Citation: LI Zhan-ku, WANG Hai-tao, YAN Hong-lei, YAN Jing-chong, LEI Zhi-ping, REN Shi-biao, WANG Zhi-cai, KANG Shi-gang, SHUI Heng-fu. Simulation of hydrogen bonds in low-rank coals with lignite-related complexes using dispersion corrected density functional theory[J]. Journal of Fuel Chemistry and Technology, ;2020, 48(10): 1153-1159. shu

Simulation of hydrogen bonds in low-rank coals with lignite-related complexes using dispersion corrected density functional theory

  • Corresponding author: LI Zhan-ku, li_zhanku@163.com SHUI Heng-fu, shhf@ahut.edu.cn
  • Received Date: 1 July 2020
    Revised Date: 6 September 2020

    Fund Project: The project was supported by the National Key Research and Development Program of China (2018YFB0604600), the Natural Science Foundation of China (21776001, 21878001, U1710114, 21875001, 21808002), and Anhui Province Key Laboratory of Coal Clean Conversion and High Valued Utilization, Anhui University of Technology (CHV19-01)

Figures(5)

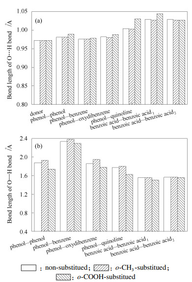
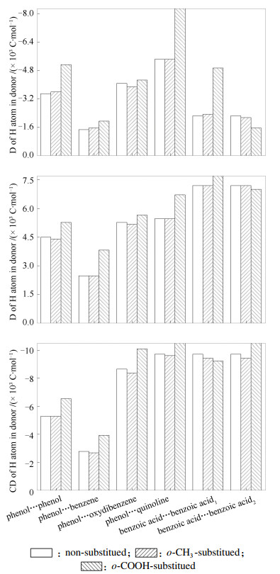
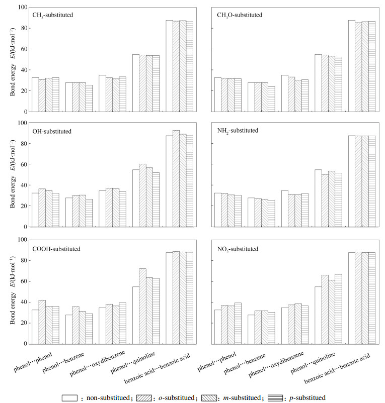
  • Phenol…phenol, phenol…benzene, phenol…oxydibenzene, phenol…quinoline, and benzoic acid…benzoic acid were selected as lignite-related complexes to investigate different hydrogen bonds formed by self-associated OH, OH-π, OH-ether O, OH-N, and COOH-COOH using density functional theory with dispersion correction, respectively. Moreover, the effects of substituents (CH3-, CH3O-, OH-, NH2-, COOH-, and NO2-) in donors on the hydrogen bonds were investigated. Geometry optimization, energy, Mulliken population, and frequency of all the complexes were calculated. It can be seen from optimized structures that there indeed are hydrogen bonds in the different complexes. Bond lengths of all O-H bonds in the different complexes become longer than that of free OH in phenol, which implies that intermolecular interactions exist in all the complexes. Among of them, bond lengths of O-H bonds in benzoic acid…benzoic acid are the longest. In addition, charge transfer can be observed via Mulliken population. Based on frequency analysis, all O-H stretching vibrations have obvious red shift, especially O-H bonds in benzoic acid…benzoic acid and phenol…quinoline, which gives evidence of using the infrared spectroscopy to analyze hydroxyl groups of coals. According to bond energies, the strength of the different hydrogen bonds decreases in the order: COOH-COOH > OH-N > self-associated OH ≈ OH-ether O > OH-π, which is consistent with the reported experimental results. Different substituents have distinct effects on the hydrogen bonds.
  • 加载中
    1. [1]

      LARSEN J W, GREEN T K, KOVAC J. The nature of the macromolecular network structure of bituminous coals[J]. J Org Chem, 1985,50(24):4729-4735. doi: 10.1021/jo00224a014

    2. [2]

      LARSEN J W, SHAWVER S. Solvent swelling studies of two low-rank coals[J]. Energy Fuels, 1990,4(1):74-77.  

