Citation: QIAN Meng-dan, XUE Ji-long, XIA Sheng-jie, NI Zhe-ming, JIANG Jun-hui, CAO Yong-yong. Decarbonylation and hydrogenation reaction of furfural on Pd/Cu (111) surface[J]. Journal of Fuel Chemistry and Technology, ;2017, 45(1): 34-42. shu

Decarbonylation and hydrogenation reaction of furfural on Pd/Cu (111) surface

  • Corresponding author: NI Zhe-ming, jchx@zjut.edu.cn
  • Received Date: 14 July 2016
    Revised Date: 13 September 2016

    Fund Project: College Students Technology Innovation Plan of Zhejiang Province XinMiao Talent Planthe National Natural Science Foundation of China 21503188

Figures(9)

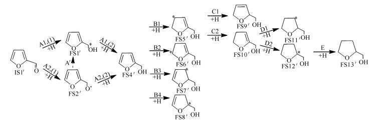
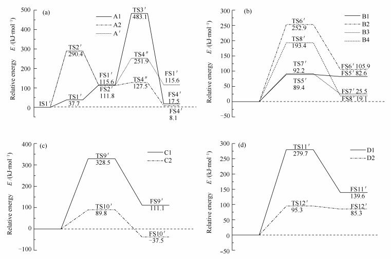
  • The adsorption behavior, decarbonylation and hydrogenation reaction mechanisms of furfural on best Pd/Cu (111) bimetallic model were investigated by density functional theory method. The results show that the initial adsorption at O3-Pd-top and O7-Cu-hcp site is most stable, with the adsorption energy of 73.4 kJ/mol. On the Pd/Cu (111) bimetallic surface, decarbonylation reaction of furfural is more likely to occur. The decarbonylation reaction of furfural has low activation energy. Each steps of decarbonylation mechanism is exothermic reaction. Furfural tends to form (C4H3O) CO by losing the H atom from the branch chain, and furan is then formed by decarbonylation and hydrogenation of the intermediate. Throughout the process, the hydrogenation of C4H3O is the rate-determining step with the highest activation energy barrier of 72.6 kJ/mol. For the hydrogenation of furfural, reacting with the first hydrogen is the rate-determining step, and it has the highest reaction energy barrier of 290.4 kJ/mol.
  • 加载中
    1. [1]

      YAN K, CHEN A C. Efficient hydrogenation of biomass-derived furfural and levulinic acid on the facilely synthesized noble-metal-free Cu-Cr catalyst[J]. Energy, 2013,58:357-363. doi: 10.1016/j.energy.2013.05.035

    2. [2]

      ZHANG Jun-jiao, LIAO Hang-tao, LU Qiang, ZHANG Yang, DONG Chang-qing. Mechanistic study on low-temperature fast pyrolysis of fructose to produce furfural[J]. J Fuel Chem Technol, 2013,41(11):1303-1309. doi: 10.1016/S1872-5813(14)60001-3 

    3. [3]

      YU W T, XIONG K, JI N, MARC D P, CHEN J G. Theoretical and experimental studies of the adsorption geometry and reaction pathways of furfural over FeNi bimetallic model surfaces and supported catalysts[J]. J Catal, 2014,317:253-262. doi: 10.1016/j.jcat.2014.06.025

    4. [4]

      CHEN X C, SUN W, XIAO N, YAN Y J, LIU S W. Experimental study for liquid phase selective hydrogenation of furfuryl alcohol to tetrahydrofurfuryl alcohol on supported Ni catalysts[J]. Chem Eng J, 2007,126(1):5-11. doi: 10.1016/j.cej.2006.08.019

    5. [5]

      YANG Y L, DU Z T, HUANG Y Z, LU F, WANG F, GAO J, XU J. Conversion of furfural into cyclopentanone over Ni-Cu bimetallic catalysts[J]. Green Chem, 2013,15(7):1932-1940. doi: 10.1039/c3gc37133f

    6. [6]

      SURAPA S, WEI A, DANIEL E R. Selective conversion of furfural to methylfuran over silica-supported Ni-Fe bimetallic catalysts[J]. J Catal, 2011,284(1):90-101. doi: 10.1016/j.jcat.2011.09.005

    7. [7]

      YOSHINAO N, HIROYA N, HIDEO W, KEIICHI T. Total hydrogenation of furfural over a silica-supported nickel catalyst prepared by the reduction of a nickel nitrate precursor[J]. ChemCatChem, 2012,4(11):1791-1797. doi: 10.1002/cctc.v4.11

    8. [8]

      KAIPROMMARAT S, KONGPARAKUL S, REUBROYCHAROEN P, GUAN G Q, SAMART C. Highly efficient sulfonic MCM-41 catalyst for furfural production:Furan-based biofuel agent[J]. Fuel, 2016,174:189-196. doi: 10.1016/j.fuel.2016.02.011

