Citation: LIU Meng-jie, DING Wei, DAI Yong-chuan, ZHAO Yu-zhu, ZHAO Yue, HAO Yuan-chuan. Preparation of Au/β-Mo2C catalyst with high thermal stability and its performance in the reverse water-gas shift[J]. Journal of Fuel Chemistry and Technology, ;2020, 48(3): 349-356. shu

Preparation of Au/β-Mo2C catalyst with high thermal stability and its performance in the reverse water-gas shift

  • Corresponding author: DING Wei, cicy1125@163.com
  • Received Date: 18 December 2019
    Revised Date: 16 February 2020

    Fund Project: The project was supported by the National Natural Science Foundation of China 21802061the Doctoral Research Foundation Project of Liaoning Province Department of Science & Technology 20170520440The project was supported by the National Natural Science Foundation of China (21802061), the Doctoral Research Foundation Project of Liaoning Province Department of Science & Technology (20170520440) and the Program for Liaoning Innovative and Entrepreneurship Training in University (201810148029)the Program for Liaoning Innovative and Entrepreneurship Training in University 201810148029

Figures(8)

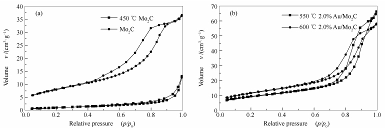
  • β-Mo2C support was first prepared by the temperature-programmed carbonization and the Au/β-Mo2C catalysts with different Au loadings were then obtained by using the in -situ precipitation method. The Au/β-Mo2C catalysts were characterized by X-ray diffraction (XRD), scanning transmission electron microscopy (STEM) and nitrogen physisorption; their performance, the thermal stability at the high temperature in particular was then investigated in the reverse water-gas shift (RWGS). The XRD results reveal that the diffraction peaks appeared at 34.44°, 38.02°, 39.44°, 52.12°, 61.53°, 69.62° and 74.65° correspond to the (100), (002), (101), (102), (110), (103) and (200) planes of β-Mo2C, respectively, whereas no characteristic peak of Au species is detected, suggesting the high dispersion of Au nanoparticles on the Au/β-Mo2C catalysts with a low Au loading (0.1%-0.5%). The STEM results illustrate that for the Au/β-Mo2C catalysts with an Au loading of 0.5%-2.0%, gold nanoparticles in the form of atom clusters (about 2 nm) are anchored and uniformly dispersed on the β-Mo2C surface. The nitrogen physisorption results demonstrate that the Au/β-Mo2C catalysts have plenty of mesopores. The catalytic evaluation results indicate that the 0.2%Au/β-Mo2C catalyst exhibits high activity and high selectivity to CO for the RWGS reaction; moreover, after the reaction, the Au nanoparticles are still evenly dispersed and the pore structure remain intact, suggesting that the Au/β-Mo2C catalyst owns excellent performance and high thermal stability in the he reverse water-gas shift at high temperature.
  • 加载中
    1. [1]

      LI F J, DONG S C, LI S T, LI Z H, LI Y. Measurement and scenario simulation of effect of urbanization on region CO2 emission based on UES-SD model:A case study in Liaoning Province, China[J]. Chin Geogr Sci, 2015,25(3):350-360. doi: 10.1007/s11769-014-0729-7

    2. [2]

      WANG X X, JIANG D B, LANG X M. Climatechange of 4℃ global warming above pre-industrial levels[J]. Adv Atmos Sci, 2018,35(7):757-770. doi: 10.1007/s00376-018-7160-4

    3. [3]

      KEDIA S. Approaches to low carbon development in China and India[J]. Adv Clim Change Res, 2016,7:213-221. doi: 10.1016/j.accre.2016.11.001

    4. [4]

      SU X, YANG X L, ZHAO B, HUANG Y Q. Designing of highly selective and high-temperature endurable RWGS heterogeneous catalysts:Recent advances and the future directions[J]. J Energy Chem, 2017,26:854-867. doi: 10.1016/j.jechem.2017.07.006

    5. [5]

