Citation: LIU Heng, KAN Qiu-bin. Synthesis of hierarchical Mo/H-IM-5 catalysts by using mesoporous material as the silica source and its application in methane non-oxidative aromatization[J]. Journal of Fuel Chemistry and Technology, ;2016, 44(11): 1380-1387. shu

Synthesis of hierarchical Mo/H-IM-5 catalysts by using mesoporous material as the silica source and its application in methane non-oxidative aromatization

  • Corresponding author: LIU Heng, liuhengjlu@163.com
  • Received Date: 24 June 2016
    Revised Date: 8 August 2016

    Fund Project: Youth Fund of Changchun University of Science and Technology XJJLG-2015-12

Figures(8)

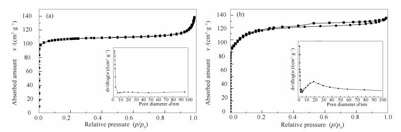
  • A novel hierarchical porous IM-5 (IM-5-K) was synthesized by using mesoporous silica KIT-6 as the silica sources. The physical properties and acidities of the samples were characterized by XRD, SEM, TEM, BET and NH3-TPD. Moreover, Mo-modified catalyst, Mo-IM-5-K was prepared for non-oxidative aromatization of methane. Compared with Mo-IM-5-C, the Mo-IM-5-K catalyst showed higher conversion of methane and yields of aromatics. In addition, Mo-IM-5-K exhibited better stability than Mo-IM-5-C. Different activities and stabilities of the catalysts may be due to their different structure properties and acidities. The existence of secondary mesoporous systems may influence the location and state of the active Mo species, simultaneously lead to easier access to the active sites for reactants and better diffusion of aromatic products, thus improvs the activities of the catalysts.
  • 加载中
    1. [1]

      MA S, GUO X, ZHAO L, SCOTTC S, BAO X. Recent progress in methane dehydroaromatization:From laboratory curiosities to promising technology[J]. J Energy Chem, 2013,22(1):1-20. doi: 10.1016/S2095-4956(13)60001-7

    2. [2]

      LUNSFORD J H. Catalytic conversion of methane to more useful chemicals and fuels:A challenge for the 21st century[J]. Catal Today, 2000,63(2/4):165-174.  

    3. [3]

      XU C, GUAN J, WU S, JIA M, WU T, KAN Q. Catalytic performance of zeolite ITQ-13 with 9-and 10-member rings for methane dehydroaromation[J]. React Kinet Mech Catal, 2010,99(1):193-199.  

    4. [4]

      LIU H, HU J, LI Z, WU S, LIU L, GUAN J, KAN Q. Synthesis of zeolite IM-5 under rotating and static conditions and the catalytic performance of Mo/H-IM-5 catalyst in methane non-oxidative aromatization[J]. Kinet Catal, 2013,54(4):443-450. doi: 10.1134/S0023158413040083

    5. [5]

      XU Yue-bing, LU Jiang-yin, WANG Ji-de, ZHANG Zhan-guo. Mo-based zeolite catalysts and oxygen-free methane aromatization[J]. Prog Chem, 2011,23(1):90-106.  

    6. [6]

      WANG D, KAN Q, XU N, WU P, WU T. Study on methane aromatization over MoO3/HMCM-49 catalyst[J]. Catal Today, 2004,93:75-80.

    7. [7]

      LIU H, YANG S, WU S, SHANG F, YU X, XU C, GUAN J, KAN Q. Synthesis of Mo/TNU-9(TNU-9 Taejon National University No. 9) catalyst and its catalytic performance in methane non-oxidative aromatization[J]. Energy, 2011,36:1582-1589. doi: 10.1016/j.energy.2010.12.073

    8. [8]

      LIU H, YANG S, HU J, SHANG F, LI Z, XU C, GUAN J, KAN Q. A comparison study of mesoporous Mo/H-ZSM-5 and conventional Mo/H-ZSM-5 catalysts in methane non-oxidative aromatization[J]. Fuel Process Technol, 2012,96:195-202. doi: 10.1016/j.fuproc.2011.12.034

    9. [9]

      WU P, KAN Q, WANG X, WANG D, XING H, YANG P, WU T. Acidity and catalytic properties for methane conversion of Mo/HZSM-5 catalyst modified by reacting with organometallic complex[J]. Appl Catal A:Gen, 2005,282(1/2):39-44.  