    9. [9]

      LUO J, MONAI M, YUN H, ARROYO-RAMIRE L, WANG C, MURRAY C B, FORNASIERO P, GORTE R J. The H-2 pressure dependence of hydrodeoxygenation selectivities for furfural over Pt/C catalysts[J]. Catal Lett, 2016,146(4):711-717. doi: 10.1007/s10562-016-1705-x

    10. [10]

      SIMON H P, NICOLE E L, MEDLIN J W. Synergistic effects of alloying and thiolate modification in furfural hydrogenation over Cu-based catalysts[J]. J Phys Chem Lett, 2014,5(23):4110-4114. doi: 10.1021/jz502153q

    11. [11]

      LIU S B, YASUSHI A, MASAZUMI T, YOSHINAO N, KEIICHI T. One-pot selective conversion of furfural into 1, 5-pentanediol over a Pd-added Ir-ReOx/SiO2 bifunctional catalyst[J]. Green Chem, 2012,16(2):617-626.

    12. [12]

      FAROOQ-AHMAD K, ARMELLE V, GEOR S F. Highly selective low-temperature hydrogenation of furfuryl alcohol to tetrahydrofurfuryl alcohol catalysed by hectorite-supported ruthenium nanoparticles[J]. Catal Commun, 2011,12(15):1428-1431. doi: 10.1016/j.catcom.2011.05.024

    13. [13]

      ZHANG W, ZHU Y L, NIU S S, LI Y W. A study of furfural decarbonylation on K-doped Pd/Al2O3 catalysts[J]. J Mol Catal A:Chem, 2011,335(1/2):71-81.

    14. [14]

      CAMEN P J G, JUAN A C, DESIRÉE D M, RAMÓN M T, JOSÉ S G, JOSEFA M R, RAFAEL M, PEDRO M T. Gas-phase hydrogenation of furfural to furfuryl alcohol over Cu/ZnO catalysts[J]. J Catal, 2016,336:107-115. doi: 10.1016/j.jcat.2016.01.012

    15. [15]

      YOSHINAO N, KANA T, MASAZUMI T, KEIICHI T. Total hydrogenation of furfural and 5hydroxymethylfurfural over supported Pd-Ir alloy catalyst[J]. ACS Catal, 2014,4(8):2718-2726. doi: 10.1021/cs500620b

    16. [16]

      SURSURAPAS S, TAWAN S, YU G M, PERLA B B, DANIEL E R. Kinetics and mechanism of hydrogenation of furfural on Cu/SiO2 catalysts[J]. J Catal, 2011,277(1):1-13. doi: 10.1016/j.jcat.2010.10.005

    17. [17]

      VASSILI V, GIANNIS M, DIONISIOS G V. DFT study of furfural conversion to furan, furfuryl alcohol, and 2-methylfuran on Pd (111)[J]. ACS Catal, 2012,2(12):2496-2504. doi: 10.1021/cs300395a

    18. [18]

      XIA Ming-yu, CAO Xiao-xia, NI Zhe-ming, SHI Wei, FU Xiao-wei. Reaction mechanism for 2-methylfuran formation during hydrogenation of furfuryl alcohol catalyzed by Cu (111) plane[J]. Chin J Catal, 2012,33(6):1000-1006.  

    19. [19]

      NI Zhe-ming, XIA Ming-yu, SHI Wei, QIAN Ping-ping. Adsorption and decarbonylation reaction of furfural on Pt (111) surface[J]. Acta Phys-Chim Sin, 2013,29(9):1916-1922.  

    20. [20]

      ZHAO Y Y. Facile synthesis of Pd nanoparticles on SiO2 for hydrogenation of biomass-derived furfural[J]. Environ Chem Lett, 2014,12(1):185-190. doi: 10.1007/s10311-013-0424-4

    21. [21]

      VILLAVERDE M M, BERTERO N M, GARETTO T F, MARCHI A J. Selective liquid-phase hydrogenation of furfural to furfuryl alcohol over Cu-based catalysts[J]. Catal Today, 2013,213:87-92. doi: 10.1016/j.cattod.2013.02.031

    22. [22]

      SURAPAS S D E R. Hydrodeoxygenation of furfural over supported metal catalysts:A comparative study of Cu, Pd and Ni[J]. Catal Lett, 2011,141(6):784-791. doi: 10.1007/s10562-011-0581-7

    23. [23]

      LIU D X, DMITRY Z, WU T P, RODRIGO J L L, JAMES A D, JEFFREY T M, CHRISTOPHER L M. Deactivation mechanistic studies of copper chromite catalyst for selective hydrogenation of 2-furfuraldehyde[J]. J Catal, 2013,299:336-345. doi: 10.1016/j.jcat.2012.10.026

    24. [24]

      DELLEY B. From molecules to solids with the DMol (3) approach[J]. J Chem Phys, 2000,113(18):7756-7764. doi: 10.1063/1.1316015

    25. [25]

      PERDEW J P, CHEWARY J A, VOSKO S H, JACKSON K A, PEDERSONE M R, SINGH D J, FIOLHAIS C. Atoms, molecules, solids, and surfaces-applications of the generalized gradient approximation for exchange and correlation[J]. Phys Rev B, 1992,46(7):6671-6687.

