Citation: ZENG Chang-wei, LÜ Jian-hua, ZHENG Huai-yu, CHEN Xue-rong, HUANG Biao. Effect of solvent on the solvolysis liquefaction of sawdust with phosphotungstic acid under supercritical condition[J]. Journal of Fuel Chemistry and Technology, ;2016, 44(3): 342-348. shu

Effect of solvent on the solvolysis liquefaction of sawdust with phosphotungstic acid under supercritical condition

  • Corresponding author: HUANG Biao, fjhuangbiao@hotmail.com
  • Received Date: 28 August 2015
    Revised Date: 18 November 2015

    Fund Project: and Fujian Provincial Science and Technology Major Project 2014NZ003Specialized Research Fund for the Doctoral Program of Higher Education of China 20123515110015

Figures(5)

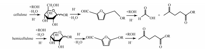
  • Phosphotungstic acid is an efficient, green and highly acidic heterogeneous catalyst. Different from other solid heteropholy acids, phosphotungstic acid is dissoluble in alcohols. This research makes the best use of the physicochemical properties of phosphotungstic acid combining with high solubility of supercritical alcohols. Sawdust was liquefied in the supercritical solvent using phosphotungstic acid as catalyst. The effects of different solvents on the solvolysis liquefaction and the compositions of bio-oil were investigated. Each solvolysis experiment was conducted at 260℃ for 30min in a stainless-steel autoclave, in which 1g of fir sawdust, 0.5g of phosphotungsic acid, 150g of alcohol (such as methanol, ethanol, n-propanol or iso-propanol) were added. The liquefaction products were separated by filtration after quenching the reaction. Then, the filtrate was extracted with n-hexane and separated into light bio-oil and heavy bio-oil after removing the solvent. Simultaneously, the residue, heavy bio-oil and light bio-oil were characterized by Fourier transform infrared (FT-IR) and Agilent 7890A/5975C gas chromatography-mass spectrometry (GC-MS). The results show that the reaction pressure and polarity of alcoholic solvents significantly impact the liquefaction efficiency and liquefaction products. The liquefaction yield using methanol, ethanol, n-propanol and iso-propanol is 54.75%, 90.29%, 85.90% and 89.15%, respectively, while the relative content of main compound esters in liquefaction products is 43.759%, 23.531%, 41.761% and 28.619%, respectively. Especially, the relative content of methyl levulinate in methanol system is 33.374%. The main compounds in liquefaction products using methanol, ethanol, iso-propanol as solvent are esters and phenols, while n-propanol system are esters, ketones and alcohols. Meanwhile, levulinate erster, which is produced through the reaction of cellulose/hemicellulose and alcohols, is detected in the liquefaction products of all four solvents. Phenols is determined in the liquefaction products in iso-propanol system with relative content of 24.342%. The aldehyde compounds only exist in methanol system. The absence of phenols in n-propanol system indicates that its weakest polarity provides less hydrogen radical and may lead to difficult degradation of lignin.
  • 加载中
    1. [1]

      SONG Chun-cai, WANG Gang, HU Hao-quan. Review of biomass thermochemical liquefaction technology[J]. Acta Energy Sol Sin, 2004,25(2):242-248.  

    2. [2]

      JIANG Hong-tao, LI Hui-quan, ZHANG Yi. Review of preparation of crude oil by biomass high-pressure liquefaction[J]. Chem Ind Eng Prog, 2006,25(1):8-13.  

    3. [3]

      WANG Ze, LIN Wei-gang, SONG Wen-li, YAO Jian-zhong, LU Chang-bo, DU Lin. Preparation of biofuels and chemicals by biomass thermochemical conversion[J]. Chem Ind Eng Prog, 2007,19:1190-1197.  