    10. [10]

      YANG Jian-hua, YU Su-xia, HU Hui-ye, CHU Nai-bo, LU Jin-ming, YIN De-hong, WANG Jin-qu. Synthesis of hierarchical HZSM-5 microspheres without second template and their application in methane dehydroaromatization[J]. Chin J Catal, 2011,32(2):362-367.  

    11. [11]

      WANG Di-yong, WANG Jin-qu, YANG Jian-hua, LU Jin-ming, YIN De-hong, ZHANG Yan. Synthesis of ZSM-5 zeolite by vapor-phase method and performance of its Mo-based catalyst for methane dehydroaromatization[J]. Chin J Catal, 2012,33(8):1383-1388.  

    12. [12]

      ZHANG Hang-fei, MA Ji-yuan, YIN Jin-lian, ZHOU Rong, LU Jiang-yin. Effect of methane dehydroaromatization over modified 6%Mo-0.7%Co/HZSM-5 catalysts in absence of oxidants[J]. Mod Chem Ind, 2015,35(11):77-80.  

    13. [13]

      GUO X, FANG G, LI G, MA H, FAN H, YU L, MA C, WU X, DENG D, WEI M, TAN D, SI R, ZHANG S, LI J, SUN L, TANG Z, PAN X, BAO X. Direct, nonoxidative conversion of methane to ethylene, aromatics, and hydrogen[J]. Science, 2014,344(6184):616-619. doi: 10.1126/science.1253150

    14. [14]

      KLEITZ F, CHOI S H, RYOO R. Cubic Ia3d large mesoporous silica:Synthesis and replication to platinum nanowires, carbon nanorods and carbon nanotubes[J]. Chem Commun, 2003,9(17):2136-2137.

    15. [15]

      OVEISI H, ANAND C, MANO A, AL-DEYAB S S, KALITA P, BEITOLLAHI A, VINU A. Inclusion of size controlled gallium oxide nanoparticles into highly ordered 3D mesoporous silica with tunable pore diameters and their unusual catalytic performance[J]. J Mater Chem, 2010,20(45):10120-10129. doi: 10.1039/c0jm02006k

    16. [16]

      CORMA A, MENGUAL J, MIGUEL P J. IM-5 zeolite for steam catalytic cracking of naphtha to produce propene and ethene. An alternative to ZSM-5 zeolite[J]. Appl Catal A:Gen, 2013,460-461(11):106-115.

    17. [17]

      LIU H, WU S, GUO Y, SHANG F, YU X, MA Y, XU C, GUAN J, KAN Q. Synthesis of Mo/IM-5 catalyst and its catalytic behavior in methane non-oxidative aromatization[J]. Fuel, 2011,90:1515-1521. doi: 10.1016/j.fuel.2010.11.027

    18. [18]

      VENNESTRØM P N R, JANSSENS T V W, KUSTOV A, GRILL M, PUIG-MOLINA A, LUNDEGAARD L F, TIRUVALAM R R, CONCEPCIÓN P, CORMA A. Influence of lattice stability on hydrothermal deactivation of Cu-ZSM-5 and Cu-IM-5 zeolites for selective catalytic reduction of NOx by NH3[J]. J Catal, 2014,309(6):477-490.

    19. [19]

      CHEN Jun-wen, ZHANG Chao, WANG Yong-rui, SUN Min, MU Xu-hong, SHU Xing-tian. Catalytic performance of modified IM-5 zeolite in alkylation of toluene with methanol[J]. Acta Pet Sin (Pet Process Sect), 2013,29(5):757-766.  

    20. [20]

      PARLETT C M, WILSON K, LEE A F. Hierarchical porous materials:Catalytic applications[J]. Chem Soc Rev, 2013,42(9):3876-3893. doi: 10.1039/C2CS35378D

    21. [21]

      SACHSE A, WUTTKE C, DÍAZ U, DESOUZA M O. Mesoporous Y zeolite through ionic liquid based surfactant templating[J]. Microporous Mesoporous Mater, 2015,217:81-86. doi: 10.1016/j.micromeso.2015.05.049

    22. [22]

      KOOHSARYAN E, ANBIA M. Nanosized and hierarchical zeolites:A short review[J]. Chin J Catal, 2016,37(4):447-467. doi: 10.1016/S1872-2067(15)61038-5

    23. [23]

      CUI Sheng-hang, ZHANG Jun-tao, SHEN Zhi-bing. Hierarchical ZSM-5 zeolite:Synthesis and catalytic applications[J]. Chem Ind Eng Prog, 2015,34(9):3311-3316.  

