuan Hao , Peijuan Zhang , Songhan Shi , Yi Mao , Yue Yu , Shengying Cai , Zhen Xu , Chao Gao . High-Precision and Reliable Thermal Conductivity Measurement for Graphene Films Based on an Improved Steady-State Electric Heating Method. Acta Physico-Chimica Sinica, 2025, 41(5): 100045-0. doi: 10.1016/j.actphy.2025.100045
Yuting Bai , Cenqi Yan , Zhen Li , Jiaqiang Qin , Pei Cheng . Preparation of High-Strength Polyimide Porous Films with Thermally Closed Pore Property by In Situ Pore Formation Method. Acta Physico-Chimica Sinica, 2024, 40(9): 2306010-0. doi: 10.3866/PKU.WHXB202306010
Zeyu XU , Anlei DANG , Bihua DENG , Xiaoxin ZUO , Yu LU , Ping YANG , Wenzhu YIN . Evaluation of the efficacy of graphene oxide quantum dots as an ovalbumin delivery platform and adjuvant for immune enhancement. Chinese Journal of Inorganic Chemistry, 2024, 40(6): 1065-1078. doi: 10.11862/CJIC.20240099
Hao BAI , Weizhi JI , Jinyan CHEN , Hongji LI , Mingji LI . Preparation of Cu2O/Cu-vertical graphene microelectrode and detection of uric acid/electroencephalogram. Chinese Journal of Inorganic Chemistry, 2024, 40(7): 1309-1319. doi: 10.11862/CJIC.20240001
Yue Zhang , Bao Li , Lixin Wu . GO-Assisted Supramolecular Framework Membrane for High-Performance Separation of Nanosized Oil-in-Water Emulsions. Acta Physico-Chimica Sinica, 2024, 40(5): 2305038-0. doi: 10.3866/PKU.WHXB202305038
Limei CHEN , Mengfei ZHAO , Lin CHEN , Ding LI , Wei LI , Weiye HAN , Hongbin WANG . Preparation and performance of paraffin/alkali modified diatomite/expanded graphite composite phase change thermal storage material. Chinese Journal of Inorganic Chemistry, 2024, 40(3): 533-543. doi: 10.11862/CJIC.20230312