    4. [4]

      DUAN P, WANG B, XU Y. Catalytic hydrothermal upgrading of crude bio-oils produced from different thermo-chemical conversion routes of microalgae[J]. Bioresour Technol, 2015,186:58-66. doi: 10.1016/j.biortech.2015.03.050

    5. [5]

      XU C, ETCHEVERRY T. Hydro-liquefaction of woody biomass in sub-and super-critical ethanol with iron-based catalysts[J]. Fuel, 2008,87(3):335-345. doi: 10.1016/j.fuel.2007.05.013

    6. [6]

      LIU H M, XIE X A, REN J L, SUN R C. 8-Lump reaction pathways of cornstalk liquefaction in sub-and super-critical ethanol[J]. Ind Crops Prod, 2012,35(1):250-256. doi: 10.1016/j.indcrop.2011.07.004

    7. [7]

      LIU H M, LI M F, SUN R C. Hydrothermal liquefaction of cornstalk: 7-lump distribution and characterization of products[J]. Bioresour Technol, 2013,128:58-64. doi: 10.1016/j.biortech.2012.09.125

    8. [8]

      AYSU T, KÜCÜK M M. Liquefaction of giant fennel (Ferula orientalis L.) in supercritical organic solvents: Effects of liquefaction parameters on product yields and character[J]. J Supercrit Fluids, 2013,83:104-123. doi: 10.1016/j.supflu.2013.09.001

    9. [9]

      BRAND S, SUSANTI R F, KIM S K, SANG B I. Supercritical ethanol as an enhanced medium for lignocellulosic biomass liquefaction: Influence of physical process parameters[J]. Energy, 2013,59:173-182. doi: 10.1016/j.energy.2013.06.049

    10. [10]

      LIU D, LI Q, ZHAO A, SONG L, WU P, YAN Z. Hydro-liquefaction of sawdust and its three components in supercritical ethanol with Cl/NiCl2 catalyst[J]. Chem Eng J, 2015,278:921-928.  

    11. [11]

      YÜ Xian-chun, SUN De-lin. Explore of liquefaction of Chinese fir in supercritical methanol[J]. For Sci Technol, 2009,34(5):36-40.  

    12. [12]

      LI Run-dong, LI Bing-shuo, YANG Tian-hua, XIE Ying-hui. Experiment research of liquefaction of rice straw in sub/supercritical ethanol[J]. J Fuel Chem Technol, 2013,41(12):1459-1465. doi: 10.1016/S1872-5813(14)60006-2 

    13. [13]

      YOSHIDA T, MATSUMURA Y. Gasification of cellulose, xylan, and lignin mixtures in supercritical water[J]. Ind Eng Chem Res, 2001,40(23):5469-5474. doi: 10.1021/ie0101590

    14. [14]

      LIU Z G, ZHANG F S. Effects of various solvents on the liquefaction of biomass to produce fuels and chemical feedstocks[J]. Energy Convers Manage, 2008,49(12):3498-3504. doi: 10.1016/j.enconman.2008.08.009

    15. [15]

      YUAN X Z, WANG J Y, ZENG G M, HUANG H J, PEI X K, LI H, LIU Z F, CONG M H. Comparative studies of thermochemical liquefaction characteristics of microalgae using different organic solvents[J]. Energy, 2011,36(11):6406-6412. doi: 10.1016/j.energy.2011.09.031

    16. [16]

      ZHANG L H, CHAMPAGNE P, XU C C. Bio-crude production from secondary pulp/paper-mill sludge and waste newspaper via co-liquefaction in hot-compressed water[J]. Energy, 2011,36(4):2142-2150. doi: 10.1016/j.energy.2010.05.029

    17. [17]

      LU J, LI X Z, YANG R F, ZHAO J, LIU Y J, QU Y B. Liquefaction of fermentation residue of reed-and corn stover-pretreated with liquid hot water in the presence of ethanol with aluminum chloride as the catalyst[J]. Chem Eng J, 2014,247(7):142-151.  

    18. [18]

      WANG G, LI W, LI B Q, CHEN H K, BAI J. Direct liquefaction of sawdust under syngas with and without catalyst[J]. Chem Eng Process, 2007,46(3):187-192. doi: 10.1016/j.cep.2006.05.014

    19. [19]

      XU J M, JIANG J C, DAI W D, XU Y. Liquefaction of sawdust in hot compressed ethanol for the production of bio-oils[J]. Process Saf Environ Prot, 2012,90(4):333-338. doi: 10.1016/j.psep.2012.01.001

    20. [20]

      ZHOU L P, ZOU H J, NAN J X, WU L, YANG X M, SU Y L, LU T L, XU J. Conversion of carbohydrate biomass to methyl levulinate with Al2(SO4)3 as a simple, cheap and efficient catalyst[J]. Catal Commun, 2014,50(18):13-16.