      POROSOFF M D, YANG X F, BOSCOBOINIK J A, CHEN J G G. Molybdenum carbide as alternative catalysts to precious metals for highly selective reduction of CO2 to CO[J]. Angew, 2014,53(26):6705-6709. doi: 10.1002/anie.201404109

    6. [6]

      SAGAWA T. Conversion of CO2 to useful substances with composite iron, nickel, and copper catalysts[J]. J Zhejiang Univ-Sci A, 2018,19(1):80-85. doi: 10.1631/jzus.A1700056

    7. [7]

      ÁLVAREZ GALVÁN C, SCHUMANN J, BEHRENS , M , FIERRO J L G, SCHLÖGL R, FREI E. Reverse water-gas shift reaction at the Cu/ZnO interface:Influence of the Cu/Zn ratio on structure-activity correlations[J]. Appl Catal B:Environ, 2016,195:104-111. doi: 10.1016/j.apcatb.2016.05.007

    8. [8]

      DUKE A S, XIE K, BRANDT A J, MADDUMAPATABANDI T D, AMMAL S C, HEYDEN A, MONNIER J R, CHEN D A. Understanding active sites in the water-gas shift reaction for Pt-Re catalysts on titania[J]. ACS Catal, 2017,7(4):2597-2606. doi: 10.1021/acscatal.7b00086

    9. [9]

      KATTEL S, YAN B H, CHEN J G G, LIU P. CO2 hydrogenation on Pt, Pt/SiO2 and Pt/TiO2:Importance of synergy between Pt and oxide support[J]. J Catal, 2016,343:115-126. doi: 10.1016/j.jcat.2015.12.019

    10. [10]

      CHEN X D, SU X, LIANG B L, YANG X L, REN X Y, DUAN H M, HUANG Y Q, ZHANG T. Identification of relevant active sites and a mechanism study for reverse water gas shift reaction over Pt/CeO2 catalysts[J]. J Energy Chem, 2016,25:1051-1057. doi: 10.1016/j.jechem.2016.11.011

    11. [11]

      ZHU X B, QU X, LI X S, LIU J L, LIU J H, ZHU B, SHI C. Selective reduction of carbon dioxide to carbon monoxide over Au/CeO2 catalyst and identification of reaction intermediate[J]. Chin J Catal, 2016,12(37):2053-2058.  

    12. [12]

      HE S N, SHAO Z J, SHU Y J, SHI Z P, CAO X M, GAO Q S, HU P J, TANG Y. Enhancing metal-support interactions by molybdenum carbide:an efficient strategy toward the chemoselective hydrogenation of α, β-unsaturated Aldehydes[J]. Chem-Eur J, 2016,16(22):5698-5704.  

    13. [13]

      ZHAO Li-hong, YAN Jie, FANG Ke-gong, WEI Ling-chao, JIANG Yuan-li, SUN Yu-han. Influence of K content on performance of nano-structured K/Fe/β-Mo2C catalysts in CO hydrogenation[J]. Nat Gas Ind, 2014,39(3):25-29. doi: 10.3969/j.issn.1001-9219.2014.03.006

    14. [14]

      POROSOFF M D, BALDWIN J W, PENG X, MPOURMPAKIS G, WILLAUER H D. Potassium promoted molybdenum carbide as a highly active and selective catalyst for CO2 conversion to CO[J]. ChemSusChem, 2017,10(11):2408-2415. doi: 10.1002/cssc.201700412

    15. [15]

      GENG Wen-hao, LIU Fei, HAN Han, XIAO Lin-fen, WU Wei. Synthesis of N, P-doped C@Mo2C catalyst and its application in CO2 hydrogenation[J]. J Fuel Chem Technol, 2017,45(4):458-467. doi: 10.3969/j.issn.0253-2409.2017.04.010

    16. [16]

      HU Rui-jue, ZHAO Na-na, LI Jia-jia, ZHANG Man-di, LI Jian-li, SU Hai-quan, GU Xiao-jun. β-Mo2C catalysts supported on Ni modified mesoporous carbon prepared by different methods and their application in CO hydrogenation to synthesize mixed alcohol[J]. Acta Pet Sin (Pet Process Sect), 2018,34(4):201-210.  