    26. [26]

      GE Q, JENKINS S J, KING D A. Localisation of adsorbate-induced demagnetisation:CO chemisorbed on Ni (110)[J]. Chem Phys Lett, 2000,327(3/4):125-130.

    27. [27]

      WANG S G, VASSILI V, DIONISIOS G V. Coverage-induced conformational effects on activity and selectivity:Hydrogenation and decarbonylation of furfural on Pd (111)[J]. ACS Catal, 2015,5(1):104-112. doi: 10.1021/cs5015145

    28. [28]

      SURAPAS S, TRUNG P, TEERAWITE P, TAWAN S, RICHARD G M, DANIEL E R. Conversion of furfural and 2-methylpentanal on Pd/SiO2 and Pd-Cu/SiO2 catalysts[J]. J Catal, 2011,280(1):17-27. doi: 10.1016/j.jcat.2011.02.006

  • 加载中
    1. [1]

      Jie ZHAOSen LIUQikang YINXiaoqing LUZhaojie WANG . Theoretical calculation of selective adsorption and separation of CO2 by alkali metal modified naphthalene/naphthalenediyne. Chinese Journal of Inorganic Chemistry, 2024, 40(3): 515-522. doi: 10.11862/CJIC.20230385

    2. [2]

      Hailian TangSiyuan ChenQiaoyun LiuGuoyi BaiBotao QiaoLiu Fei . Stabilized Rh/hydroxyapatite Catalyst for Furfuryl Alcohol Hydrogenation: Application of Oxidative Strong Metal-Support Interactions in Reducing Conditions. Acta Physico-Chimica Sinica, 2025, 41(4): 100036-0. doi: 10.3866/PKU.WHXB202408004

    3. [3]

      Hao XURuopeng LIPeixia YANGAnmin LIUJie BAI . Regulation mechanism of halogen axial coordination atoms on the oxygen reduction activity of Fe-N4 site: A density functional theory study. Chinese Journal of Inorganic Chemistry, 2025, 41(4): 695-701. doi: 10.11862/CJIC.20240302

    4. [4]

      Fugui XIDu LIZhourui YANHui WANGJunyu XIANGZhiyun DONG . Functionalized zirconium metal-organic frameworks for the removal of tetracycline from water. Chinese Journal of Inorganic Chemistry, 2025, 41(4): 683-694. doi: 10.11862/CJIC.20240291

    5. [5]

      Xinwan ZhaoYue CaoMinjun LeiZhiliang JinTsubaki Noritatsu . Constructing S-scheme heterojunctions by integrating covalent organic frameworks with transition metal sulfides for efficient noble-metal-free photocatalytic hydrogen evolution. Acta Physico-Chimica Sinica, 2025, 41(12): 100152-0. doi: 10.1016/j.actphy.2025.100152

    6. [6]

      Jingke LIUJia CHENYingchao HAN . Nano hydroxyapatite stable suspension system: Preparation and cobalt adsorption performance. Chinese Journal of Inorganic Chemistry, 2024, 40(9): 1763-1774. doi: 10.11862/CJIC.20240060

    7. [7]

      Hui WangAbdelkader LabidiMenghan RenFeroz ShaikChuanyi Wang . Recent Progress of Microstructure-Regulated g-C3N4 in Photocatalytic NO Conversion: The Pivotal Roles of Adsorption/Activation Sites. Acta Physico-Chimica Sinica, 2025, 41(5): 100039-0. doi: 10.1016/j.actphy.2024.100039

    8. [8]

      Kaifu Zhang Shan Gao Bin Yang . Application of Theoretical Calculation with Fun Practice in Raman Spectroscopy Experimental Teaching. University Chemistry, 2025, 40(3): 62-67. doi: 10.12461/PKU.DXHX202404045

    9. [9]

      Jie ZHAOHuili ZHANGXiaoqing LUZhaojie WANG . Theoretical calculations of CO2 capture and separation by functional groups modified 2D covalent organic framework. Chinese Journal of Inorganic Chemistry, 2025, 41(2): 275-283. doi: 10.11862/CJIC.20240213