    21. [21]

      HE Xiao-liang, JIANG Jian-chun, JIANG Xiao-xiang, YANG Zhong-zhi. Effect of preteatment on Liquefaction of pine sawdust and chemical componts of product[J]. Chem Ind For Prod, 2014,34(1):73-78.  

    22. [22]

      PENG L C, LIN L, LI H, YANG Q L. Conversion of carbohydrates biomass into levulinate esters using heterogeneous catalysts[J]. Appl Energy, 2011,88(12):4590-4596. doi: 10.1016/j.apenergy.2011.05.049

    23. [23]

      BRAND S, KIM J. Liquefaction of major lignocellulosic biomass constituents in supercritical ethanol[J]. Energy, 2015,80:64-74. doi: 10.1016/j.energy.2014.11.043

    24. [24]

      PETERSON A A, VOGEL F, LACHANCE R P, FRÖLING M, ANTAL J M J, TESTER J W. Thermochemical biofuel production in hydrothermal media: A review of sub-and supercritical water technologies[J]. Energy Environ Sci, 2008,1(1):32-65. doi: 10.1039/b810100k

  • 加载中
    1. [1]

      Feng Han Fuxian Wan Ying Li Congcong Zhang Yuanhong Zhang Chengxia Miao . Comprehensive Organic Chemistry Experiment: Phosphotungstic Acid-Catalyzed Direct Conversion of Triphenylmethanol for the Synthesis of Oxime Ethers. University Chemistry, 2025, 40(3): 342-348. doi: 10.12461/PKU.DXHX202405181

    2. [2]

      Ran YuChen HuRuili GuoRuonan LiuLixing XiaCenyu YangJianglan Shui . Catalytic Effect of H3PW12O40 on Hydrogen Storage of MgH2. Acta Physico-Chimica Sinica, 2025, 41(1): 100001-0. doi: 10.3866/PKU.WHXB202308032

    3. [3]

      Zunxiang Zeng Yuling Hu Yufei Hu Hua Xiao . Analysis of Plant Essential Oils by Supercritical CO2Extraction with Gas Chromatography-Mass Spectrometry: An Instrumental Analysis Comprehensive Experiment Teaching Reform. University Chemistry, 2024, 39(3): 274-282. doi: 10.3866/PKU.DXHX202309069

    4. [4]

      Xiaowu Zhang Pai Liu Qishen Huang Shufeng Pang Zhiming Gao Yunhong Zhang . Acid-Base Dissociation Equilibrium in Multiphase System: Effect of Gas. University Chemistry, 2024, 39(4): 387-394. doi: 10.3866/PKU.DXHX202310021

    5. [5]

      Ji Qi Jianan Zhu Yanxu Zhang Jiahao Yang Chunting Zhang . Visible Color Change of Copper (II) Complexes in Reversible SCSC Transformation: The Effect of Structure on Color. University Chemistry, 2024, 39(3): 43-57. doi: 10.3866/PKU.DXHX202307050

    6. [6]

      Dongqi Cai Fuping Tian Zerui Zhao Yanjuan Zhang Yue Dai Feifei Huang Yu Wang . Exploration of Factors Influencing the Determination of Ion Migration Number by Hittorf Method. University Chemistry, 2024, 39(4): 94-99. doi: 10.3866/PKU.DXHX202310031

    7. [7]

      Zhiwen HUPing LIYulong YANGWeixia DONGQifu BAO . Morphology effects on the piezocatalytic performance of BaTiO3. Chinese Journal of Inorganic Chemistry, 2025, 41(2): 339-348. doi: 10.11862/CJIC.20240172

    8. [8]

      Weihan ZhangMenglu WangAnkang JiaWei DengShuxing Bai . Surface Sulfur Species Influence Hydrogenation Performance of Palladium-Sulfur Nanosheets. Acta Physico-Chimica Sinica, 2024, 40(11): 2309043-0. doi: 10.3866/PKU.WHXB202309043

    9. [9]

      Dan LUOXingcheng LIUDong LITong CHANG . Metal-support interaction effects on CO activation over Con/SiO2 catalysts. Chinese Journal of Inorganic Chemistry, 2025, 41(11): 2337-2344. doi: 10.11862/CJIC.20250003

    10. [10]

      Yanzhe WANGXiaoming GUOQiangsheng GUOLiang LIBin LUPeihang YE . Effect of Ce introduction on the low-temperature performance of NiAl catalyst for CO2 methanation. Chinese Journal of Inorganic Chemistry, 2025, 41(11): 2218-2228. doi: 10.11862/CJIC.20250202