    17. [17]

      ZHAO Li-hong, YAN Jie, WEI Ling-chao, JIANG Yuan-li, FANG Ke-gong, SUN Yu-han. Preparation of K doped Ni/β-Mo2C and its performance for CO hydrogenation[J]. Nat Gas Ind, 2015,40(4):23-27.  

    18. [18]

      PERRET N, WANG X D, DELANNOY L, POTVIN C, LOUIS C, KEANE M A. Enhanced selective nitroarene hydrogenation over Au supported on β-Mo2C and β-Mo2C/Al2O3[J]. J Catal, 2012,286:172-183. doi: 10.1016/j.jcat.2011.10.026

    19. [19]

      CHENG C, ZHANG X L, FU Z M, YANG Z X. Strong metal-support interactions impart activity in the oxygen reduction reaction:Au monolayer on Mo2C (MXene)[J]. J Phys-Condens Mater, 2018,30(47):112403-112429.  

    20. [20]

      ROOHI P, ALIZADEH R, FATEHIFAR E. Thermodynamic study and methanothermal temperature-programmed reaction synthesis of molybdenum carbide[J]. Int J Miner Metall Mater, 2016,23(3):339-347. doi: 10.1007/s12613-016-1243-y

    21. [21]

      KOIZUMI R, OZDEN S, SAMANTA A, ALVES A P P, MISHRA A, YE G, SILVA G G, VAJTAI R, SINGH A K, TIWARY C S, AJAYAN P M. Origami-inspired 3D interconnected molybdenum carbide nanoflakes[J]. Adv Mater Interfaces, 2018,5(6):1701113-1701120. doi: 10.1002/admi.201701113

    22. [22]

      BADDOUR F G, ROBERTS E J, TO A T, WANG L, HABAS S E, RUDDY D A, BEDFORD N M, WRIGHT J, NASH C P, SCHAIDLE J A, BRUTCHEY R L, MALMSTADT N. An exceptionally mild and scalable solution-phase synthesis of molybdenum carbide nanoparticles for thermocatalytic CO2 hydrogenation[J]. J Am Chem Soc, 2020,142(2):1010-1019. doi: 10.1021/jacs.9b11238

    23. [23]

      DHAS N A, GEDANKEN A. Sonochemical synthesis of molybdenum oxide- and molybdenum carbide-silica nanocomposites[J]. Chem Mater, 1997,9(12):3144-3154. doi: 10.1021/cm9704488

    24. [24]

      LL X Y, MA D, CHEN LM, AO X H. Fabrication of molybdenum carbide catalysts over multi-walled carbon nanotubes by carbothermal hydrogen reduction[J]. Catal Lett, 2007,116:63-69. doi: 10.1007/s10562-007-9093-x

    25. [25]

      WANG T, WANG J, CHEN W, ZHENG X, WANG E. A reusable N-doped-carbon-coated Mo2C composite counter electrode for high-efficiency dye-sensitized solar cells[J]. Chem-Eur J, 2017,23(68):17311-17317. doi: 10.1002/chem.201703519

    26. [26]

      MA D. Strong metal-support interaction (SMSI) effect between metal catalysts and carbide supports[J]. Acta Phys-Chim Sin, 2019,35(8):794-795.  

    27. [27]

      DUAN X P, TIAN X L, KE J H, YIN YN, ZHENG J W, CHEN J, CAO Zh M, XIE Z X, YUAN YO Z. Size controllable redispersion of sintered Au nanoparticles by using iodohydrocarbon and its implications[J]. Chem Sci, 2016,5:3181-3187.  