    24. [24]

      LIU Xiao-ling, JIANG Jian-zhun, ZHANG Ming-sen. Research advance in synthesis of hierarchical molecular sieves[J]. Ind Catal, 2016,24(3):10-18.  

    25. [25]

      LI B, LI S, LI N, CHEN H, ZHANG W, BAO X, LIN B. Structure and acidity of Mo/ZSM-5 synthesized by solid state reaction for methane dehydrogenation and aromatization[J]. Microporous Mesoporous Mater, 2006,88(1/3):244-253.  

  • 加载中
    1. [1]

      Bing LIUHuang ZHANGHongliang HANChangwen HUYinglei ZHANG . Visible light degradation of methylene blue from water by triangle Au@TiO2 mesoporous catalyst. Chinese Journal of Inorganic Chemistry, 2024, 40(5): 941-952. doi: 10.11862/CJIC.20230398

    2. [2]

      Yuanpei ZHANGJiahong WANGJinming HUANGZhi HU . Preparation of magnetic mesoporous carbon loaded nano zero-valent iron for removal of Cr(Ⅲ) organic complexes from high-salt wastewater. Chinese Journal of Inorganic Chemistry, 2024, 40(9): 1731-1742. doi: 10.11862/CJIC.20240077

    3. [3]

      Zehao ZhangZheng WangHaibo Li . Preparation of 2D V2O3@Pourous Carbon Nanosheets Derived from V2CFx MXene for Capacitive Desalination. Acta Physico-Chimica Sinica, 2024, 40(8): 2308020-0. doi: 10.3866/PKU.WHXB202308020

    4. [4]

      Ruifeng CHENChao XUJianting JIANGTianshe YANG . Gold nanorod/zinc oxide/mesoporous silica nanoplatform: A triple-modal platform for synergistic anticancer therapy. Chinese Journal of Inorganic Chemistry, 2025, 41(11): 2272-2282. doi: 10.11862/CJIC.20250117

    5. [5]

      Yongqing XuYuyao YangMengna WuXiaoxiao YangXuan BieShiyu ZhangQinghai LiYanguo ZhangChenwei ZhangRobert E. PrzekopBogna SztorchDariusz BrzakalskiHui Zhou . Review on Using Molybdenum Carbides for the Thermal Catalysis of CO2 Hydrogenation to Produce High-Value-Added Chemicals and Fuels. Acta Physico-Chimica Sinica, 2024, 40(4): 2304003-0. doi: 10.3866/PKU.WHXB202304003

    6. [6]

      Yang Li Jiachen Li Daidi Fan . 二硫化钼纳米片的制备及其纳米酶性能探究——介绍一个大学化学综合实验. University Chemistry, 2025, 40(8): 233-240. doi: 10.12461/PKU.DXHX202410016

    7. [7]

      Yinuo Wang Siran Wang Yilong Zhao Dazhen Xu . Selective Synthesis of Diarylmethyl Anilines and Triarylmethanes via Multicomponent Reactions: Introduce a Comprehensive Experiment of Organic Chemistry. University Chemistry, 2024, 39(8): 324-330. doi: 10.3866/PKU.DXHX202401063

    8. [8]

      Yanzhe WANGXiaoming GUOQiangsheng GUOLiang LIBin LUPeihang YE . Effect of Ce introduction on the low-temperature performance of NiAl catalyst for CO2 methanation. Chinese Journal of Inorganic Chemistry, 2025, 41(11): 2218-2228. doi: 10.11862/CJIC.20250202

    9. [9]

      Yuting BaiCenqi YanZhen LiJiaqiang QinPei Cheng . Preparation of High-Strength Polyimide Porous Films with Thermally Closed Pore Property by In Situ Pore Formation Method. Acta Physico-Chimica Sinica, 2024, 40(9): 2306010-0. doi: 10.3866/PKU.WHXB202306010

    10. [10]

      Wenlong WangWentao HaoLang HeJia QiaoNing LiChaoqiu ChenYong Qin . Bandgap and adsorption engineering of carbon dots/TiO2 S-scheme heterojunctions for enhanced photocatalytic CO2 methanation. Acta Physico-Chimica Sinica, 2025, 41(9): 100116-0. doi: 10.1016/j.actphy.2025.100116

    11. [11]