    3. [3]

      XIAO J, ZHAO Y P, FAN X, CAO J P, KANG G J, ZHAO W, WEI X Y. Hydrogen bonding interactions between the organic oxygen/nitrogen monomers of lignite and water molecules:A DFT and AIM study[J]. Fuel Process Technol, 2017,168:58-64. doi: 10.1016/j.fuproc.2017.09.001

    4. [4]

      LI Z K, YAN H L, YAN J C, WANG Z C, LEI Z P, REN S B, SHUI H F. Drying and depolymerization technologies of Zhaotong lignite:A review[J]. Fuel Process Technol, 2019,186:88-98. doi: 10.1016/j.fuproc.2019.01.002

    5. [5]

      LI D, LI W, CHEN H, LI B. The adjustment of hydrogen bonds and its effect on pyrolysis property of coal[J]. Fuel Process Technol, 2004,85(8/10):815-825.  

    6. [6]

      LI H J, LI X H, FENG J, LI W Y. Effect of preheating treatment on oxygen migration during lignite pyrolysis[J]. J Fuel Chem Technol, 2019,47(1):1-7.  

    7. [7]

      HOU R, BAI Z, ZHENG H, FENG Z, YE D, GUO Z, KONG L, BAI J, LI W. Behaviors of hydrogen bonds formed by lignite and aromatic solvents in direct coal liquefaction:Combination analysis of density functional theory and experimental methods[J]. Fuel, 2020,265117011. doi: 10.1016/j.fuel.2020.117011

    8. [8]

      LEI Z P, WU L, ZHANG Y Q, SHUI H F, WANG Z C, REN S B. Effect of noncovalent bonds on the successive sequential extraction of Xianfeng lignite[J]. Fuel Process Technol, 2013,111:118-122. doi: 10.1016/j.fuproc.2013.02.004

    9. [9]

      LEI Z P, CHENG L L, ZHANG S F, ZHANG Y Q, SHUI H F, REN S B, WANG Z C. Dissolution performance of coals in ionic liquid 1-butyl-3-methyl-imidazolium chloride[J]. Fuel Process Technol, 2015,129:222-226. doi: 10.1016/j.fuproc.2014.09.021

    10. [10]

      CHEN C, GAO J S, YAN Y J. Observation of the type of hydrogen bonds in coal by FT-IR[J]. Energy Fuels, 1998,12(3):446-449.  

    11. [11]

      PAINTER P C, SOBKOWIAK M, YOUTCHEFF J. FT-IR. study of hydrogen bonding in coal[J]. Fuel, 1987,66(7):973-978. doi: 10.1016/0016-2361(87)90338-3

    12. [12]

      MIURA K, MAE K, HASEGAWA I, CHEN H, KUMANO A, TAMURA K. Estimation of hydrogen bond distributions formed between coal and polar solvents using in situ IR technique[J]. Energy Fuels, 2002,16(1):23-31.  

    13. [13]

      MIURA K, MAE K, LI W, KUSAKAWA T, MOROZUMI F, KUMANO A. Estimation of hydrogen bond distribution in coal through the analysis of OH stretching bands in diffuse reflectance infrared spectrum measured by in-situ technique[J]. Energy Fuels, 2001,15(3):599-610.  

    14. [14]

      HAO P Y, MENG Y J, ZENG F G, YAN T T, XU G B. Quantitative study of chemical structures of different rank coals based on infrared spectroscopy[J]. Spectrosc Spect Anal, 2020,40(3):787-792.  