    28. [28]

      CHEN X D, SU X, DUAN H M, LIANG B L, HUANG Y Q, ZHANG T. Catalytic performance of the Pt/TiO2 catalysts in reverse water gas shift reaction:Controlled product selectivity and a mechanism study[J]. Catal Today, 2017,281:312-318. doi: 10.1016/j.cattod.2016.03.020

  • 加载中
    1. [1]

      Wentao XuXuyan MoYang ZhouZuxian WengKunling MoYanhua WuXinlin JiangDan LiTangqi LanHuan WenFuqin ZhengYoujun FanWei Chen . Bimetal Leaching Induced Reconstruction of Water Oxidation Electrocatalyst for Enhanced Activity and Stability. Acta Physico-Chimica Sinica, 2024, 40(8): 2308003-0. doi: 10.3866/PKU.WHXB202308003

    2. [2]

      Yuchen ZhouHuanmin LiuHongxing LiXinyu SongYonghua TangPeng Zhou . Designing thermodynamically stable noble metal single-atom photocatalysts for highly efficient non-oxidative conversion of ethanol into high-purity hydrogen and value-added acetaldehyde. Acta Physico-Chimica Sinica, 2025, 41(6): 100067-0. doi: 10.1016/j.actphy.2025.100067

    3. [3]

      Xuewei BACheng CHENGHuaikang ZHANGDeqing ZHANGShuhua LI . Preparation and luminescent performance of Sr1-xZrSi2O7xDy3+ phosphor with high thermal stability. Chinese Journal of Inorganic Chemistry, 2025, 41(2): 357-364. doi: 10.11862/CJIC.20240096

    4. [4]

      Tong WANGXuefang ZHUQi GAOHongbo ZHANGChao RENLixia GE . Luminescence and thermal stability of Tb3+-Eu3+ doped glass-ceramics containing Na8.12Y1.293Si6O18 crystal phase. Chinese Journal of Inorganic Chemistry, 2025, 41(11): 2237-2250. doi: 10.11862/CJIC.20250137

    5. [5]

      Peng YUELiyao SHIJinglei CUIHuirong ZHANGYanxia GUO . Effects of Ce and Mn promoters on the selective oxidation of ammonia over V2O5/TiO2 catalyst. Chinese Journal of Inorganic Chemistry, 2025, 41(2): 293-307. doi: 10.11862/CJIC.20240210

    6. [6]

      Bing WEIJianfan ZHANGZhe CHEN . Research progress in fine tuning of bimetallic nanocatalysts for electrocatalytic carbon dioxide reduction. Chinese Journal of Inorganic Chemistry, 2025, 41(3): 425-439. doi: 10.11862/CJIC.20240201

    7. [7]

      Xiqing Liang Tian Zhao Jiawei Li Haohui Tan Hai Chen Liyan Zeng . Pentaerythritol’s Journey of Making Friends. University Chemistry, 2025, 40(10): 175-185. doi: 10.12461/PKU.DXHX202412009

    8. [8]

      Yongwei ZHANGChuang ZHUWenbin WUYongyong MAHeng YANG . Efficient hydrogen evolution reaction activity induced by ZnSe@nitrogen doped porous carbon heterojunction. Chinese Journal of Inorganic Chemistry, 2025, 41(4): 650-660. doi: 10.11862/CJIC.20240386

    9. [9]

      Zhaoyu WenNa HanYanguang Li . Recent Progress towards the Production of H2O2 by Electrochemical Two-Electron Oxygen Reduction Reaction. Acta Physico-Chimica Sinica, 2024, 40(2): 2304001-0. doi: 10.3866/PKU.WHXB202304001

    10. [10]

      Wang WangYucheng LiuShengli Chen . Use of NiFe Layered Double Hydroxide as Electrocatalyst in Oxygen Evolution Reaction: Catalytic Mechanisms, Electrode Design, and Durability. Acta Physico-Chimica Sinica, 2024, 40(2): 2303059-0. doi: 10.3866/PKU.WHXB202303059

    11. [11]

      Wen YANGDidi WANGZiyi HUANGYaping ZHOUYanyan FENG . La promoted hydrotalcite derived Ni-based catalysts: In situ preparation and CO2 methanation performance. Chinese Journal of Inorganic Chemistry, 2024, 40(3): 561-570. doi: 10.11862/CJIC.20230276