    10. [10]

      Peng XUShasha WANGNannan CHENAo WANGDongmei YU . Preparation of three-layer magnetic composite Fe3O4@polyacrylic acid@ZiF-8 for efficient removal of malachite green in water. Chinese Journal of Inorganic Chemistry, 2024, 40(3): 544-554. doi: 10.11862/CJIC.20230239

    11. [11]

      Zeyu XUAnlei DANGBihua DENGXiaoxin ZUOYu LUPing YANGWenzhu YIN . Evaluation of the efficacy of graphene oxide quantum dots as an ovalbumin delivery platform and adjuvant for immune enhancement. Chinese Journal of Inorganic Chemistry, 2024, 40(6): 1065-1078. doi: 10.11862/CJIC.20240099

    12. [12]

      Jing Wang Pingping Li Yuehui Wang Yifan Xiu Bingqian Zhang Shuwen Wang Hongtao Gao . Treatment and Discharge Evaluation of Phosphorus-Containing Wastewater. University Chemistry, 2024, 39(5): 52-62. doi: 10.3866/PKU.DXHX202309097

    13. [13]

      Guang Huang Lei Li Dingyi Zhang Xingze Wang Yugai Huang Wenhui Liang Zhifen Guo Wenmei Jiao . Cobalt’s Valor, Nickel’s Foe: A Comprehensive Chemical Experiment Utilizing a Cobalt-based Imidazolate Framework for Nickel Ion Removal. University Chemistry, 2024, 39(8): 174-183. doi: 10.3866/PKU.DXHX202311051

    14. [14]

      Wei Li Jinfan Xu Yongjun Zhang Ying Guan . 共价有机框架整体材料的制备及食品安全非靶向筛查应用——推荐一个仪器分析综合化学实验. University Chemistry, 2025, 40(6): 276-285. doi: 10.12461/PKU.DXHX202406013

    15. [15]

      Weina Wang Lixia Feng Fengyi Liu Wenliang Wang . Computational Chemistry Experiments in Facilitating the Study of Organic Reaction Mechanism: A Case Study of Electrophilic Addition of HCl to Asymmetric Alkenes. University Chemistry, 2025, 40(3): 206-214. doi: 10.12461/PKU.DXHX202407022

    16. [16]

      Tongqi Ye Yanqing Wang Qi Wang Huaiping Cong Xianghua Kong Yuewen Ye . Reform of Classical Thermodynamics Curriculum from the Perspective of Computational Chemistry. University Chemistry, 2025, 40(7): 387-392. doi: 10.12461/PKU.DXHX202409128

    17. [17]

      Wei SunYongjing WangKun XiangSaishuai BaiHaitao WangJing ZouArramelJizhou Jiang . CoP Decorated on Ti3C2Tx MXene Nanocomposites as Robust Electrocatalyst for Hydrogen Evolution Reaction. Acta Physico-Chimica Sinica, 2024, 40(8): 2308015-0. doi: 10.3866/PKU.WHXB202308015

    18. [18]

      Xiaochen ZhangFei YuJie Ma . Cutting-Edge Applications of Multi-Angle Numerical Simulations for Capacitive Deionization. Acta Physico-Chimica Sinica, 2024, 40(11): 2311026-0. doi: 10.3866/PKU.WHXB202311026

    19. [19]

      Meifeng Zhu Jin Cheng Kai Huang Cheng Lian Shouhong Xu Honglai Liu . Classical Density Functional Theory for Understanding Electrochemical Interface. University Chemistry, 2025, 40(3): 148-152. doi: 10.12461/PKU.DXHX202405166

    20. [20]

      Maitri BhattacharjeeRekha Boruah SmritiR. N. Dutta PurkayasthaWaldemar ManiukiewiczShubhamoy ChowdhuryDebasish MaitiTamanna Akhtar . Synthesis, structural characterization, bio-activity, and density functional theory calculation on Cu(Ⅱ) complexes with hydrazone-based Schiff base ligands. Chinese Journal of Inorganic Chemistry, 2024, 40(7): 1409-1422. doi: 10.11862/CJIC.20240007

Metrics
  • PDF Downloads(16)
  • Abstract views(2330)
  • HTML views(568)

通讯作者: 陈斌, bchen63@163.com
  • 1. 

    沈阳化工大学材料科学与工程学院 沈阳 110142

  1. 本站搜索
  2. 百度学术搜索
  3. 万方数据库搜索
  4. CNKI搜索
Address:Zhongguancun North First Street 2,100190 Beijing, PR China Tel: +86-010-82449177-888
Powered By info@rhhz.net

/

DownLoad:  Full-Size Img  PowerPoint
Return