    15. [15]

      HUANG X, CHU W, SUN W J, JIANG C F, FENG Y Y, XUE Y. Investigation of oxygen-containing group promotion effect on CO2-coal interaction by density functional theory[J]. Appl Surf Sci, 2014,299:162-169. doi: 10.1016/j.apsusc.2014.01.205

    16. [16]

      LI G Y, XIE Q A, ZHANG H, GUO R, WANG F, LIANG Y H. Pyrolysis mechanism of metal-ion-exchanged lignite:A combined reactive force field and density functional theory study[J]. Energy Fuels, 2014,28(8):5373-5381. doi: 10.1021/ef501156b

    17. [17]

      LI L, FAN H, HU H. A theoretical study on bond dissociation enthalpies of coal based model compounds[J]. Fuel, 2015,153:70-77. doi: 10.1016/j.fuel.2015.02.088

    18. [18]

      LI G Y, WANG F, WANG J P, LI Y Y, LI A Q, LIANG Y H. ReaxFF and DFT study on the sulfur transformation mechanism during the oxidation process of lignite[J]. Fuel, 2016,181:238-247. doi: 10.1016/j.fuel.2016.04.068

    19. [19]

      LIU J, WU J, ZHU J, WANG Z, ZHOU J, CEN K. Removal of oxygen functional groups in lignite by hydrothermal dewatering:An experimental and DFT study[J]. Fuel, 2016,178:85-92. doi: 10.1016/j.fuel.2016.03.045

    20. [20]

      WU J, LIU J, YUAN S, WANG Z, ZHOU J, CEN K. Theoretical investigation of noncovalent interactions between low-rank coal and water[J]. Energy Fuels, 2016,30(9):7118-7124. doi: 10.1021/acs.energyfuels.6b01377

    21. [21]

      LI L, FAN H, HU H. Distribution of hydroxyl group in coal structure:A theoretical investigation[J]. Fuel, 2017,189:195-202. doi: 10.1016/j.fuel.2016.10.091

    22. [22]

      SUN T, WANG Y B. Calculation of the binding energies of different types of hydrogen bonds using GGA density functional and its long-range, empirical dispersion correction methods[J]. Acta Phys-Chim Sin, 2011,27(11):2553-2558. doi: 10.3866/PKU.WHXB20111017

    23. [23]

      JANESKO B G. Modeling interactions between lignocellulose and ionic liquids using DFT-D[J]. Phys Chem Chem Phys, 2011,13(23):11393-11401. doi: 10.1039/c1cp20072k

    24. [24]

      JOSA D, RODRÍGUEZ-OTERO J, CABALEIRO-LAGO E M, RELLÁN-PIÑEIRO M. Analysis of the performance of DFT-D, M05-2X and M06-2X functionals for studying π-π interactions[J]. Chem Phys Lett, 2013,557:170-175. doi: 10.1016/j.cplett.2012.12.017

    25. [25]

      LI B, LIU S, GUO J, ZHANG L. Interaction between low rank coal and kaolinite particles:A DFT simulation[J]. Appl Surf Sci, 2018,456:215-220. doi: 10.1016/j.apsusc.2018.06.121

    26. [26]

      LI Z K, ZONG Z M, YAN H L, WANG Y G, WEI X Y, SHI D L, ZHAO Y P, ZHAO C L, YANG Z S, FAN X. Alkanolysis simulation of lignite-related model compounds using density functional theory[J]. Fuel, 2014,120:158-162. doi: 10.1016/j.fuel.2013.12.009

    27. [27]

      ZHANG R, XING Y, XIA Y, LUO J, TAN J, RONG G, GUI X. New insight into surface wetting of coal with varying coalification degree:An experimental and molecular dynamics simulation study[J]. Appl Surf Sci, 2020,511145610. doi: 10.1016/j.apsusc.2020.145610

    28. [28]

      STEINER T. The hydrogen bond in the solid state[J]. Angew Chem Int Ed, 2002,41:48-76. doi: 10.1002/1521-3773(20020104)41:1<48::AID-ANIE48>3.0.CO;2-U

    29. [29]

      LIU F J, WEI X Y, GUI J, WANG Y G, LI P, ZONG Z M. Characterization of biomarkers and structural features of condensed aromatics in Xianfeng lignite[J]. Energy Fuels, 2013,27(12):7369-7378. doi: 10.1021/ef402027g

    30. [30]

      LI Z K, WEI X Y, YAN H L, ZONG Z M. Insight into the structural features of Zhaotong lignite using multiple techniques[J]. Fuel, 2015,153:176-182. doi: 10.1016/j.fuel.2015.02.117