    12. [12]

      Baitong Wei Jinxin Guo Xigong Liu Rongxiu Zhu Lei Liu . Theoretical Study on the Structure, Stability of Hydrocarbon Free Radicals and Selectivity of Alkane Chlorination Reaction. University Chemistry, 2025, 40(3): 402-407. doi: 10.12461/PKU.DXHX202406003

    13. [13]

      Jingyi XieQianxi LüWeizhen QiaoChenyu BuYusheng ZhangXuejun ZhaiRenqing LüYongming ChaiBin Dong . Enhancing Cobalt―Oxygen Bond to Stabilize Defective Co2MnO4 in Acidic Oxygen Evolution. Acta Physico-Chimica Sinica, 2024, 40(3): 2305021-0. doi: 10.3866/PKU.WHXB202305021

    14. [14]

      Haodong JINQingqing LIUChaoyang SHIDanyang WEIJie YUXuhui XUMingli XU . NiCu/ZnO heterostructure photothermal electrocatalyst for efficient hydrogen evolution reaction. Chinese Journal of Inorganic Chemistry, 2025, 41(6): 1068-1082. doi: 10.11862/CJIC.20250048

    15. [15]

      Zhiqiang XINGJinling LIUMingmin SULei ZHANGLijun YANG . CoNi dual-single-atom catalyst for electrocatalytic H2O2 production and in situ electro-Fenton degradation of pollutants. Chinese Journal of Inorganic Chemistry, 2025, 41(12): 2479-2490. doi: 10.11862/CJIC.20250181

    16. [16]

      Sumiya Akter DristyMd Ahasan HabibShusen LinMehedi Hasan JoniRutuja MandavkarYoung-Uk ChungMd NajibullahJihoon Lee . Exploring Zn doped NiBP microspheres as efficient and stable electrocatalyst for industrial-scale water splitting. Acta Physico-Chimica Sinica, 2025, 41(7): 100079-0. doi: 10.1016/j.actphy.2025.100079

    17. [17]

      Jiajie Li Xiaocong Ma Jufang Zheng Qiang Wan Xiaoshun Zhou Yahao Wang . Recent Advances in In-Situ Raman Spectroscopy for Investigating Electrocatalytic Organic Reaction Mechanisms. University Chemistry, 2025, 40(4): 261-276. doi: 10.12461/PKU.DXHX202406117

    18. [18]

      Haiqiang Lin Weizheng Weng Jingdong Lin Mingshu Chen Xueming Fang Lefu Yang . Diverse Variables-Driven Catalytic Optimization: Experimental Enhancement and Instructional Design for Selective Methane Oxidation on Supported Nickel-based Catalysts. University Chemistry, 2025, 40(11): 327-336. doi: 10.12461/PKU.DXHX202505106

    19. [19]

      Jun LIHuipeng LIHua ZHAOQinlong LIU . Preparation and photocatalytic performance of AgNi bimetallic modified polyhedral bismuth vanadate. Chinese Journal of Inorganic Chemistry, 2024, 40(3): 601-612. doi: 10.11862/CJIC.20230401

    20. [20]

      Aoran LIURui LIZongyao WANGPenghui SHANGJiawei WANDan WANG . Hollow multi-shelled structure materials for catalytic applications. Chinese Journal of Inorganic Chemistry, 2025, 41(10): 2039-2053. doi: 10.11862/CJIC.20250036

Metrics
  • PDF Downloads(5)
  • Abstract views(1488)
  • HTML views(250)

通讯作者: 陈斌, bchen63@163.com
  • 1. 

    沈阳化工大学材料科学与工程学院 沈阳 110142

  1. 本站搜索
  2. 百度学术搜索
  3. 万方数据库搜索
  4. CNKI搜索
Address:Zhongguancun North First Street 2,100190 Beijing, PR China Tel: +86-010-82449177-888
Powered By info@rhhz.net

/

DownLoad:  Full-Size Img  PowerPoint
Return