      Yiting HuoXin ZhouFeifan ZhaoChenbin AiZhen WuZhidong ChangBicheng Zhu . Boosting photocatalytic CO2 methanation through TiO2/CdS S-scheme heterojunction and fs-TAS mechanism study. Acta Physico-Chimica Sinica, 2025, 41(11): 100148-0. doi: 10.1016/j.actphy.2025.100148

    12. [12]

      Kexin YanZhaoqi YeLingtao KongHe LiXue YangYahong ZhangHongbin ZhangYi Tang . Seed-Induced Synthesis of Disc-Cluster Zeolite L Mesocrystals with Ultrashort c-Axis: Morphology Control, Decoupled Mechanism, and Enhanced Adsorption. Acta Physico-Chimica Sinica, 2024, 40(9): 2308019-0. doi: 10.3866/PKU.WHXB202308019

    13. [13]

      Lina GuoRuizhe LiChuang SunXiaoli LuoYiqiu ShiHong YuanShuxin OuyangTierui Zhang . Effect of Interlayer Anions in Layered Double Hydroxides on the Photothermocatalytic CO2 Methanation of Derived Ni-Al2O3 Catalysts. Acta Physico-Chimica Sinica, 2025, 41(1): 100002-0. doi: 10.3866/PKU.WHXB202309002

    14. [14]

      Xiaoyang Li Xiaowei Huang Yimeng Zhang Huan Liu Shao Jin Junpeng Zhuang . Comprehensive Chemical Experiments on the Synthesis of 1,3-Dibromo-5,5-Dimethylhydantoin and Its Application as a Brominating Reagent. University Chemistry, 2025, 40(7): 286-293. doi: 10.12461/PKU.DXHX202408035

    15. [15]

      Lu XUChengyu ZHANGWenjuan JIHaiying YANGYunlong FU . Zinc metal-organic framework with high-density free carboxyl oxygen functionalized pore walls for targeted electrochemical sensing of paracetamol. Chinese Journal of Inorganic Chemistry, 2024, 40(5): 907-918. doi: 10.11862/CJIC.20230431

    16. [16]

      Jing SUBingrong LIYiyan BAIWenjuan JIHaiying YANGZhefeng Fan . Highly sensitive electrochemical dopamine sensor based on a highly stable In-based metal-organic framework with amino-enriched pores. Chinese Journal of Inorganic Chemistry, 2024, 40(7): 1337-1346. doi: 10.11862/CJIC.20230414

    17. [17]

      Zhi FANGLiang SUNMingze ZHENGWenhao SHENGHongliang HUANGChongli ZHONG . An aluminum-based metal-organic framework with slit pores for the efficient separation and recovery of electronic specialty gas C3F8. Chinese Journal of Inorganic Chemistry, 2025, 41(10): 2054-2062. doi: 10.11862/CJIC.20250096

    18. [18]

      Xue-Peng Zhang Yuchi Long Yushu Pan Jiding Wang Baoyu Bai Rui Ding . 定量构效关系方法学习探索:以钴卟啉活化氧气为例. University Chemistry, 2025, 40(8): 345-359. doi: 10.12461/PKU.DXHX202410107

    19. [19]

      Mingjie LeiWenting HuKexin LinXiujuan SunHaoshen ZhangYe QianTongyue KangXiulin WuHailong LiaoYuan PanYuwei ZhangDiye WeiPing Gao . Accelerating the reconstruction of NiSe2 by Co/Mn/Mo doping for enhanced urea electrolysis. Acta Physico-Chimica Sinica, 2025, 41(8): 100083-0. doi: 10.1016/j.actphy.2025.100083

    20. [20]

      Rui Gao Ying Zhou Yifan Hu Siyuan Chen Shouhong Xu Qianfu Luo Wenqing Zhang . Design, Synthesis and Performance Experiment of Novel Photoswitchable Hybrid Tetraarylethenes. University Chemistry, 2024, 39(5): 125-133. doi: 10.3866/PKU.DXHX202310050

Metrics
  • PDF Downloads(1)
  • Abstract views(1923)
  • HTML views(690)

通讯作者: 陈斌, bchen63@163.com
  • 1. 

    沈阳化工大学材料科学与工程学院 沈阳 110142

  1. 本站搜索
  2. 百度学术搜索
  3. 万方数据库搜索
  4. CNKI搜索
Address:Zhongguancun North First Street 2,100190 Beijing, PR China Tel: +86-010-82449177-888
Powered By info@rhhz.net

/

DownLoad:  Full-Size Img  PowerPoint
Return