  • 加载中
    1. [1]

      Maitri BhattacharjeeRekha Boruah SmritiR. N. Dutta PurkayasthaWaldemar ManiukiewiczShubhamoy ChowdhuryDebasish MaitiTamanna Akhtar . Synthesis, structural characterization, bio-activity, and density functional theory calculation on Cu(Ⅱ) complexes with hydrazone-based Schiff base ligands. Chinese Journal of Inorganic Chemistry, 2024, 40(7): 1409-1422. doi: 10.11862/CJIC.20240007

    2. [2]

      Zhengkun QINZicong PANHui TIANWanyi ZHANGMingxing SONG . A series of iridium(Ⅲ) complexes with fluorophenyl isoquinoline ligand and low-efficiency roll-off properties: A density functional theory study. Chinese Journal of Inorganic Chemistry, 2025, 41(6): 1235-1244. doi: 10.11862/CJIC.20240429

    3. [3]

      Haifeng ZHENGXingzhe GUOYunwei WEIXinfang WANGHuimin QIYuting YANJie ZHANGBingwen LI . Post-synthetic modification strategy to construct Co-MOF composites for boosting oxygen evolution reaction activity. Chinese Journal of Inorganic Chemistry, 2026, 42(1): 193-202. doi: 10.11862/CJIC.20250029

    4. [4]

      Xu HuangKai-Yin WuChao SuLei YangBei-Bei Xiao . Metal-organic framework Cu-BTC for overall water splitting: A density functional theory study. Chinese Chemical Letters, 2025, 36(4): 109720-. doi: 10.1016/j.cclet.2024.109720

    5. [5]

      Dixing NiJiarui QiZhi DengDong DingRui WangWenjie ZhouSisi ZhouYang SunShuai LiZhaoxiang Wang . Voltage design and transport channel optimization of anti-perovskite cathode materials: A density functional theory study. Chinese Chemical Letters, 2025, 36(12): 110683-. doi: 10.1016/j.cclet.2024.110683

    6. [6]

      Jie ZHAOSen LIUQikang YINXiaoqing LUZhaojie WANG . Theoretical calculation of selective adsorption and separation of CO2 by alkali metal modified naphthalene/naphthalenediyne. Chinese Journal of Inorganic Chemistry, 2024, 40(3): 515-522. doi: 10.11862/CJIC.20230385

    7. [7]

      Jie ZHAOHuili ZHANGXiaoqing LUZhaojie WANG . Theoretical calculations of CO2 capture and separation by functional groups modified 2D covalent organic framework. Chinese Journal of Inorganic Chemistry, 2025, 41(2): 275-283. doi: 10.11862/CJIC.20240213

    8. [8]

      Hao XURuopeng LIPeixia YANGAnmin LIUJie BAI . Regulation mechanism of halogen axial coordination atoms on the oxygen reduction activity of Fe-N4 site: A density functional theory study. Chinese Journal of Inorganic Chemistry, 2025, 41(4): 695-701. doi: 10.11862/CJIC.20240302

    9. [9]

      Yupeng TANGHaiying YANGFan JINNan LI . Hydrogen storage properties of C6S6Li6: A density functional theory study. Chinese Journal of Inorganic Chemistry, 2025, 41(9): 1827-1839. doi: 10.11862/CJIC.20240460

    10. [10]

      Gongxi LiJun JinJunxuan TuHaoguo YueYing WangXiaohui JiaWeiyuan YinZhenglin HanYuxuan DengChunfeng ShiYonggang Zhen . Intrinsically stretchable polymer semiconductors synergistically constructed by hydrogen bonds and metal coordination. Chinese Chemical Letters, 2025, 36(12): 111716-. doi: 10.1016/j.cclet.2025.111716

    11. [11]

      Hao GuRui LiQiuying LiSheng LuYahui ChenXiaoning YangHuili MaZhijun XuXiaoqiang Chen . Multi-dimensional hydrogen bonds regulated emissions of single-molecule system enabling surficial hydrophobicity/hydrophilicity mapping. Chinese Chemical Letters, 2025, 36(5): 110116-. doi: 10.1016/j.cclet.2024.110116