    11. [11]

      Rohit KumarAnita SudhaikAftab Asalam Pawaz KhanVan Huy NeguyenArchana SinghPardeep SinghSourbh ThakurPankaj Raizada . Designing tandem S-scheme photo-catalytic systems: Mechanistic insights, characterization techniques, and applications. Acta Physico-Chimica Sinica, 2025, 41(11): 100150-0. doi: 10.1016/j.actphy.2025.100150

    12. [12]

      Zhihuan XUQing KANGYuzhen LONGQian YUANCidong LIUXin LIGenghuai TANGYuqing LIAO . Effect of graphene oxide concentration on the electrochemical properties of reduced graphene oxide/ZnS. Chinese Journal of Inorganic Chemistry, 2024, 40(7): 1329-1336. doi: 10.11862/CJIC.20230447

    13. [13]

      Peng ZHOUXiao CAIQingxiang MAXu LIU . Effects of Cu doping on the structure and optical properties of Au11(dppf)4Cl2 nanocluster. Chinese Journal of Inorganic Chemistry, 2024, 40(7): 1254-1260. doi: 10.11862/CJIC.20240047

    14. [14]

      Xiaoning TANGJunnan LIUXingfu YANGJie LEIQiuyang LUOShu XIAAn XUE . Effect of sodium alginate-sodium carboxymethylcellulose gel layer on the stability of Zn anodes. Chinese Journal of Inorganic Chemistry, 2024, 40(8): 1452-1460. doi: 10.11862/CJIC.20240191

    15. [15]

      Wenqi Gao Xiaoyan Fan Feixiang Wang Zhuojun Fu Jing Zhang Enlai Hu Peijun Gong . Exploring Nernst Equation Factors and Applications of Solid Zinc-Air Battery. University Chemistry, 2024, 39(5): 98-107. doi: 10.3866/PKU.DXHX202310026

    16. [16]

      Jiahe LIUGan TANGKai CHENMingda ZHANG . Effect of low-temperature electrolyte additives on low-temperature performance of lithium cobaltate batteries. Chinese Journal of Inorganic Chemistry, 2025, 41(4): 719-728. doi: 10.11862/CJIC.20250023

    17. [17]

      Rui YangHui LiQingfei MengWenjie LiJiliang WuYongjin FangChi HuangYuliang Cao . Influence of PC-based Electrolyte on High-Rate Performance in Li/CrOx Primary Battery. Acta Physico-Chimica Sinica, 2024, 40(9): 2308053-0. doi: 10.3866/PKU.WHXB202308053

    18. [18]

      Zhiwen HUJiayan ZHOUHuiying ZHANGYulong YANGPing LIZelong CHENWeixia DONGQifu BAO . Influence mechanism of stoichiometric ratio on the catalytic performance of Bi12TiO20/BaTiO3 heterojunction. Chinese Journal of Inorganic Chemistry, 2026, 42(4): 773-788. doi: 10.11862/CJIC.20250251

    19. [19]

      Xiqing Liang Tian Zhao Jiawei Li Haohui Tan Hai Chen Liyan Zeng . Pentaerythritol’s Journey of Making Friends. University Chemistry, 2025, 40(10): 175-185. doi: 10.12461/PKU.DXHX202412009

    20. [20]

      Yuanchao LIWeifeng HUANGPengchao LIANGZifang ZHAOBaoyan XINGDongliang YANLi YANGSonglin WANG . Effect of heterogeneous dual carbon sources on electrochemical properties of LiMn0.8Fe0.2PO4/C composites. Chinese Journal of Inorganic Chemistry, 2024, 40(4): 751-760. doi: 10.11862/CJIC.20230252

Metrics
  • PDF Downloads(6)
  • Abstract views(1110)
  • HTML views(100)

通讯作者: 陈斌, bchen63@163.com
  • 1. 

    沈阳化工大学材料科学与工程学院 沈阳 110142

  1. 本站搜索
  2. 百度学术搜索
  3. 万方数据库搜索
  4. CNKI搜索
Address:Zhongguancun North First Street 2,100190 Beijing, PR China Tel: +86-010-82449177-888
Powered By info@rhhz.net

/

DownLoad:  Full-Size Img  PowerPoint
Return