    12. [12]

      Xiu-Mei XieHongyang ZhangShao-Xuan GongHong-Xia SunYu-Ting LiuXue-Ling ChenShuming ChenTian-Yu GaoWai-Yeung WongZhen ZhangDa-Gang Yu . Carbonylation of C(sp3)–H bonds with CO2: Facile synthesis of 2,4-quinolinediones and related luminescent materials. Chinese Chemical Letters, 2026, 37(3): 112003-. doi: 10.1016/j.cclet.2025.112003

    13. [13]

      Xian-Mei ZhaoLi-Wei TangYi LiuYu MaTian YangHao RongLin-Jie WeiJun-Hua LuoZhi-Hua Sun . Enhancing interlayer hydrogen bonds of 2D Ruddlesden-Popper perovskite toward stable polarization-sensitive photodetection. Chinese Chemical Letters, 2025, 36(7): 110092-. doi: 10.1016/j.cclet.2024.110092

    14. [14]

      Heng YangZhijie ZhouConghui TangFeng Chen . Recent advances in heterogeneous hydrosilylation of unsaturated carbon-carbon bonds. Chinese Chemical Letters, 2024, 35(6): 109257-. doi: 10.1016/j.cclet.2023.109257

    15. [15]

      Hongen CaoXinrui XiaoXu ZhangYiyang ZhangLei Yu . Element Transfer Reaction theory: Scientific connotation and its applications in chemical industry. Chinese Chemical Letters, 2025, 36(9): 110924-. doi: 10.1016/j.cclet.2025.110924

    16. [16]

      Jialin HuangLiying FuZhanyong TangXiaoqiang MaXingda ZhaoDepeng Zhao . Cross-coupling of trifluoromethylarenes with alkynes C(sp)-H bonds and azoles C(sp2)-H bonds via photoredox/copper dual catalysis. Chinese Chemical Letters, 2025, 36(7): 110505-. doi: 10.1016/j.cclet.2024.110505

    17. [17]

      Hang ChenChengzhi CuiHebo YeHanxun ZouLei You . Enhancing hydrolytic stability of dynamic imine bonds and polymers in acidic media with internal protecting groups. Chinese Chemical Letters, 2024, 35(5): 109145-. doi: 10.1016/j.cclet.2023.109145

    18. [18]

      Li LiZhi-Xin YanChuan-Kun RanYi LiuShuo ZhangTian-Yu GaoLong-Fei DaiLi-Li LiaoJian-Heng YeDa-Gang Yu . Electro-reductive carboxylation of CCl bonds in unactivated alkyl chlorides and polyvinyl chloride with CO2. Chinese Chemical Letters, 2024, 35(12): 110104-. doi: 10.1016/j.cclet.2024.110104

    19. [19]

      Liying OuZhenluan XueBo LiZhiwei JinJiaochan ZhongLixia YangPenghui ShaoShenglian Luo . Nitrogen-containing linkage-bonds in covalent organic frameworks: Synthesis and applications. Chinese Chemical Letters, 2025, 36(6): 110294-. doi: 10.1016/j.cclet.2024.110294

    20. [20]

      Jun JiangHui DaiTao Tu . Two vicinal C(sp3)-F bonds functionalization of perfluoroalkyl halides (PFAHs). Chinese Chemical Letters, 2025, 36(7): 111054-. doi: 10.1016/j.cclet.2025.111054

Metrics
  • PDF Downloads(2)
  • Abstract views(1701)
  • HTML views(93)

通讯作者: 陈斌, bchen63@163.com
  • 1. 

    沈阳化工大学材料科学与工程学院 沈阳 110142

  1. 本站搜索
  2. 百度学术搜索
  3. 万方数据库搜索
  4. CNKI搜索
Address:Zhongguancun North First Street 2,100190 Beijing, PR China Tel: +86-010-82449177-888
Powered By info@rhhz.net

/

DownLoad:  Full-Size Img  PowerPoint
Return